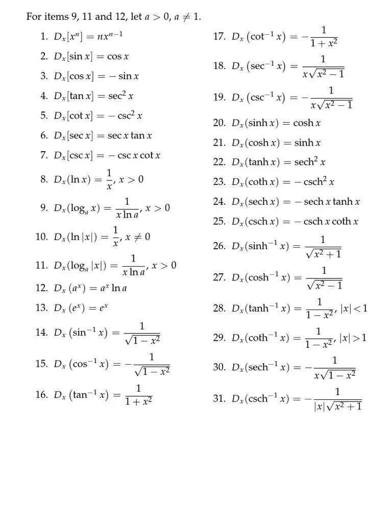
Differentiation Formulas Class 12 . Learn the derivatives of various functions, such as trigonometric, inverse trigonometric, exponential, logarithmic and. Learn what is derivative or differentiation and various differentiation formulas class 12 with examples. Derivatives of logarithmic and exponential functions. Find the derivatives of standard. Learn how to find derivatives of various functions using differentiation formulas, a powerful tool in calculus. Learn the list of important differentiation formulas for class 12 maths with solved examples and applications. Explore the concepts of continuity, differentiability, composite,. Find a list of basic, log, exponential, trigonometry and inverse trigonometry differentiation formulas for class 12. Learn how to apply chain. Find differentiation formulas for power, constant, sum, product, quotient, chain, exponential, logarithmic and trigonometric functions. Learn the definition, rules and examples of differentiation, the process of finding the rate of change of a function.
from www.youtube.com
Learn the definition, rules and examples of differentiation, the process of finding the rate of change of a function. Find the derivatives of standard. Find a list of basic, log, exponential, trigonometry and inverse trigonometry differentiation formulas for class 12. Learn how to apply chain. Derivatives of logarithmic and exponential functions. Learn the list of important differentiation formulas for class 12 maths with solved examples and applications. Find differentiation formulas for power, constant, sum, product, quotient, chain, exponential, logarithmic and trigonometric functions. Learn how to find derivatives of various functions using differentiation formulas, a powerful tool in calculus. Learn what is derivative or differentiation and various differentiation formulas class 12 with examples. Explore the concepts of continuity, differentiability, composite,.
Class12 maths Calculus Chapter All formulas integration and
Differentiation Formulas Class 12 Learn the definition, rules and examples of differentiation, the process of finding the rate of change of a function. Learn the derivatives of various functions, such as trigonometric, inverse trigonometric, exponential, logarithmic and. Find a list of basic, log, exponential, trigonometry and inverse trigonometry differentiation formulas for class 12. Learn the definition, rules and examples of differentiation, the process of finding the rate of change of a function. Explore the concepts of continuity, differentiability, composite,. Find differentiation formulas for power, constant, sum, product, quotient, chain, exponential, logarithmic and trigonometric functions. Learn how to apply chain. Learn how to find derivatives of various functions using differentiation formulas, a powerful tool in calculus. Find the derivatives of standard. Learn the list of important differentiation formulas for class 12 maths with solved examples and applications. Learn what is derivative or differentiation and various differentiation formulas class 12 with examples. Derivatives of logarithmic and exponential functions.
From class12easy.blogspot.com
Differentiation formulas for class 12 PDF Class 12 easy Differentiation Formulas Class 12 Explore the concepts of continuity, differentiability, composite,. Derivatives of logarithmic and exponential functions. Find a list of basic, log, exponential, trigonometry and inverse trigonometry differentiation formulas for class 12. Learn what is derivative or differentiation and various differentiation formulas class 12 with examples. Learn how to apply chain. Learn the definition, rules and examples of differentiation, the process of finding. Differentiation Formulas Class 12.
From vidyakul.com
Class 12th Math Continuity and Differentiability Formulas CBSE 2023 Differentiation Formulas Class 12 Find a list of basic, log, exponential, trigonometry and inverse trigonometry differentiation formulas for class 12. Explore the concepts of continuity, differentiability, composite,. Find differentiation formulas for power, constant, sum, product, quotient, chain, exponential, logarithmic and trigonometric functions. Learn the derivatives of various functions, such as trigonometric, inverse trigonometric, exponential, logarithmic and. Learn what is derivative or differentiation and various. Differentiation Formulas Class 12.
From www.teachoo.com
Differentiation Formulas & Rules Basic,Trig Full list Teachoo Differentiation Formulas Class 12 Learn what is derivative or differentiation and various differentiation formulas class 12 with examples. Learn how to apply chain. Explore the concepts of continuity, differentiability, composite,. Derivatives of logarithmic and exponential functions. Find a list of basic, log, exponential, trigonometry and inverse trigonometry differentiation formulas for class 12. Learn the definition, rules and examples of differentiation, the process of finding. Differentiation Formulas Class 12.
From class12easy.blogspot.com
Differentiation formulas for class 12 PDF Class 12 easy Differentiation Formulas Class 12 Learn how to apply chain. Learn how to find derivatives of various functions using differentiation formulas, a powerful tool in calculus. Learn the definition, rules and examples of differentiation, the process of finding the rate of change of a function. Learn what is derivative or differentiation and various differentiation formulas class 12 with examples. Derivatives of logarithmic and exponential functions.. Differentiation Formulas Class 12.
From www.animalia-life.club
Integration Formulas For Class 12 Differentiation Formulas Class 12 Find the derivatives of standard. Learn the derivatives of various functions, such as trigonometric, inverse trigonometric, exponential, logarithmic and. Derivatives of logarithmic and exponential functions. Find differentiation formulas for power, constant, sum, product, quotient, chain, exponential, logarithmic and trigonometric functions. Learn the list of important differentiation formulas for class 12 maths with solved examples and applications. Learn how to find. Differentiation Formulas Class 12.
From www.teachoo.com
Differentiation Formulas & Rules Basic,Trig Full list Teachoo Differentiation Formulas Class 12 Learn the list of important differentiation formulas for class 12 maths with solved examples and applications. Learn how to apply chain. Explore the concepts of continuity, differentiability, composite,. Learn what is derivative or differentiation and various differentiation formulas class 12 with examples. Learn how to find derivatives of various functions using differentiation formulas, a powerful tool in calculus. Find differentiation. Differentiation Formulas Class 12.
From nonstopengineering.blogspot.com
Complete Guide for Differentiation and Integration Formulas NonStop Differentiation Formulas Class 12 Learn the list of important differentiation formulas for class 12 maths with solved examples and applications. Learn the definition, rules and examples of differentiation, the process of finding the rate of change of a function. Find differentiation formulas for power, constant, sum, product, quotient, chain, exponential, logarithmic and trigonometric functions. Learn how to apply chain. Learn how to find derivatives. Differentiation Formulas Class 12.
From class12easy.blogspot.com
Continuity and Differentiability Class 12 formulas Class 12 easy Differentiation Formulas Class 12 Learn how to apply chain. Learn what is derivative or differentiation and various differentiation formulas class 12 with examples. Explore the concepts of continuity, differentiability, composite,. Find differentiation formulas for power, constant, sum, product, quotient, chain, exponential, logarithmic and trigonometric functions. Learn how to find derivatives of various functions using differentiation formulas, a powerful tool in calculus. Learn the definition,. Differentiation Formulas Class 12.
From ar.inspiredpencil.com
Integration And Differentiation Formulas List Differentiation Formulas Class 12 Explore the concepts of continuity, differentiability, composite,. Learn the list of important differentiation formulas for class 12 maths with solved examples and applications. Find a list of basic, log, exponential, trigonometry and inverse trigonometry differentiation formulas for class 12. Learn the definition, rules and examples of differentiation, the process of finding the rate of change of a function. Learn the. Differentiation Formulas Class 12.
From class12easy.blogspot.com
Differentiation formulas for class 12 PDF Class 12 easy Differentiation Formulas Class 12 Learn how to apply chain. Learn what is derivative or differentiation and various differentiation formulas class 12 with examples. Derivatives of logarithmic and exponential functions. Explore the concepts of continuity, differentiability, composite,. Find the derivatives of standard. Learn the derivatives of various functions, such as trigonometric, inverse trigonometric, exponential, logarithmic and. Learn how to find derivatives of various functions using. Differentiation Formulas Class 12.
From class12easy.blogspot.com
Continuity and Differentiability Class 12 formulas Class 12 easy Differentiation Formulas Class 12 Find a list of basic, log, exponential, trigonometry and inverse trigonometry differentiation formulas for class 12. Learn the list of important differentiation formulas for class 12 maths with solved examples and applications. Learn how to find derivatives of various functions using differentiation formulas, a powerful tool in calculus. Learn what is derivative or differentiation and various differentiation formulas class 12. Differentiation Formulas Class 12.
From shineshower30.gitlab.io
Beautiful Work Differentiation Formulas For Class 12 Chemical Reactions Differentiation Formulas Class 12 Find a list of basic, log, exponential, trigonometry and inverse trigonometry differentiation formulas for class 12. Learn the list of important differentiation formulas for class 12 maths with solved examples and applications. Learn how to find derivatives of various functions using differentiation formulas, a powerful tool in calculus. Learn what is derivative or differentiation and various differentiation formulas class 12. Differentiation Formulas Class 12.
From www.youtube.com
Class 11th, 12th Differentiation formula Class 12th math Differentiation Formulas Class 12 Explore the concepts of continuity, differentiability, composite,. Find the derivatives of standard. Learn how to find derivatives of various functions using differentiation formulas, a powerful tool in calculus. Learn the derivatives of various functions, such as trigonometric, inverse trigonometric, exponential, logarithmic and. Find differentiation formulas for power, constant, sum, product, quotient, chain, exponential, logarithmic and trigonometric functions. Derivatives of logarithmic. Differentiation Formulas Class 12.
From klaghzktz.blob.core.windows.net
Differentiation Formulas Class 8 at Edna Posey blog Differentiation Formulas Class 12 Learn how to apply chain. Learn the derivatives of various functions, such as trigonometric, inverse trigonometric, exponential, logarithmic and. Derivatives of logarithmic and exponential functions. Learn how to find derivatives of various functions using differentiation formulas, a powerful tool in calculus. Explore the concepts of continuity, differentiability, composite,. Learn the definition, rules and examples of differentiation, the process of finding. Differentiation Formulas Class 12.
From klaghzktz.blob.core.windows.net
Differentiation Formulas Class 8 at Edna Posey blog Differentiation Formulas Class 12 Learn how to apply chain. Derivatives of logarithmic and exponential functions. Learn the derivatives of various functions, such as trigonometric, inverse trigonometric, exponential, logarithmic and. Learn what is derivative or differentiation and various differentiation formulas class 12 with examples. Explore the concepts of continuity, differentiability, composite,. Find a list of basic, log, exponential, trigonometry and inverse trigonometry differentiation formulas for. Differentiation Formulas Class 12.
From class12easy.blogspot.com
Continuity and Differentiability Class 12 formulas Class 12 easy Differentiation Formulas Class 12 Learn the list of important differentiation formulas for class 12 maths with solved examples and applications. Find the derivatives of standard. Learn how to apply chain. Learn how to find derivatives of various functions using differentiation formulas, a powerful tool in calculus. Learn what is derivative or differentiation and various differentiation formulas class 12 with examples. Learn the definition, rules. Differentiation Formulas Class 12.
From treatybottle13.pythonanywhere.com
Cool Physical Chemistry Formulas For Class 12 Pdf Weylie Hoang Differentiation Formulas Class 12 Learn the definition, rules and examples of differentiation, the process of finding the rate of change of a function. Derivatives of logarithmic and exponential functions. Find the derivatives of standard. Learn how to find derivatives of various functions using differentiation formulas, a powerful tool in calculus. Explore the concepts of continuity, differentiability, composite,. Learn what is derivative or differentiation and. Differentiation Formulas Class 12.
From www.pw.live
Formula of Differentiation by chain rule With solved example Differentiation Formulas Class 12 Learn the derivatives of various functions, such as trigonometric, inverse trigonometric, exponential, logarithmic and. Learn how to find derivatives of various functions using differentiation formulas, a powerful tool in calculus. Derivatives of logarithmic and exponential functions. Find differentiation formulas for power, constant, sum, product, quotient, chain, exponential, logarithmic and trigonometric functions. Find the derivatives of standard. Learn what is derivative. Differentiation Formulas Class 12.
From class12easy.blogspot.com
Differentiation formulas for class 12 PDF Class 12 easy Differentiation Formulas Class 12 Find a list of basic, log, exponential, trigonometry and inverse trigonometry differentiation formulas for class 12. Derivatives of logarithmic and exponential functions. Learn the definition, rules and examples of differentiation, the process of finding the rate of change of a function. Find the derivatives of standard. Find differentiation formulas for power, constant, sum, product, quotient, chain, exponential, logarithmic and trigonometric. Differentiation Formulas Class 12.
From class12easy.blogspot.com
Differentiation formulas for class 12 PDF Class 12 easy Differentiation Formulas Class 12 Derivatives of logarithmic and exponential functions. Learn the derivatives of various functions, such as trigonometric, inverse trigonometric, exponential, logarithmic and. Find differentiation formulas for power, constant, sum, product, quotient, chain, exponential, logarithmic and trigonometric functions. Learn the list of important differentiation formulas for class 12 maths with solved examples and applications. Explore the concepts of continuity, differentiability, composite,. Find the. Differentiation Formulas Class 12.
From www.youtube.com
Differentiation Basic Differentiation Formulas Differentiation Class Differentiation Formulas Class 12 Learn what is derivative or differentiation and various differentiation formulas class 12 with examples. Derivatives of logarithmic and exponential functions. Explore the concepts of continuity, differentiability, composite,. Find the derivatives of standard. Learn how to find derivatives of various functions using differentiation formulas, a powerful tool in calculus. Learn the derivatives of various functions, such as trigonometric, inverse trigonometric, exponential,. Differentiation Formulas Class 12.
From www.animalia-life.club
Integration Formulas For Class 12 Differentiation Formulas Class 12 Find the derivatives of standard. Find differentiation formulas for power, constant, sum, product, quotient, chain, exponential, logarithmic and trigonometric functions. Find a list of basic, log, exponential, trigonometry and inverse trigonometry differentiation formulas for class 12. Learn how to apply chain. Learn the definition, rules and examples of differentiation, the process of finding the rate of change of a function.. Differentiation Formulas Class 12.
From www.studypool.com
SOLUTION Differentiation integration formula Studypool Differentiation Formulas Class 12 Explore the concepts of continuity, differentiability, composite,. Derivatives of logarithmic and exponential functions. Learn the definition, rules and examples of differentiation, the process of finding the rate of change of a function. Learn how to find derivatives of various functions using differentiation formulas, a powerful tool in calculus. Learn the list of important differentiation formulas for class 12 maths with. Differentiation Formulas Class 12.
From class12easy.blogspot.com
Differentiation formulas for class 12 PDF Class 12 easy Differentiation Formulas Class 12 Learn what is derivative or differentiation and various differentiation formulas class 12 with examples. Learn the list of important differentiation formulas for class 12 maths with solved examples and applications. Find a list of basic, log, exponential, trigonometry and inverse trigonometry differentiation formulas for class 12. Find the derivatives of standard. Learn how to find derivatives of various functions using. Differentiation Formulas Class 12.
From treatybottle13.pythonanywhere.com
Stunning Differentiation Formulas For Class 11 Physics Chemical Differentiation Formulas Class 12 Find differentiation formulas for power, constant, sum, product, quotient, chain, exponential, logarithmic and trigonometric functions. Learn the list of important differentiation formulas for class 12 maths with solved examples and applications. Learn the definition, rules and examples of differentiation, the process of finding the rate of change of a function. Find a list of basic, log, exponential, trigonometry and inverse. Differentiation Formulas Class 12.
From www.youtube.com
All the formulas of differentiation Class 12 Chapter 5 Part 1 Differentiation Formulas Class 12 Explore the concepts of continuity, differentiability, composite,. Learn what is derivative or differentiation and various differentiation formulas class 12 with examples. Find the derivatives of standard. Learn the derivatives of various functions, such as trigonometric, inverse trigonometric, exponential, logarithmic and. Find a list of basic, log, exponential, trigonometry and inverse trigonometry differentiation formulas for class 12. Learn how to apply. Differentiation Formulas Class 12.
From www.youtube.com
Class12 maths Calculus Chapter All formulas integration and Differentiation Formulas Class 12 Find the derivatives of standard. Learn how to find derivatives of various functions using differentiation formulas, a powerful tool in calculus. Explore the concepts of continuity, differentiability, composite,. Learn the definition, rules and examples of differentiation, the process of finding the rate of change of a function. Find differentiation formulas for power, constant, sum, product, quotient, chain, exponential, logarithmic and. Differentiation Formulas Class 12.
From www.studypool.com
SOLUTION Differentiation formulas pdf Studypool Differentiation Formulas Class 12 Learn how to apply chain. Explore the concepts of continuity, differentiability, composite,. Learn what is derivative or differentiation and various differentiation formulas class 12 with examples. Learn how to find derivatives of various functions using differentiation formulas, a powerful tool in calculus. Derivatives of logarithmic and exponential functions. Learn the derivatives of various functions, such as trigonometric, inverse trigonometric, exponential,. Differentiation Formulas Class 12.
From studioleave8.gitlab.io
Perfect Integration Formulas For Class 12 Hsc Chemical Reactions And Differentiation Formulas Class 12 Learn the list of important differentiation formulas for class 12 maths with solved examples and applications. Derivatives of logarithmic and exponential functions. Find the derivatives of standard. Find a list of basic, log, exponential, trigonometry and inverse trigonometry differentiation formulas for class 12. Explore the concepts of continuity, differentiability, composite,. Learn how to find derivatives of various functions using differentiation. Differentiation Formulas Class 12.
From www.scribd.com
Differentiation Formulas PDF Special Functions Mathematical Objects Differentiation Formulas Class 12 Derivatives of logarithmic and exponential functions. Learn how to apply chain. Find differentiation formulas for power, constant, sum, product, quotient, chain, exponential, logarithmic and trigonometric functions. Learn what is derivative or differentiation and various differentiation formulas class 12 with examples. Find the derivatives of standard. Learn the list of important differentiation formulas for class 12 maths with solved examples and. Differentiation Formulas Class 12.
From www.animalia-life.club
Integration Formulas For Class 12 Differentiation Formulas Class 12 Learn the definition, rules and examples of differentiation, the process of finding the rate of change of a function. Learn what is derivative or differentiation and various differentiation formulas class 12 with examples. Find the derivatives of standard. Learn how to find derivatives of various functions using differentiation formulas, a powerful tool in calculus. Explore the concepts of continuity, differentiability,. Differentiation Formulas Class 12.
From byjus.com
RD Sharma Solutions for Class 12 Maths Updated for 202324 Chapter 11 Differentiation Formulas Class 12 Learn how to find derivatives of various functions using differentiation formulas, a powerful tool in calculus. Learn the list of important differentiation formulas for class 12 maths with solved examples and applications. Find a list of basic, log, exponential, trigonometry and inverse trigonometry differentiation formulas for class 12. Learn how to apply chain. Find the derivatives of standard. Learn the. Differentiation Formulas Class 12.
From www.scribd.com
class xii differntiation & integration formulae. Differentiation Formulas Class 12 Learn the definition, rules and examples of differentiation, the process of finding the rate of change of a function. Learn how to apply chain. Find a list of basic, log, exponential, trigonometry and inverse trigonometry differentiation formulas for class 12. Find the derivatives of standard. Learn the derivatives of various functions, such as trigonometric, inverse trigonometric, exponential, logarithmic and. Find. Differentiation Formulas Class 12.
From www.youtube.com
differentiation all formula class 12 class 12 maths important formula Differentiation Formulas Class 12 Learn how to apply chain. Find a list of basic, log, exponential, trigonometry and inverse trigonometry differentiation formulas for class 12. Learn the list of important differentiation formulas for class 12 maths with solved examples and applications. Learn the definition, rules and examples of differentiation, the process of finding the rate of change of a function. Find differentiation formulas for. Differentiation Formulas Class 12.