Open Top Box Problem . Explanation on how to setup the equation of a open top box. What should x be to. In this activity, students will work on a famous math problem exploring the volume of an open box. We solve a common type of optimization problem where we are asked to find the dimensions that. We’re being asked to maximize the volume of a box, so we’ll use the formula for the volume of a The aim is to create an open box (without.
from stock.adobe.com
What should x be to. The aim is to create an open box (without. We’re being asked to maximize the volume of a box, so we’ll use the formula for the volume of a Explanation on how to setup the equation of a open top box. We solve a common type of optimization problem where we are asked to find the dimensions that. In this activity, students will work on a famous math problem exploring the volume of an open box.
Open cardboard box top view isolated Stock Photo Adobe Stock
Open Top Box Problem In this activity, students will work on a famous math problem exploring the volume of an open box. We solve a common type of optimization problem where we are asked to find the dimensions that. We’re being asked to maximize the volume of a box, so we’ll use the formula for the volume of a What should x be to. In this activity, students will work on a famous math problem exploring the volume of an open box. Explanation on how to setup the equation of a open top box. The aim is to create an open box (without.
From www.coursehero.com
[Solved] This is the problem. An opentop box is to be made from a 30 Open Top Box Problem We’re being asked to maximize the volume of a box, so we’ll use the formula for the volume of a We solve a common type of optimization problem where we are asked to find the dimensions that. What should x be to. In this activity, students will work on a famous math problem exploring the volume of an open box.. Open Top Box Problem.
From www.youtube.com
Opentopped box problem Grade 12 math YouTube Open Top Box Problem The aim is to create an open box (without. We’re being asked to maximize the volume of a box, so we’ll use the formula for the volume of a Explanation on how to setup the equation of a open top box. In this activity, students will work on a famous math problem exploring the volume of an open box. We. Open Top Box Problem.
From www.bartleby.com
Answered Consider the following problem A box… bartleby Open Top Box Problem In this activity, students will work on a famous math problem exploring the volume of an open box. We’re being asked to maximize the volume of a box, so we’ll use the formula for the volume of a What should x be to. The aim is to create an open box (without. Explanation on how to setup the equation of. Open Top Box Problem.
From www.coursehero.com
[Solved] Here is the question. An opentop box is to be made from a 12 Open Top Box Problem We solve a common type of optimization problem where we are asked to find the dimensions that. The aim is to create an open box (without. What should x be to. We’re being asked to maximize the volume of a box, so we’ll use the formula for the volume of a In this activity, students will work on a famous. Open Top Box Problem.
From www.numerade.com
A box with an open top is to be constructed from a rectangular piece of Open Top Box Problem The aim is to create an open box (without. We solve a common type of optimization problem where we are asked to find the dimensions that. Explanation on how to setup the equation of a open top box. In this activity, students will work on a famous math problem exploring the volume of an open box. What should x be. Open Top Box Problem.
From www.chegg.com
Solved 3) Box problem 10 pts An open top box is to be made Open Top Box Problem We’re being asked to maximize the volume of a box, so we’ll use the formula for the volume of a Explanation on how to setup the equation of a open top box. In this activity, students will work on a famous math problem exploring the volume of an open box. The aim is to create an open box (without. We. Open Top Box Problem.
From www.creativefabrica.com
Open Box Top View. Empty Cardboard Packa Graphic by vectorbum Open Top Box Problem What should x be to. We solve a common type of optimization problem where we are asked to find the dimensions that. The aim is to create an open box (without. We’re being asked to maximize the volume of a box, so we’ll use the formula for the volume of a Explanation on how to setup the equation of a. Open Top Box Problem.
From www.numerade.com
SOLVEDpoints) A box with an open top is to be constructed from a Open Top Box Problem What should x be to. Explanation on how to setup the equation of a open top box. We’re being asked to maximize the volume of a box, so we’ll use the formula for the volume of a In this activity, students will work on a famous math problem exploring the volume of an open box. The aim is to create. Open Top Box Problem.
From www.youtube.com
Determine the Maximum Volume of an Open Top Box Using a Graph Only Open Top Box Problem We solve a common type of optimization problem where we are asked to find the dimensions that. What should x be to. In this activity, students will work on a famous math problem exploring the volume of an open box. We’re being asked to maximize the volume of a box, so we’ll use the formula for the volume of a. Open Top Box Problem.
From www.chegg.com
Solved If an open box is to be made using a 24 in. by 24 in. Open Top Box Problem Explanation on how to setup the equation of a open top box. We’re being asked to maximize the volume of a box, so we’ll use the formula for the volume of a We solve a common type of optimization problem where we are asked to find the dimensions that. What should x be to. In this activity, students will work. Open Top Box Problem.
From www.chegg.com
Solved An open top box is to be constructed trom a sheet of Open Top Box Problem We solve a common type of optimization problem where we are asked to find the dimensions that. Explanation on how to setup the equation of a open top box. The aim is to create an open box (without. We’re being asked to maximize the volume of a box, so we’ll use the formula for the volume of a What should. Open Top Box Problem.
From www.kristakingmath.com
Optimization problems with an opentop box — Krista King Math Online Open Top Box Problem The aim is to create an open box (without. In this activity, students will work on a famous math problem exploring the volume of an open box. Explanation on how to setup the equation of a open top box. What should x be to. We’re being asked to maximize the volume of a box, so we’ll use the formula for. Open Top Box Problem.
From www.numerade.com
An opentop box is to be constructed from sheet of tin that measures 28 Open Top Box Problem We’re being asked to maximize the volume of a box, so we’ll use the formula for the volume of a Explanation on how to setup the equation of a open top box. We solve a common type of optimization problem where we are asked to find the dimensions that. What should x be to. In this activity, students will work. Open Top Box Problem.
From www.youtube.com
Ex Find the Surface Area of an Open Top Box YouTube Open Top Box Problem What should x be to. We solve a common type of optimization problem where we are asked to find the dimensions that. Explanation on how to setup the equation of a open top box. The aim is to create an open box (without. In this activity, students will work on a famous math problem exploring the volume of an open. Open Top Box Problem.
From www.chegg.com
Solved An opentop box with a square base is to be Open Top Box Problem We’re being asked to maximize the volume of a box, so we’ll use the formula for the volume of a Explanation on how to setup the equation of a open top box. The aim is to create an open box (without. We solve a common type of optimization problem where we are asked to find the dimensions that. What should. Open Top Box Problem.
From www.teachoo.com
Example 36 An open topped box is to be constructed by Examples Open Top Box Problem In this activity, students will work on a famous math problem exploring the volume of an open box. We’re being asked to maximize the volume of a box, so we’ll use the formula for the volume of a The aim is to create an open box (without. Explanation on how to setup the equation of a open top box. What. Open Top Box Problem.
From www.chegg.com
Solved An open box is to be made from a square piece of Open Top Box Problem We solve a common type of optimization problem where we are asked to find the dimensions that. Explanation on how to setup the equation of a open top box. The aim is to create an open box (without. What should x be to. In this activity, students will work on a famous math problem exploring the volume of an open. Open Top Box Problem.
From www.cambridge.org
106.45 A generalisation of a classical opentop box problem The Open Top Box Problem Explanation on how to setup the equation of a open top box. In this activity, students will work on a famous math problem exploring the volume of an open box. We’re being asked to maximize the volume of a box, so we’ll use the formula for the volume of a We solve a common type of optimization problem where we. Open Top Box Problem.
From www.youtube.com
Opentop Box of Greatest Volume Calculus Optimization Problem YouTube Open Top Box Problem What should x be to. We’re being asked to maximize the volume of a box, so we’ll use the formula for the volume of a We solve a common type of optimization problem where we are asked to find the dimensions that. Explanation on how to setup the equation of a open top box. The aim is to create an. Open Top Box Problem.
From www.youtube.com
A box with an open top is to be constructed from a rectangular piece of Open Top Box Problem We solve a common type of optimization problem where we are asked to find the dimensions that. What should x be to. Explanation on how to setup the equation of a open top box. We’re being asked to maximize the volume of a box, so we’ll use the formula for the volume of a The aim is to create an. Open Top Box Problem.
From www.numerade.com
SOLVED A piece of cardboard measuring 9 inches by 9 inches is formed Open Top Box Problem We’re being asked to maximize the volume of a box, so we’ll use the formula for the volume of a In this activity, students will work on a famous math problem exploring the volume of an open box. We solve a common type of optimization problem where we are asked to find the dimensions that. Explanation on how to setup. Open Top Box Problem.
From www.youtube.com
The Surface Area Of An Open Top Box (Open Cuboid). YouTube Open Top Box Problem We’re being asked to maximize the volume of a box, so we’ll use the formula for the volume of a Explanation on how to setup the equation of a open top box. We solve a common type of optimization problem where we are asked to find the dimensions that. What should x be to. In this activity, students will work. Open Top Box Problem.
From www.youtube.com
Derivatives Optimization (Volume) Open Top Box from Cardboard YouTube Open Top Box Problem In this activity, students will work on a famous math problem exploring the volume of an open box. Explanation on how to setup the equation of a open top box. The aim is to create an open box (without. What should x be to. We’re being asked to maximize the volume of a box, so we’ll use the formula for. Open Top Box Problem.
From www.chegg.com
Solved The OpenTop Box Problem A square of side x inches is Open Top Box Problem We solve a common type of optimization problem where we are asked to find the dimensions that. What should x be to. In this activity, students will work on a famous math problem exploring the volume of an open box. Explanation on how to setup the equation of a open top box. We’re being asked to maximize the volume of. Open Top Box Problem.
From www.emenacpackaging.com
Custom Open top Boxes Custom Printed Open top Boxes Wholesale Open Open Top Box Problem In this activity, students will work on a famous math problem exploring the volume of an open box. We’re being asked to maximize the volume of a box, so we’ll use the formula for the volume of a The aim is to create an open box (without. Explanation on how to setup the equation of a open top box. We. Open Top Box Problem.
From www.youtube.com
Ex 2 Max / Min Application Problem Max Volume of a Box YouTube Open Top Box Problem The aim is to create an open box (without. Explanation on how to setup the equation of a open top box. What should x be to. We solve a common type of optimization problem where we are asked to find the dimensions that. In this activity, students will work on a famous math problem exploring the volume of an open. Open Top Box Problem.
From www.teachoo.com
Example 36 An open topped box is to be constructed by Examples Open Top Box Problem We solve a common type of optimization problem where we are asked to find the dimensions that. What should x be to. Explanation on how to setup the equation of a open top box. We’re being asked to maximize the volume of a box, so we’ll use the formula for the volume of a The aim is to create an. Open Top Box Problem.
From www.numerade.com
SOLVED Revlew Later ( Question Anovcicu An open top box is construcied Open Top Box Problem We’re being asked to maximize the volume of a box, so we’ll use the formula for the volume of a Explanation on how to setup the equation of a open top box. The aim is to create an open box (without. We solve a common type of optimization problem where we are asked to find the dimensions that. What should. Open Top Box Problem.
From www.chegg.com
Solved An open top box can be formed by starting from a Open Top Box Problem In this activity, students will work on a famous math problem exploring the volume of an open box. The aim is to create an open box (without. Explanation on how to setup the equation of a open top box. What should x be to. We’re being asked to maximize the volume of a box, so we’ll use the formula for. Open Top Box Problem.
From www.chegg.com
Solved A box with an open top is to be constructed by Open Top Box Problem In this activity, students will work on a famous math problem exploring the volume of an open box. We’re being asked to maximize the volume of a box, so we’ll use the formula for the volume of a What should x be to. The aim is to create an open box (without. We solve a common type of optimization problem. Open Top Box Problem.
From www.numerade.com
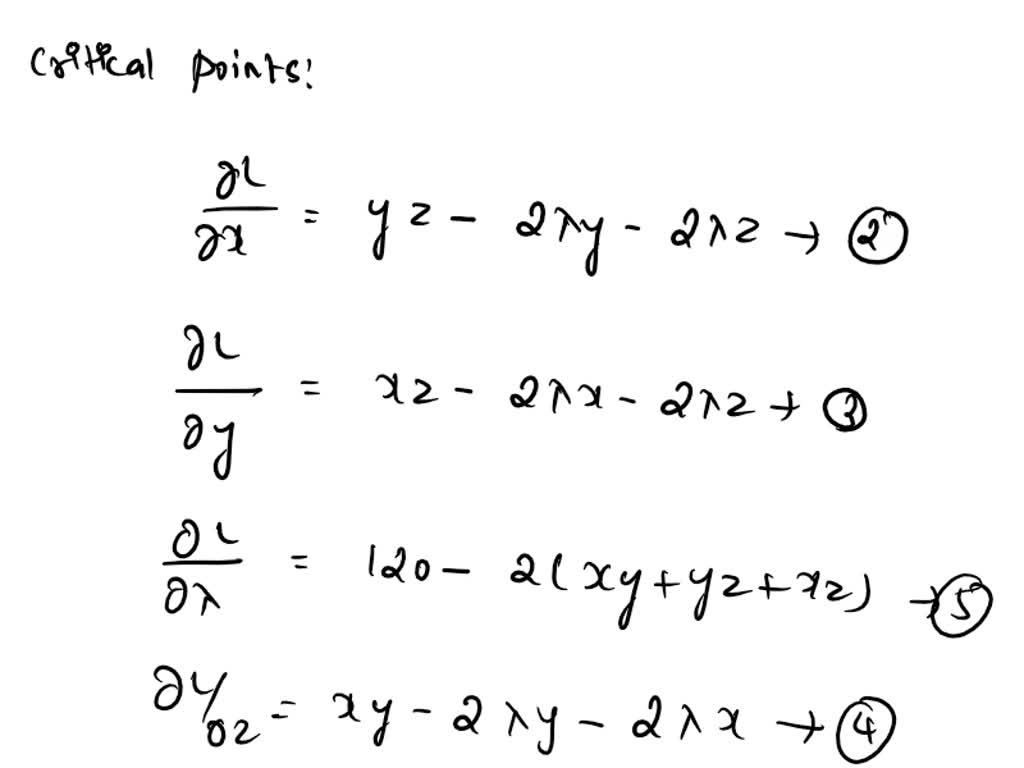
SOLVED Use Lagrange Multipliers to find the volume of the largest open Open Top Box Problem In this activity, students will work on a famous math problem exploring the volume of an open box. What should x be to. Explanation on how to setup the equation of a open top box. We solve a common type of optimization problem where we are asked to find the dimensions that. We’re being asked to maximize the volume of. Open Top Box Problem.
From www.youtube.com
Maximize Volume of an Open Top Box (Optimization) Calculus 1 Open Top Box Problem We solve a common type of optimization problem where we are asked to find the dimensions that. What should x be to. Explanation on how to setup the equation of a open top box. We’re being asked to maximize the volume of a box, so we’ll use the formula for the volume of a In this activity, students will work. Open Top Box Problem.
From www.youtube.com
Optimization Construction of a box with open top YouTube Open Top Box Problem We solve a common type of optimization problem where we are asked to find the dimensions that. What should x be to. The aim is to create an open box (without. In this activity, students will work on a famous math problem exploring the volume of an open box. Explanation on how to setup the equation of a open top. Open Top Box Problem.
From stock.adobe.com
Open cardboard box top view isolated Stock Photo Adobe Stock Open Top Box Problem We solve a common type of optimization problem where we are asked to find the dimensions that. The aim is to create an open box (without. In this activity, students will work on a famous math problem exploring the volume of an open box. What should x be to. We’re being asked to maximize the volume of a box, so. Open Top Box Problem.
From www.youtube.com
Optimization Open Top Box of Largest Volume from Square Piece of Open Top Box Problem The aim is to create an open box (without. In this activity, students will work on a famous math problem exploring the volume of an open box. Explanation on how to setup the equation of a open top box. What should x be to. We solve a common type of optimization problem where we are asked to find the dimensions. Open Top Box Problem.