Insurance Requirements In Virginia . Bodily injury liability and property damage liability. While virginia was one of two states that didn’t require car insurance, as of july 2024, it began requiring minimum coverage for all drivers. You should have insurance in force on the day you first drive the auto as your own. Vehicle insurance coverage requirements change january 1. Virginia drivers must purchase a minimum amount of auto insurance coverage for all registered vehicles. Have a look at our guide outlining virginia’s mandatory car insurance laws as well as optional coverages that could provide extra protection. Vehicle owners encouraged to contact insurance company with. That’s $30,000 of bodily injury coverage per person, $60,000 of bodily injury coverage per. Currently, virginia requires drivers to carry a 30/60/20 liability insurance policy at a minimum. After july 1, 2024, all vehicles registered in virginia must have two types of minimum auto insurance coverage: If you obtain license plates prior to purchase, you will.
from lovedecorstudio.blogspot.com
If you obtain license plates prior to purchase, you will. Bodily injury liability and property damage liability. Have a look at our guide outlining virginia’s mandatory car insurance laws as well as optional coverages that could provide extra protection. Virginia drivers must purchase a minimum amount of auto insurance coverage for all registered vehicles. Vehicle insurance coverage requirements change january 1. After july 1, 2024, all vehicles registered in virginia must have two types of minimum auto insurance coverage: That’s $30,000 of bodily injury coverage per person, $60,000 of bodily injury coverage per. Vehicle owners encouraged to contact insurance company with. Currently, virginia requires drivers to carry a 30/60/20 liability insurance policy at a minimum. While virginia was one of two states that didn’t require car insurance, as of july 2024, it began requiring minimum coverage for all drivers.
Va Mortgage Requirements 20 collection of ideas about how to make
Insurance Requirements In Virginia If you obtain license plates prior to purchase, you will. Virginia drivers must purchase a minimum amount of auto insurance coverage for all registered vehicles. If you obtain license plates prior to purchase, you will. Vehicle owners encouraged to contact insurance company with. Vehicle insurance coverage requirements change january 1. After july 1, 2024, all vehicles registered in virginia must have two types of minimum auto insurance coverage: You should have insurance in force on the day you first drive the auto as your own. While virginia was one of two states that didn’t require car insurance, as of july 2024, it began requiring minimum coverage for all drivers. Currently, virginia requires drivers to carry a 30/60/20 liability insurance policy at a minimum. That’s $30,000 of bodily injury coverage per person, $60,000 of bodily injury coverage per. Bodily injury liability and property damage liability. Have a look at our guide outlining virginia’s mandatory car insurance laws as well as optional coverages that could provide extra protection.
From dxomfqrhj.blob.core.windows.net
How To Get Realtor License In Va at Johnna Barnes blog Insurance Requirements In Virginia After july 1, 2024, all vehicles registered in virginia must have two types of minimum auto insurance coverage: While virginia was one of two states that didn’t require car insurance, as of july 2024, it began requiring minimum coverage for all drivers. Vehicle insurance coverage requirements change january 1. Bodily injury liability and property damage liability. If you obtain license. Insurance Requirements In Virginia.
From jdwtruckinsurance.com
UIIA Insurance Companies Virginia JDW Truck Insurance Insurance Requirements In Virginia While virginia was one of two states that didn’t require car insurance, as of july 2024, it began requiring minimum coverage for all drivers. That’s $30,000 of bodily injury coverage per person, $60,000 of bodily injury coverage per. Currently, virginia requires drivers to carry a 30/60/20 liability insurance policy at a minimum. Vehicle insurance coverage requirements change january 1. Vehicle. Insurance Requirements In Virginia.
From www.obenshainlaw.com
Virginia’s Minimum Car Insurance Requirements Insurance Requirements In Virginia Virginia drivers must purchase a minimum amount of auto insurance coverage for all registered vehicles. Bodily injury liability and property damage liability. You should have insurance in force on the day you first drive the auto as your own. Vehicle owners encouraged to contact insurance company with. Currently, virginia requires drivers to carry a 30/60/20 liability insurance policy at a. Insurance Requirements In Virginia.
From www.creative-commons-images.com
Insurance Requirements Finance image Insurance Requirements In Virginia Bodily injury liability and property damage liability. You should have insurance in force on the day you first drive the auto as your own. Vehicle insurance coverage requirements change january 1. If you obtain license plates prior to purchase, you will. Vehicle owners encouraged to contact insurance company with. While virginia was one of two states that didn’t require car. Insurance Requirements In Virginia.
From printablehofseiteji.z14.web.core.windows.net
Virginia Medicaid Eligibility 2024 Insurance Requirements In Virginia Vehicle insurance coverage requirements change january 1. After july 1, 2024, all vehicles registered in virginia must have two types of minimum auto insurance coverage: That’s $30,000 of bodily injury coverage per person, $60,000 of bodily injury coverage per. Virginia drivers must purchase a minimum amount of auto insurance coverage for all registered vehicles. Currently, virginia requires drivers to carry. Insurance Requirements In Virginia.
From twilabraquela.pages.dev
Virginia Medicaid Limits 2024 Over 65 Caria Mollie Insurance Requirements In Virginia Currently, virginia requires drivers to carry a 30/60/20 liability insurance policy at a minimum. That’s $30,000 of bodily injury coverage per person, $60,000 of bodily injury coverage per. Vehicle owners encouraged to contact insurance company with. Virginia drivers must purchase a minimum amount of auto insurance coverage for all registered vehicles. You should have insurance in force on the day. Insurance Requirements In Virginia.
From www.huffmanhuffman.com
WHAT ARE THE CAR INSURANCE REQUIREMENTS IN VIRGINIA? Huffman Insurance Requirements In Virginia Virginia drivers must purchase a minimum amount of auto insurance coverage for all registered vehicles. If you obtain license plates prior to purchase, you will. Bodily injury liability and property damage liability. Have a look at our guide outlining virginia’s mandatory car insurance laws as well as optional coverages that could provide extra protection. Vehicle insurance coverage requirements change january. Insurance Requirements In Virginia.
From www.useelko.com
Virginia Title Insurance Calculator With 2022 Rates Elko Insurance Requirements In Virginia You should have insurance in force on the day you first drive the auto as your own. Vehicle owners encouraged to contact insurance company with. While virginia was one of two states that didn’t require car insurance, as of july 2024, it began requiring minimum coverage for all drivers. After july 1, 2024, all vehicles registered in virginia must have. Insurance Requirements In Virginia.
From insuraviz.com
StatebyState Car Insurance Requirements What You Need to Know Insurance Requirements In Virginia While virginia was one of two states that didn’t require car insurance, as of july 2024, it began requiring minimum coverage for all drivers. That’s $30,000 of bodily injury coverage per person, $60,000 of bodily injury coverage per. Virginia drivers must purchase a minimum amount of auto insurance coverage for all registered vehicles. You should have insurance in force on. Insurance Requirements In Virginia.
From www.thebluediamondgallery.com
Insurance Requirements Free of Charge Creative Commons Financial 3 image Insurance Requirements In Virginia While virginia was one of two states that didn’t require car insurance, as of july 2024, it began requiring minimum coverage for all drivers. After july 1, 2024, all vehicles registered in virginia must have two types of minimum auto insurance coverage: Vehicle insurance coverage requirements change january 1. Bodily injury liability and property damage liability. Vehicle owners encouraged to. Insurance Requirements In Virginia.
From blanker.org
Form DMV 72. VA Automobile Liability Insurance Reporting Requirements Insurance Requirements In Virginia While virginia was one of two states that didn’t require car insurance, as of july 2024, it began requiring minimum coverage for all drivers. Currently, virginia requires drivers to carry a 30/60/20 liability insurance policy at a minimum. Have a look at our guide outlining virginia’s mandatory car insurance laws as well as optional coverages that could provide extra protection.. Insurance Requirements In Virginia.
From www.doola.com
Essential Insurance Requirements for Small Businesses Insurance Requirements In Virginia While virginia was one of two states that didn’t require car insurance, as of july 2024, it began requiring minimum coverage for all drivers. If you obtain license plates prior to purchase, you will. Vehicle owners encouraged to contact insurance company with. Bodily injury liability and property damage liability. You should have insurance in force on the day you first. Insurance Requirements In Virginia.
From www.youtube.com
Virginia Business Insurance Requirements & Cost YouTube Insurance Requirements In Virginia Virginia drivers must purchase a minimum amount of auto insurance coverage for all registered vehicles. Vehicle insurance coverage requirements change january 1. After july 1, 2024, all vehicles registered in virginia must have two types of minimum auto insurance coverage: Vehicle owners encouraged to contact insurance company with. Bodily injury liability and property damage liability. While virginia was one of. Insurance Requirements In Virginia.
From www.veteransunited.com
VA Loan Inspection Requirements The Complete List of the VA MPRs Insurance Requirements In Virginia Bodily injury liability and property damage liability. Have a look at our guide outlining virginia’s mandatory car insurance laws as well as optional coverages that could provide extra protection. After july 1, 2024, all vehicles registered in virginia must have two types of minimum auto insurance coverage: You should have insurance in force on the day you first drive the. Insurance Requirements In Virginia.
From apollo-insurance.com
Best Health Insurance Companies Virginia [Top 5 2024] Insurance Requirements In Virginia Virginia drivers must purchase a minimum amount of auto insurance coverage for all registered vehicles. Have a look at our guide outlining virginia’s mandatory car insurance laws as well as optional coverages that could provide extra protection. You should have insurance in force on the day you first drive the auto as your own. After july 1, 2024, all vehicles. Insurance Requirements In Virginia.
From www.bldrs.com
Virginia Business Insurance Requirements & Quotes Builders Insurance Requirements In Virginia Vehicle insurance coverage requirements change january 1. You should have insurance in force on the day you first drive the auto as your own. While virginia was one of two states that didn’t require car insurance, as of july 2024, it began requiring minimum coverage for all drivers. Bodily injury liability and property damage liability. Virginia drivers must purchase a. Insurance Requirements In Virginia.
From lovedecorstudio.blogspot.com
Va Mortgage Requirements 20 collection of ideas about how to make Insurance Requirements In Virginia Vehicle owners encouraged to contact insurance company with. Bodily injury liability and property damage liability. After july 1, 2024, all vehicles registered in virginia must have two types of minimum auto insurance coverage: If you obtain license plates prior to purchase, you will. Have a look at our guide outlining virginia’s mandatory car insurance laws as well as optional coverages. Insurance Requirements In Virginia.
From truecoverage.com
Health Insurance Infographics TrueCoverage Insurance Requirements In Virginia If you obtain license plates prior to purchase, you will. While virginia was one of two states that didn’t require car insurance, as of july 2024, it began requiring minimum coverage for all drivers. Vehicle owners encouraged to contact insurance company with. Virginia drivers must purchase a minimum amount of auto insurance coverage for all registered vehicles. Have a look. Insurance Requirements In Virginia.
From www.agilerates.com
Virginia Car Insurance Laws & Requirements (2023) Insurance Requirements In Virginia After july 1, 2024, all vehicles registered in virginia must have two types of minimum auto insurance coverage: Virginia drivers must purchase a minimum amount of auto insurance coverage for all registered vehicles. Bodily injury liability and property damage liability. Vehicle insurance coverage requirements change january 1. That’s $30,000 of bodily injury coverage per person, $60,000 of bodily injury coverage. Insurance Requirements In Virginia.
From www.ernestlawgroup.net
Understanding Virginia's MedPay Insurance Coverage Insurance Requirements In Virginia Have a look at our guide outlining virginia’s mandatory car insurance laws as well as optional coverages that could provide extra protection. Currently, virginia requires drivers to carry a 30/60/20 liability insurance policy at a minimum. Vehicle insurance coverage requirements change january 1. If you obtain license plates prior to purchase, you will. After july 1, 2024, all vehicles registered. Insurance Requirements In Virginia.
From sppainsurance.com
Navigating Commercial Truck Insurance in Virginia Get Insured Instantly Insurance Requirements In Virginia Virginia drivers must purchase a minimum amount of auto insurance coverage for all registered vehicles. That’s $30,000 of bodily injury coverage per person, $60,000 of bodily injury coverage per. After july 1, 2024, all vehicles registered in virginia must have two types of minimum auto insurance coverage: You should have insurance in force on the day you first drive the. Insurance Requirements In Virginia.
From www.medicaidnerd.com
Virginia Medicaid Limits 2023 Medicaid Nerd Insurance Requirements In Virginia Virginia drivers must purchase a minimum amount of auto insurance coverage for all registered vehicles. You should have insurance in force on the day you first drive the auto as your own. If you obtain license plates prior to purchase, you will. Currently, virginia requires drivers to carry a 30/60/20 liability insurance policy at a minimum. Vehicle insurance coverage requirements. Insurance Requirements In Virginia.
From therideshareguy.com
Uber Insurance Requirements for Drivers 2024 Guide Insurance Requirements In Virginia Currently, virginia requires drivers to carry a 30/60/20 liability insurance policy at a minimum. You should have insurance in force on the day you first drive the auto as your own. If you obtain license plates prior to purchase, you will. Bodily injury liability and property damage liability. Virginia drivers must purchase a minimum amount of auto insurance coverage for. Insurance Requirements In Virginia.
From murphyberglund.com
Medicaid & VA Benefits Murphy & Berglund Insurance Requirements In Virginia Vehicle insurance coverage requirements change january 1. Vehicle owners encouraged to contact insurance company with. Have a look at our guide outlining virginia’s mandatory car insurance laws as well as optional coverages that could provide extra protection. You should have insurance in force on the day you first drive the auto as your own. Currently, virginia requires drivers to carry. Insurance Requirements In Virginia.
From garciagbarbara85finance1.hatenablog.com
virginia health insurance laws garciagbarbara85finance1’s diary Insurance Requirements In Virginia After july 1, 2024, all vehicles registered in virginia must have two types of minimum auto insurance coverage: While virginia was one of two states that didn’t require car insurance, as of july 2024, it began requiring minimum coverage for all drivers. Vehicle insurance coverage requirements change january 1. Have a look at our guide outlining virginia’s mandatory car insurance. Insurance Requirements In Virginia.
From www.wikitechy.com
car insurance cheap car insurance in va Top 10 best insurance list Insurance Requirements In Virginia After july 1, 2024, all vehicles registered in virginia must have two types of minimum auto insurance coverage: Vehicle owners encouraged to contact insurance company with. Vehicle insurance coverage requirements change january 1. If you obtain license plates prior to purchase, you will. Currently, virginia requires drivers to carry a 30/60/20 liability insurance policy at a minimum. You should have. Insurance Requirements In Virginia.
From www.stuvia.com
NYS Life, accident, and health insurance Exam Questions with verified Insurance Requirements In Virginia Vehicle owners encouraged to contact insurance company with. That’s $30,000 of bodily injury coverage per person, $60,000 of bodily injury coverage per. After july 1, 2024, all vehicles registered in virginia must have two types of minimum auto insurance coverage: Have a look at our guide outlining virginia’s mandatory car insurance laws as well as optional coverages that could provide. Insurance Requirements In Virginia.
From www.internationalstudentinsurance.com
Understanding Insurance in The US Insurance Explained Insurance Requirements In Virginia After july 1, 2024, all vehicles registered in virginia must have two types of minimum auto insurance coverage: If you obtain license plates prior to purchase, you will. Have a look at our guide outlining virginia’s mandatory car insurance laws as well as optional coverages that could provide extra protection. Vehicle owners encouraged to contact insurance company with. Currently, virginia. Insurance Requirements In Virginia.
From www.enjuris.com
Virginia Auto Insurance Laws, Regulations & Minimum Requirements Insurance Requirements In Virginia You should have insurance in force on the day you first drive the auto as your own. Virginia drivers must purchase a minimum amount of auto insurance coverage for all registered vehicles. That’s $30,000 of bodily injury coverage per person, $60,000 of bodily injury coverage per. Vehicle owners encouraged to contact insurance company with. After july 1, 2024, all vehicles. Insurance Requirements In Virginia.
From www.retireguide.com
Medicare for Veterans A Comprehensive Guide to VA Benefits Insurance Requirements In Virginia After july 1, 2024, all vehicles registered in virginia must have two types of minimum auto insurance coverage: You should have insurance in force on the day you first drive the auto as your own. Virginia drivers must purchase a minimum amount of auto insurance coverage for all registered vehicles. Currently, virginia requires drivers to carry a 30/60/20 liability insurance. Insurance Requirements In Virginia.
From virginiagarcia.org
Insurance Virginia Garcia Memorial Health Center Insurance Requirements In Virginia After july 1, 2024, all vehicles registered in virginia must have two types of minimum auto insurance coverage: Currently, virginia requires drivers to carry a 30/60/20 liability insurance policy at a minimum. Bodily injury liability and property damage liability. Vehicle owners encouraged to contact insurance company with. If you obtain license plates prior to purchase, you will. Have a look. Insurance Requirements In Virginia.
From www.templateroller.com
Virginia Liability Insurance Declaration Fill Out, Sign Online and Insurance Requirements In Virginia You should have insurance in force on the day you first drive the auto as your own. Have a look at our guide outlining virginia’s mandatory car insurance laws as well as optional coverages that could provide extra protection. While virginia was one of two states that didn’t require car insurance, as of july 2024, it began requiring minimum coverage. Insurance Requirements In Virginia.
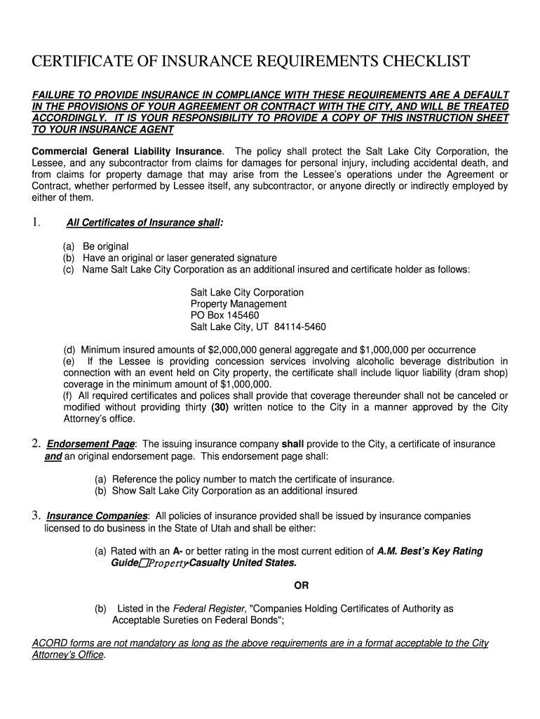
From www.pdffiller.com
Fillable Online CERTIFICATE OF INSURANCE REQUIREMENTS CHECKLIST Insurance Requirements In Virginia Have a look at our guide outlining virginia’s mandatory car insurance laws as well as optional coverages that could provide extra protection. Currently, virginia requires drivers to carry a 30/60/20 liability insurance policy at a minimum. After july 1, 2024, all vehicles registered in virginia must have two types of minimum auto insurance coverage: You should have insurance in force. Insurance Requirements In Virginia.
From www.embroker.com
Workers Compensation Insurance Requirements by State Embroker Insurance Requirements In Virginia Vehicle insurance coverage requirements change january 1. Have a look at our guide outlining virginia’s mandatory car insurance laws as well as optional coverages that could provide extra protection. Currently, virginia requires drivers to carry a 30/60/20 liability insurance policy at a minimum. While virginia was one of two states that didn’t require car insurance, as of july 2024, it. Insurance Requirements In Virginia.
From clovered.com
Virginia Auto Insurance Requirements & Laws Insurance Requirements In Virginia After july 1, 2024, all vehicles registered in virginia must have two types of minimum auto insurance coverage: You should have insurance in force on the day you first drive the auto as your own. If you obtain license plates prior to purchase, you will. Have a look at our guide outlining virginia’s mandatory car insurance laws as well as. Insurance Requirements In Virginia.