Art Exam 3 Quizlet . Study flashcards on art appreciation exam 3 at cram.com. Study art exam 3 flashcards. Study with quizlet and memorize flashcards containing terms like expressive, conceptual art, pigment and more. On studocu you will find 41 essays, assignments, lecture notes, practice materials,. Cram.com makes it easy to get. Quickly memorize the terms, phrases and much more. Study with quizlet and memorize flashcards containing terms like artistic media (6), painting, metals and minerals and more. 3 video summaries on paleolithic and neolithic art. Create flashcards for free and quiz yourself with an interactive flipper. Attempt this set of flashcards which are simple and easy and learn about art exam 3. Studying arh2000 art appreciation at broward college? Known as bis, represent both stories about the cyclical nature of human life and the social & family ties that connect the community
from quizlet.com
Study with quizlet and memorize flashcards containing terms like artistic media (6), painting, metals and minerals and more. Study with quizlet and memorize flashcards containing terms like expressive, conceptual art, pigment and more. Study art exam 3 flashcards. 3 video summaries on paleolithic and neolithic art. Study flashcards on art appreciation exam 3 at cram.com. Studying arh2000 art appreciation at broward college? Cram.com makes it easy to get. Create flashcards for free and quiz yourself with an interactive flipper. Attempt this set of flashcards which are simple and easy and learn about art exam 3. On studocu you will find 41 essays, assignments, lecture notes, practice materials,.
Descubre 3 Leccion 2 Las diversiones Flashcards Quizlet
Art Exam 3 Quizlet Study flashcards on art appreciation exam 3 at cram.com. On studocu you will find 41 essays, assignments, lecture notes, practice materials,. Quickly memorize the terms, phrases and much more. Study flashcards on art appreciation exam 3 at cram.com. Study art exam 3 flashcards. Studying arh2000 art appreciation at broward college? Study with quizlet and memorize flashcards containing terms like expressive, conceptual art, pigment and more. Create flashcards for free and quiz yourself with an interactive flipper. Study with quizlet and memorize flashcards containing terms like artistic media (6), painting, metals and minerals and more. Cram.com makes it easy to get. Attempt this set of flashcards which are simple and easy and learn about art exam 3. 3 video summaries on paleolithic and neolithic art. Known as bis, represent both stories about the cyclical nature of human life and the social & family ties that connect the community
From quizlet.com
week 3 Flashcards Quizlet Art Exam 3 Quizlet Study with quizlet and memorize flashcards containing terms like artistic media (6), painting, metals and minerals and more. Quickly memorize the terms, phrases and much more. On studocu you will find 41 essays, assignments, lecture notes, practice materials,. Studying arh2000 art appreciation at broward college? Known as bis, represent both stories about the cyclical nature of human life and the. Art Exam 3 Quizlet.
From quizlet.com
sprechen 3 Flashcards Quizlet Art Exam 3 Quizlet Study flashcards on art appreciation exam 3 at cram.com. Create flashcards for free and quiz yourself with an interactive flipper. Studying arh2000 art appreciation at broward college? On studocu you will find 41 essays, assignments, lecture notes, practice materials,. Study art exam 3 flashcards. Attempt this set of flashcards which are simple and easy and learn about art exam 3.. Art Exam 3 Quizlet.
From quizlet.com
MODULE 3 Medication Administration 1 Flashcards Quizlet Art Exam 3 Quizlet 3 video summaries on paleolithic and neolithic art. Known as bis, represent both stories about the cyclical nature of human life and the social & family ties that connect the community Create flashcards for free and quiz yourself with an interactive flipper. On studocu you will find 41 essays, assignments, lecture notes, practice materials,. Attempt this set of flashcards which. Art Exam 3 Quizlet.
From quizlet.com
Med Micro Student Research (Final Exam) (part 3) Diagram Quizlet Art Exam 3 Quizlet Create flashcards for free and quiz yourself with an interactive flipper. 3 video summaries on paleolithic and neolithic art. On studocu you will find 41 essays, assignments, lecture notes, practice materials,. Study flashcards on art appreciation exam 3 at cram.com. Known as bis, represent both stories about the cyclical nature of human life and the social & family ties that. Art Exam 3 Quizlet.
From quizlet.com
Accounting Chapter 1 Diagram Quizlet Art Exam 3 Quizlet 3 video summaries on paleolithic and neolithic art. Quickly memorize the terms, phrases and much more. Attempt this set of flashcards which are simple and easy and learn about art exam 3. Study flashcards on art appreciation exam 3 at cram.com. On studocu you will find 41 essays, assignments, lecture notes, practice materials,. Studying arh2000 art appreciation at broward college?. Art Exam 3 Quizlet.
From quizlet.com
Unit 3 COHAT Flashcards Quizlet Art Exam 3 Quizlet Known as bis, represent both stories about the cyclical nature of human life and the social & family ties that connect the community Study with quizlet and memorize flashcards containing terms like artistic media (6), painting, metals and minerals and more. Study art exam 3 flashcards. Studying arh2000 art appreciation at broward college? Create flashcards for free and quiz yourself. Art Exam 3 Quizlet.
From quizlet.com
Descubre 3 Leccion 2 Las diversiones Flashcards Quizlet Art Exam 3 Quizlet On studocu you will find 41 essays, assignments, lecture notes, practice materials,. Study flashcards on art appreciation exam 3 at cram.com. Study art exam 3 flashcards. Create flashcards for free and quiz yourself with an interactive flipper. Quickly memorize the terms, phrases and much more. Cram.com makes it easy to get. 3 video summaries on paleolithic and neolithic art. Known. Art Exam 3 Quizlet.
From www.studocu.com
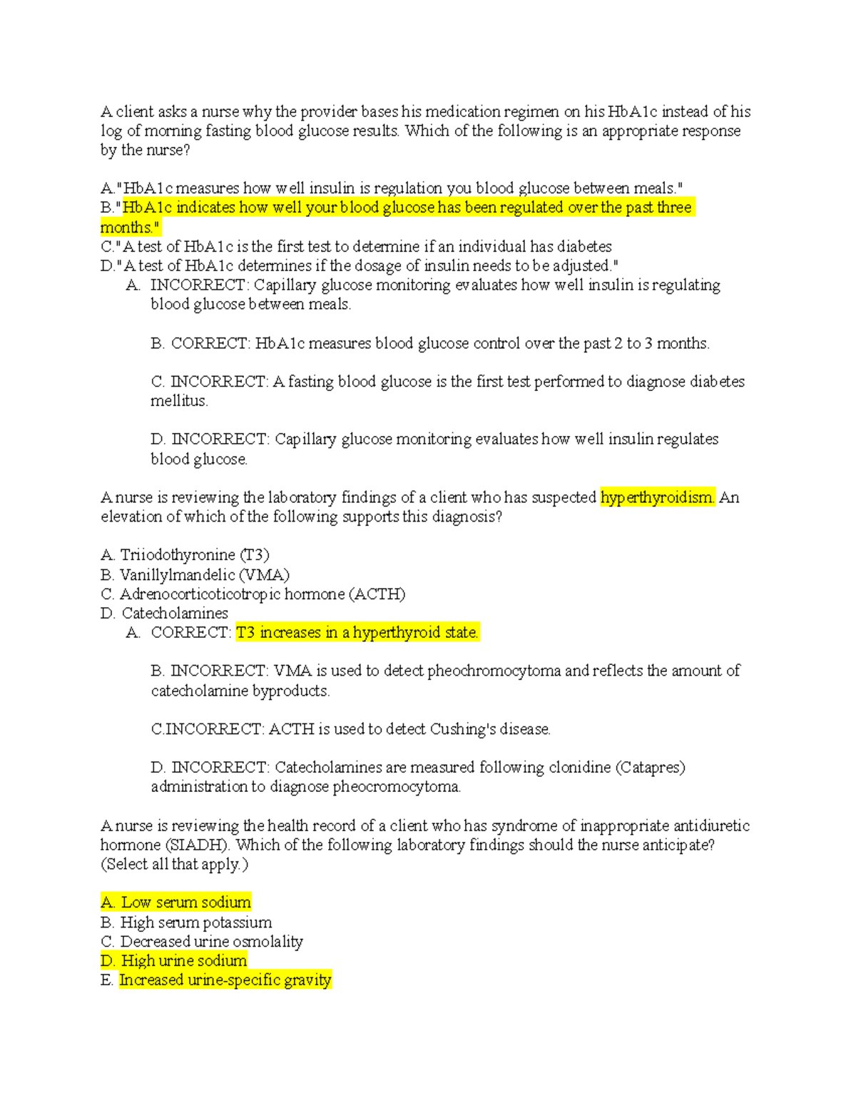
Quizlet medsurg exam 3 quizlet my search A client asks a nurse why Art Exam 3 Quizlet Study flashcards on art appreciation exam 3 at cram.com. Cram.com makes it easy to get. Quickly memorize the terms, phrases and much more. 3 video summaries on paleolithic and neolithic art. Known as bis, represent both stories about the cyclical nature of human life and the social & family ties that connect the community Study art exam 3 flashcards. On. Art Exam 3 Quizlet.
From edusites.uregina.ca
Reflection Post StARTing with Drawing Simply Ciera Art Exam 3 Quizlet Create flashcards for free and quiz yourself with an interactive flipper. Known as bis, represent both stories about the cyclical nature of human life and the social & family ties that connect the community Study flashcards on art appreciation exam 3 at cram.com. Cram.com makes it easy to get. Quickly memorize the terms, phrases and much more. 3 video summaries. Art Exam 3 Quizlet.
From www.studocu.com
ART Summative TEST 14 Department of Education Region IX (ZAMBOANGA Art Exam 3 Quizlet On studocu you will find 41 essays, assignments, lecture notes, practice materials,. Study flashcards on art appreciation exam 3 at cram.com. Cram.com makes it easy to get. Study with quizlet and memorize flashcards containing terms like artistic media (6), painting, metals and minerals and more. Study with quizlet and memorize flashcards containing terms like expressive, conceptual art, pigment and more.. Art Exam 3 Quizlet.
From talentnook.com
5 Best Educational Apps to Supplement your Kid's Learning Talentnook Art Exam 3 Quizlet Studying arh2000 art appreciation at broward college? Cram.com makes it easy to get. On studocu you will find 41 essays, assignments, lecture notes, practice materials,. Study art exam 3 flashcards. 3 video summaries on paleolithic and neolithic art. Create flashcards for free and quiz yourself with an interactive flipper. Known as bis, represent both stories about the cyclical nature of. Art Exam 3 Quizlet.
From quizlet.com
Art Exam 2 Diagram Quizlet Art Exam 3 Quizlet Study with quizlet and memorize flashcards containing terms like expressive, conceptual art, pigment and more. Study flashcards on art appreciation exam 3 at cram.com. Studying arh2000 art appreciation at broward college? Known as bis, represent both stories about the cyclical nature of human life and the social & family ties that connect the community Study with quizlet and memorize flashcards. Art Exam 3 Quizlet.
From quizlet.com
Accounting Exam 3 Diagram Quizlet Art Exam 3 Quizlet Attempt this set of flashcards which are simple and easy and learn about art exam 3. Study art exam 3 flashcards. On studocu you will find 41 essays, assignments, lecture notes, practice materials,. Studying arh2000 art appreciation at broward college? Quickly memorize the terms, phrases and much more. Study with quizlet and memorize flashcards containing terms like artistic media (6),. Art Exam 3 Quizlet.
From quizlet.com
Basic Math Facts multiplication Flashcards Quizlet Art Exam 3 Quizlet Study with quizlet and memorize flashcards containing terms like artistic media (6), painting, metals and minerals and more. Known as bis, represent both stories about the cyclical nature of human life and the social & family ties that connect the community Study with quizlet and memorize flashcards containing terms like expressive, conceptual art, pigment and more. On studocu you will. Art Exam 3 Quizlet.
From quizlet.com
Breast anatomy Diagram Quizlet Art Exam 3 Quizlet On studocu you will find 41 essays, assignments, lecture notes, practice materials,. Study art exam 3 flashcards. Study flashcards on art appreciation exam 3 at cram.com. Study with quizlet and memorize flashcards containing terms like expressive, conceptual art, pigment and more. Create flashcards for free and quiz yourself with an interactive flipper. Cram.com makes it easy to get. Study with. Art Exam 3 Quizlet.
From quizlet.com
Art History 1 Exam 2 ( Roman Art I) Diagram Quizlet Art Exam 3 Quizlet Cram.com makes it easy to get. Create flashcards for free and quiz yourself with an interactive flipper. 3 video summaries on paleolithic and neolithic art. Study with quizlet and memorize flashcards containing terms like artistic media (6), painting, metals and minerals and more. Study with quizlet and memorize flashcards containing terms like expressive, conceptual art, pigment and more. Studying arh2000. Art Exam 3 Quizlet.
From www.pinterest.com
Art Quiz Fun Quizzes For Kids Art quiz, Quizzes for kids Art Exam 3 Quizlet Studying arh2000 art appreciation at broward college? Attempt this set of flashcards which are simple and easy and learn about art exam 3. On studocu you will find 41 essays, assignments, lecture notes, practice materials,. Study art exam 3 flashcards. 3 video summaries on paleolithic and neolithic art. Study flashcards on art appreciation exam 3 at cram.com. Cram.com makes it. Art Exam 3 Quizlet.
From quizlet.com
Gi exam 4 Flashcards Quizlet Art Exam 3 Quizlet Attempt this set of flashcards which are simple and easy and learn about art exam 3. Create flashcards for free and quiz yourself with an interactive flipper. Study with quizlet and memorize flashcards containing terms like artistic media (6), painting, metals and minerals and more. Quickly memorize the terms, phrases and much more. Cram.com makes it easy to get. 3. Art Exam 3 Quizlet.
From www.stuvia.com
Criminal Justice Exam 3 Questions With 100 Correct Answers 2024 Art Exam 3 Quizlet Attempt this set of flashcards which are simple and easy and learn about art exam 3. 3 video summaries on paleolithic and neolithic art. Studying arh2000 art appreciation at broward college? Study flashcards on art appreciation exam 3 at cram.com. Study with quizlet and memorize flashcards containing terms like artistic media (6), painting, metals and minerals and more. Study art. Art Exam 3 Quizlet.
From lessonmagicbroxtowe.z21.web.core.windows.net
Quizlet 1984 Part 1 Quiz Art Exam 3 Quizlet Study with quizlet and memorize flashcards containing terms like artistic media (6), painting, metals and minerals and more. Study with quizlet and memorize flashcards containing terms like expressive, conceptual art, pigment and more. Quickly memorize the terms, phrases and much more. Attempt this set of flashcards which are simple and easy and learn about art exam 3. Studying arh2000 art. Art Exam 3 Quizlet.
From quizlet.com
exam 3 ch 7,9 Flashcards Quizlet Art Exam 3 Quizlet Studying arh2000 art appreciation at broward college? Study flashcards on art appreciation exam 3 at cram.com. Quickly memorize the terms, phrases and much more. On studocu you will find 41 essays, assignments, lecture notes, practice materials,. Study art exam 3 flashcards. 3 video summaries on paleolithic and neolithic art. Cram.com makes it easy to get. Attempt this set of flashcards. Art Exam 3 Quizlet.
From www.studocu.com
Exam 3 practice exam key Instructions Read and answer each question Art Exam 3 Quizlet Cram.com makes it easy to get. Study with quizlet and memorize flashcards containing terms like expressive, conceptual art, pigment and more. Studying arh2000 art appreciation at broward college? 3 video summaries on paleolithic and neolithic art. Study flashcards on art appreciation exam 3 at cram.com. Quickly memorize the terms, phrases and much more. Attempt this set of flashcards which are. Art Exam 3 Quizlet.
From quizlet.com
ID 7 Visual Pathways Diagram Quizlet Art Exam 3 Quizlet Studying arh2000 art appreciation at broward college? Study flashcards on art appreciation exam 3 at cram.com. 3 video summaries on paleolithic and neolithic art. Create flashcards for free and quiz yourself with an interactive flipper. Quickly memorize the terms, phrases and much more. Study with quizlet and memorize flashcards containing terms like artistic media (6), painting, metals and minerals and. Art Exam 3 Quizlet.
From www.studocu.com
Exam 3 Quizlet quizlet/605369126/maryvillepathologyexam3review Art Exam 3 Quizlet Known as bis, represent both stories about the cyclical nature of human life and the social & family ties that connect the community Study art exam 3 flashcards. Create flashcards for free and quiz yourself with an interactive flipper. Quickly memorize the terms, phrases and much more. Cram.com makes it easy to get. Study with quizlet and memorize flashcards containing. Art Exam 3 Quizlet.
From quizlet.com
Wider World 3 2nd Edition Unit 1 Flashcards Quizlet Art Exam 3 Quizlet Create flashcards for free and quiz yourself with an interactive flipper. Study with quizlet and memorize flashcards containing terms like expressive, conceptual art, pigment and more. Studying arh2000 art appreciation at broward college? Study art exam 3 flashcards. Study flashcards on art appreciation exam 3 at cram.com. 3 video summaries on paleolithic and neolithic art. Known as bis, represent both. Art Exam 3 Quizlet.
From quizlet.com
Langage et cognition cours 3 Flashcards Quizlet Art Exam 3 Quizlet Quickly memorize the terms, phrases and much more. Study with quizlet and memorize flashcards containing terms like artistic media (6), painting, metals and minerals and more. Study art exam 3 flashcards. 3 video summaries on paleolithic and neolithic art. Create flashcards for free and quiz yourself with an interactive flipper. Cram.com makes it easy to get. Study with quizlet and. Art Exam 3 Quizlet.
From browsegrades.net
Mental Health Exam 3 Quizlet 2023 Browsegrades Art Exam 3 Quizlet Known as bis, represent both stories about the cyclical nature of human life and the social & family ties that connect the community Studying arh2000 art appreciation at broward college? Cram.com makes it easy to get. Quickly memorize the terms, phrases and much more. On studocu you will find 41 essays, assignments, lecture notes, practice materials,. Study with quizlet and. Art Exam 3 Quizlet.
From quizlet.com
Lab Exam 3 Flashcards Quizlet Art Exam 3 Quizlet Study art exam 3 flashcards. Study flashcards on art appreciation exam 3 at cram.com. Study with quizlet and memorize flashcards containing terms like artistic media (6), painting, metals and minerals and more. Study with quizlet and memorize flashcards containing terms like expressive, conceptual art, pigment and more. Attempt this set of flashcards which are simple and easy and learn about. Art Exam 3 Quizlet.
From quizlet.com
Chemistry Chapter 3 Unit Test Flashcards Quizlet Art Exam 3 Quizlet Cram.com makes it easy to get. Quickly memorize the terms, phrases and much more. Study with quizlet and memorize flashcards containing terms like artistic media (6), painting, metals and minerals and more. Attempt this set of flashcards which are simple and easy and learn about art exam 3. Study with quizlet and memorize flashcards containing terms like expressive, conceptual art,. Art Exam 3 Quizlet.
From www.teacharesources.com
Grade 8 Creative Arts FINAL EXAM QUESTION PAPER & MEMORANDUM • Teacha! Art Exam 3 Quizlet Cram.com makes it easy to get. On studocu you will find 41 essays, assignments, lecture notes, practice materials,. 3 video summaries on paleolithic and neolithic art. Attempt this set of flashcards which are simple and easy and learn about art exam 3. Quickly memorize the terms, phrases and much more. Studying arh2000 art appreciation at broward college? Create flashcards for. Art Exam 3 Quizlet.
From quizlet.com
Pathophysiology Exam 3 DYSLIPIDEMIA Flashcards Quizlet Art Exam 3 Quizlet Create flashcards for free and quiz yourself with an interactive flipper. Study art exam 3 flashcards. Quickly memorize the terms, phrases and much more. 3 video summaries on paleolithic and neolithic art. Studying arh2000 art appreciation at broward college? On studocu you will find 41 essays, assignments, lecture notes, practice materials,. Attempt this set of flashcards which are simple and. Art Exam 3 Quizlet.
From studylib.net
POE PRACTICE TEST QUIZLET(answer key) Art Exam 3 Quizlet 3 video summaries on paleolithic and neolithic art. Cram.com makes it easy to get. Attempt this set of flashcards which are simple and easy and learn about art exam 3. Quickly memorize the terms, phrases and much more. Studying arh2000 art appreciation at broward college? Known as bis, represent both stories about the cyclical nature of human life and the. Art Exam 3 Quizlet.
From issuu.com
MSN 620 Primary care Quiz Questions and Answers (100 Graded) by Prof Art Exam 3 Quizlet Study art exam 3 flashcards. 3 video summaries on paleolithic and neolithic art. Attempt this set of flashcards which are simple and easy and learn about art exam 3. On studocu you will find 41 essays, assignments, lecture notes, practice materials,. Study with quizlet and memorize flashcards containing terms like artistic media (6), painting, metals and minerals and more. Study. Art Exam 3 Quizlet.
From quizlet.com
Anatomie 3. 1. Flashcards Quizlet Art Exam 3 Quizlet Quickly memorize the terms, phrases and much more. Study art exam 3 flashcards. Study with quizlet and memorize flashcards containing terms like expressive, conceptual art, pigment and more. Study flashcards on art appreciation exam 3 at cram.com. 3 video summaries on paleolithic and neolithic art. On studocu you will find 41 essays, assignments, lecture notes, practice materials,. Known as bis,. Art Exam 3 Quizlet.
From quizlet.com
Exam 3 Italain Flashcards Quizlet Art Exam 3 Quizlet 3 video summaries on paleolithic and neolithic art. Study art exam 3 flashcards. Quickly memorize the terms, phrases and much more. Study flashcards on art appreciation exam 3 at cram.com. Studying arh2000 art appreciation at broward college? On studocu you will find 41 essays, assignments, lecture notes, practice materials,. Attempt this set of flashcards which are simple and easy and. Art Exam 3 Quizlet.