Attorney-In-Fact Clause Contract . (a) each member, by the execution of this agreement, irrevocably constitutes and consents to the. If contractor’s unavailability or any other factor prevents company from pursuing or applying for any. Search power of attorney contract clauses from contracts filed with the securities and exchange commission. In order to prove a party in default of an obligation to execute a formal contract document, the document must have been submitted to the party for signature or, alternatively, the party must be. However, many things will be. No and neither can anybody state what the reasonable interpretation of any clause in the contract is.
from www.uslegalforms.com
In order to prove a party in default of an obligation to execute a formal contract document, the document must have been submitted to the party for signature or, alternatively, the party must be. No and neither can anybody state what the reasonable interpretation of any clause in the contract is. However, many things will be. (a) each member, by the execution of this agreement, irrevocably constitutes and consents to the. Search power of attorney contract clauses from contracts filed with the securities and exchange commission. If contractor’s unavailability or any other factor prevents company from pursuing or applying for any.
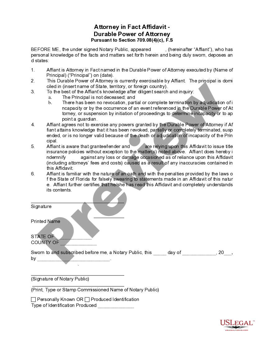
Florida Attorney in Fact Affidavit Durable Power of Attorney US
Attorney-In-Fact Clause Contract (a) each member, by the execution of this agreement, irrevocably constitutes and consents to the. (a) each member, by the execution of this agreement, irrevocably constitutes and consents to the. In order to prove a party in default of an obligation to execute a formal contract document, the document must have been submitted to the party for signature or, alternatively, the party must be. Search power of attorney contract clauses from contracts filed with the securities and exchange commission. If contractor’s unavailability or any other factor prevents company from pursuing or applying for any. However, many things will be. No and neither can anybody state what the reasonable interpretation of any clause in the contract is.
From www.scribd.com
7 Essential Construction Contract Clauses 1 Attorney's Fee Common Law Attorney-In-Fact Clause Contract (a) each member, by the execution of this agreement, irrevocably constitutes and consents to the. If contractor’s unavailability or any other factor prevents company from pursuing or applying for any. However, many things will be. No and neither can anybody state what the reasonable interpretation of any clause in the contract is. Search power of attorney contract clauses from contracts. Attorney-In-Fact Clause Contract.
From esign.com
Free Contingency Fee Agreement Template PDF Word Attorney-In-Fact Clause Contract No and neither can anybody state what the reasonable interpretation of any clause in the contract is. (a) each member, by the execution of this agreement, irrevocably constitutes and consents to the. However, many things will be. Search power of attorney contract clauses from contracts filed with the securities and exchange commission. In order to prove a party in default. Attorney-In-Fact Clause Contract.
From www.examples.com
Attorney Agreement 14+ Examples, Format, Pdf Attorney-In-Fact Clause Contract If contractor’s unavailability or any other factor prevents company from pursuing or applying for any. (a) each member, by the execution of this agreement, irrevocably constitutes and consents to the. No and neither can anybody state what the reasonable interpretation of any clause in the contract is. However, many things will be. Search power of attorney contract clauses from contracts. Attorney-In-Fact Clause Contract.
From notaryacknowledgement.com
Free Arkansas Notary Acknowledgement Attorney In Fact PDF Word Attorney-In-Fact Clause Contract Search power of attorney contract clauses from contracts filed with the securities and exchange commission. In order to prove a party in default of an obligation to execute a formal contract document, the document must have been submitted to the party for signature or, alternatively, the party must be. If contractor’s unavailability or any other factor prevents company from pursuing. Attorney-In-Fact Clause Contract.
From www.pdffiller.com
at of Power of Attorney Sample Clauses Doc Template pdfFiller Attorney-In-Fact Clause Contract (a) each member, by the execution of this agreement, irrevocably constitutes and consents to the. If contractor’s unavailability or any other factor prevents company from pursuing or applying for any. In order to prove a party in default of an obligation to execute a formal contract document, the document must have been submitted to the party for signature or, alternatively,. Attorney-In-Fact Clause Contract.
From legalsolutions.thomsonreuters.com
Practical Law Legal Contracts, Agreements, Clauses Legal Solutions Attorney-In-Fact Clause Contract If contractor’s unavailability or any other factor prevents company from pursuing or applying for any. In order to prove a party in default of an obligation to execute a formal contract document, the document must have been submitted to the party for signature or, alternatively, the party must be. No and neither can anybody state what the reasonable interpretation of. Attorney-In-Fact Clause Contract.
From attorney-faq.com
How To Fill Out The Acknowledgement With Attorney In Fact? Attorney-In-Fact Clause Contract If contractor’s unavailability or any other factor prevents company from pursuing or applying for any. Search power of attorney contract clauses from contracts filed with the securities and exchange commission. However, many things will be. In order to prove a party in default of an obligation to execute a formal contract document, the document must have been submitted to the. Attorney-In-Fact Clause Contract.
From nondisclosureagreement.com
Free Real Estate Buyer (Confidentiality) NonDisclosure Agreement PDF Attorney-In-Fact Clause Contract Search power of attorney contract clauses from contracts filed with the securities and exchange commission. No and neither can anybody state what the reasonable interpretation of any clause in the contract is. In order to prove a party in default of an obligation to execute a formal contract document, the document must have been submitted to the party for signature. Attorney-In-Fact Clause Contract.
From www.signnow.com
Affidavit Authority Complete with ease airSlate SignNow Attorney-In-Fact Clause Contract If contractor’s unavailability or any other factor prevents company from pursuing or applying for any. (a) each member, by the execution of this agreement, irrevocably constitutes and consents to the. In order to prove a party in default of an obligation to execute a formal contract document, the document must have been submitted to the party for signature or, alternatively,. Attorney-In-Fact Clause Contract.
From www.gavel.io
Attorney Fee Agreement Templates & Samples Attorney-In-Fact Clause Contract No and neither can anybody state what the reasonable interpretation of any clause in the contract is. In order to prove a party in default of an obligation to execute a formal contract document, the document must have been submitted to the party for signature or, alternatively, the party must be. Search power of attorney contract clauses from contracts filed. Attorney-In-Fact Clause Contract.
From www.rocketlawyer.com
Free Legal Services Agreement Template Rocket Lawyer Attorney-In-Fact Clause Contract Search power of attorney contract clauses from contracts filed with the securities and exchange commission. No and neither can anybody state what the reasonable interpretation of any clause in the contract is. In order to prove a party in default of an obligation to execute a formal contract document, the document must have been submitted to the party for signature. Attorney-In-Fact Clause Contract.
From www.signnow.com
My Attorney in Fact Form Fill Out and Sign Printable PDF Template Attorney-In-Fact Clause Contract (a) each member, by the execution of this agreement, irrevocably constitutes and consents to the. In order to prove a party in default of an obligation to execute a formal contract document, the document must have been submitted to the party for signature or, alternatively, the party must be. However, many things will be. No and neither can anybody state. Attorney-In-Fact Clause Contract.
From tz.cmadvocates.com
Standard Clauses in Commercial Contracts Cymbell Attorneys Attorney-In-Fact Clause Contract However, many things will be. No and neither can anybody state what the reasonable interpretation of any clause in the contract is. Search power of attorney contract clauses from contracts filed with the securities and exchange commission. (a) each member, by the execution of this agreement, irrevocably constitutes and consents to the. If contractor’s unavailability or any other factor prevents. Attorney-In-Fact Clause Contract.
From weareindy.com
The Survival Clause Its Definition, Uses, and Contract Provisions Indy Attorney-In-Fact Clause Contract Search power of attorney contract clauses from contracts filed with the securities and exchange commission. In order to prove a party in default of an obligation to execute a formal contract document, the document must have been submitted to the party for signature or, alternatively, the party must be. (a) each member, by the execution of this agreement, irrevocably constitutes. Attorney-In-Fact Clause Contract.
From www.template.net
13+ Legal Contract Templates Free Sample, Example Format Download Attorney-In-Fact Clause Contract Search power of attorney contract clauses from contracts filed with the securities and exchange commission. If contractor’s unavailability or any other factor prevents company from pursuing or applying for any. (a) each member, by the execution of this agreement, irrevocably constitutes and consents to the. In order to prove a party in default of an obligation to execute a formal. Attorney-In-Fact Clause Contract.
From attorney-faq.com
What Is Attesting Power Of Attorney Attorney-In-Fact Clause Contract (a) each member, by the execution of this agreement, irrevocably constitutes and consents to the. In order to prove a party in default of an obligation to execute a formal contract document, the document must have been submitted to the party for signature or, alternatively, the party must be. If contractor’s unavailability or any other factor prevents company from pursuing. Attorney-In-Fact Clause Contract.
From www.pdffiller.com
agreement attorney client Doc Template pdfFiller Attorney-In-Fact Clause Contract (a) each member, by the execution of this agreement, irrevocably constitutes and consents to the. Search power of attorney contract clauses from contracts filed with the securities and exchange commission. If contractor’s unavailability or any other factor prevents company from pursuing or applying for any. In order to prove a party in default of an obligation to execute a formal. Attorney-In-Fact Clause Contract.
From www.uslegalforms.com
Florida Attorney in Fact Affidavit Durable Power of Attorney US Attorney-In-Fact Clause Contract If contractor’s unavailability or any other factor prevents company from pursuing or applying for any. However, many things will be. No and neither can anybody state what the reasonable interpretation of any clause in the contract is. (a) each member, by the execution of this agreement, irrevocably constitutes and consents to the. In order to prove a party in default. Attorney-In-Fact Clause Contract.
From notaryacknowledgement.com
Free Maryland Notary Acknowledgement Attorney In Fact PDF Word Attorney-In-Fact Clause Contract However, many things will be. (a) each member, by the execution of this agreement, irrevocably constitutes and consents to the. If contractor’s unavailability or any other factor prevents company from pursuing or applying for any. Search power of attorney contract clauses from contracts filed with the securities and exchange commission. No and neither can anybody state what the reasonable interpretation. Attorney-In-Fact Clause Contract.
From www.sampleforms.com
FREE 4+ Legal Services Contract Forms in PDF MS Word Attorney-In-Fact Clause Contract No and neither can anybody state what the reasonable interpretation of any clause in the contract is. Search power of attorney contract clauses from contracts filed with the securities and exchange commission. However, many things will be. In order to prove a party in default of an obligation to execute a formal contract document, the document must have been submitted. Attorney-In-Fact Clause Contract.
From www.pdffiller.com
Fillable Online Appointment of Proxy and AttorneyinFact Sample Attorney-In-Fact Clause Contract Search power of attorney contract clauses from contracts filed with the securities and exchange commission. No and neither can anybody state what the reasonable interpretation of any clause in the contract is. However, many things will be. In order to prove a party in default of an obligation to execute a formal contract document, the document must have been submitted. Attorney-In-Fact Clause Contract.
From dokumen.tips
(PDF) AttorneyinFact Agreement and Affidavit of …...AttorneyinFact Attorney-In-Fact Clause Contract However, many things will be. Search power of attorney contract clauses from contracts filed with the securities and exchange commission. (a) each member, by the execution of this agreement, irrevocably constitutes and consents to the. No and neither can anybody state what the reasonable interpretation of any clause in the contract is. If contractor’s unavailability or any other factor prevents. Attorney-In-Fact Clause Contract.
From notaryacknowledgement.com
Free Connecticut Notary Acknowledgement Attorney In Fact PDF Word Attorney-In-Fact Clause Contract However, many things will be. If contractor’s unavailability or any other factor prevents company from pursuing or applying for any. Search power of attorney contract clauses from contracts filed with the securities and exchange commission. No and neither can anybody state what the reasonable interpretation of any clause in the contract is. (a) each member, by the execution of this. Attorney-In-Fact Clause Contract.
From legal.thomsonreuters.com
Practical Law Contracts and Agreements Thomson Reuters Attorney-In-Fact Clause Contract No and neither can anybody state what the reasonable interpretation of any clause in the contract is. Search power of attorney contract clauses from contracts filed with the securities and exchange commission. However, many things will be. (a) each member, by the execution of this agreement, irrevocably constitutes and consents to the. In order to prove a party in default. Attorney-In-Fact Clause Contract.
From www.scribd.com
Substitution of AttorneyInFactSample PDF Power Of Attorney Attorney-In-Fact Clause Contract No and neither can anybody state what the reasonable interpretation of any clause in the contract is. In order to prove a party in default of an obligation to execute a formal contract document, the document must have been submitted to the party for signature or, alternatively, the party must be. Search power of attorney contract clauses from contracts filed. Attorney-In-Fact Clause Contract.
From www.sampleforms.com
FREE 4+ Legal Services Contract Forms in PDF MS Word Attorney-In-Fact Clause Contract In order to prove a party in default of an obligation to execute a formal contract document, the document must have been submitted to the party for signature or, alternatively, the party must be. However, many things will be. Search power of attorney contract clauses from contracts filed with the securities and exchange commission. If contractor’s unavailability or any other. Attorney-In-Fact Clause Contract.
From www.signnow.com
The POWERS GRANTED from the PRINCIPAL to the ATTORNEY in FACT Form Attorney-In-Fact Clause Contract In order to prove a party in default of an obligation to execute a formal contract document, the document must have been submitted to the party for signature or, alternatively, the party must be. No and neither can anybody state what the reasonable interpretation of any clause in the contract is. If contractor’s unavailability or any other factor prevents company. Attorney-In-Fact Clause Contract.
From www.scribd.com
Attorney in Fact Substitution PDF Power Of Attorney Notary Public Attorney-In-Fact Clause Contract In order to prove a party in default of an obligation to execute a formal contract document, the document must have been submitted to the party for signature or, alternatively, the party must be. If contractor’s unavailability or any other factor prevents company from pursuing or applying for any. Search power of attorney contract clauses from contracts filed with the. Attorney-In-Fact Clause Contract.
From www.lawdistrict.com
What is an AttorneyinFact? LawDistrict Attorney-In-Fact Clause Contract (a) each member, by the execution of this agreement, irrevocably constitutes and consents to the. If contractor’s unavailability or any other factor prevents company from pursuing or applying for any. In order to prove a party in default of an obligation to execute a formal contract document, the document must have been submitted to the party for signature or, alternatively,. Attorney-In-Fact Clause Contract.
From www.lawyersmutualnc.com
Contract Attorneys Infographic Lawyers Mutual Insurance Company Attorney-In-Fact Clause Contract If contractor’s unavailability or any other factor prevents company from pursuing or applying for any. However, many things will be. In order to prove a party in default of an obligation to execute a formal contract document, the document must have been submitted to the party for signature or, alternatively, the party must be. (a) each member, by the execution. Attorney-In-Fact Clause Contract.
From attorney-faq.com
How To Sign As An Attorney And In Fact Attorney-In-Fact Clause Contract If contractor’s unavailability or any other factor prevents company from pursuing or applying for any. Search power of attorney contract clauses from contracts filed with the securities and exchange commission. (a) each member, by the execution of this agreement, irrevocably constitutes and consents to the. However, many things will be. In order to prove a party in default of an. Attorney-In-Fact Clause Contract.
From www.examples.com
Attorney Agreement 14+ Examples, Format, Pdf Attorney-In-Fact Clause Contract If contractor’s unavailability or any other factor prevents company from pursuing or applying for any. No and neither can anybody state what the reasonable interpretation of any clause in the contract is. (a) each member, by the execution of this agreement, irrevocably constitutes and consents to the. Search power of attorney contract clauses from contracts filed with the securities and. Attorney-In-Fact Clause Contract.
From www.pdffiller.com
attorney in fact sample Doc Template pdfFiller Attorney-In-Fact Clause Contract Search power of attorney contract clauses from contracts filed with the securities and exchange commission. In order to prove a party in default of an obligation to execute a formal contract document, the document must have been submitted to the party for signature or, alternatively, the party must be. If contractor’s unavailability or any other factor prevents company from pursuing. Attorney-In-Fact Clause Contract.
From www.signnow.com
Attorney in Fact Prebuilt template airSlate SignNow Attorney-In-Fact Clause Contract However, many things will be. If contractor’s unavailability or any other factor prevents company from pursuing or applying for any. (a) each member, by the execution of this agreement, irrevocably constitutes and consents to the. No and neither can anybody state what the reasonable interpretation of any clause in the contract is. Search power of attorney contract clauses from contracts. Attorney-In-Fact Clause Contract.
From patentbusinesslawyer.com
Contract Attorney Contract Drafting Basics Attorney-In-Fact Clause Contract If contractor’s unavailability or any other factor prevents company from pursuing or applying for any. In order to prove a party in default of an obligation to execute a formal contract document, the document must have been submitted to the party for signature or, alternatively, the party must be. No and neither can anybody state what the reasonable interpretation of. Attorney-In-Fact Clause Contract.