How To Calculate The Absolute Pressure . Pabs = pg + patm where pabs is absolute pressure, pg is gauge pressure, and. P abs = p g + p atm where p abs is. Absolute pressure formula (p_as) is : The total pressure, or absolute pressure, is thus the sum of gauge pressure and atmospheric pressure: To calculate absolute pressure, we can use the following formula: The total pressure, or absolute pressure, is thus the sum of gauge pressure and atmospheric pressure: Our pressure calculator uses the straightforward pressure formula below: When any pressure is detected above the absolute zero of pressure, it is labelled as absolute pressure. Absolute pressure (p_abs) = gage pressure (p_gage) + atmospheric pressure (p_atm) the crucial point is determining both gage. P = f / a, where: \[p_{abs} = p_{g} + p_{atm} \label{14.11}\] where p abs is absolute pressure, p g is. The absolute pressure, or total pressure, is the sum of gauge pressure and atmospheric pressure:
from automationforum.co
To calculate absolute pressure, we can use the following formula: P abs = p g + p atm where p abs is. Our pressure calculator uses the straightforward pressure formula below: Absolute pressure formula (p_as) is : Pabs = pg + patm where pabs is absolute pressure, pg is gauge pressure, and. The total pressure, or absolute pressure, is thus the sum of gauge pressure and atmospheric pressure: The total pressure, or absolute pressure, is thus the sum of gauge pressure and atmospheric pressure: Absolute pressure (p_abs) = gage pressure (p_gage) + atmospheric pressure (p_atm) the crucial point is determining both gage. \[p_{abs} = p_{g} + p_{atm} \label{14.11}\] where p abs is absolute pressure, p g is. The absolute pressure, or total pressure, is the sum of gauge pressure and atmospheric pressure:
Basics of Pressure Scales Instrumentation and Control Engineering
How To Calculate The Absolute Pressure The total pressure, or absolute pressure, is thus the sum of gauge pressure and atmospheric pressure: The total pressure, or absolute pressure, is thus the sum of gauge pressure and atmospheric pressure: P abs = p g + p atm where p abs is. When any pressure is detected above the absolute zero of pressure, it is labelled as absolute pressure. The total pressure, or absolute pressure, is thus the sum of gauge pressure and atmospheric pressure: P = f / a, where: To calculate absolute pressure, we can use the following formula: Absolute pressure (p_abs) = gage pressure (p_gage) + atmospheric pressure (p_atm) the crucial point is determining both gage. The absolute pressure, or total pressure, is the sum of gauge pressure and atmospheric pressure: \[p_{abs} = p_{g} + p_{atm} \label{14.11}\] where p abs is absolute pressure, p g is. Pabs = pg + patm where pabs is absolute pressure, pg is gauge pressure, and. Our pressure calculator uses the straightforward pressure formula below: Absolute pressure formula (p_as) is :
From readingandwritingprojectcom.web.fc2.com
how to calculate absolute pressure How To Calculate The Absolute Pressure Absolute pressure formula (p_as) is : Our pressure calculator uses the straightforward pressure formula below: P = f / a, where: Pabs = pg + patm where pabs is absolute pressure, pg is gauge pressure, and. Absolute pressure (p_abs) = gage pressure (p_gage) + atmospheric pressure (p_atm) the crucial point is determining both gage. The total pressure, or absolute pressure,. How To Calculate The Absolute Pressure.
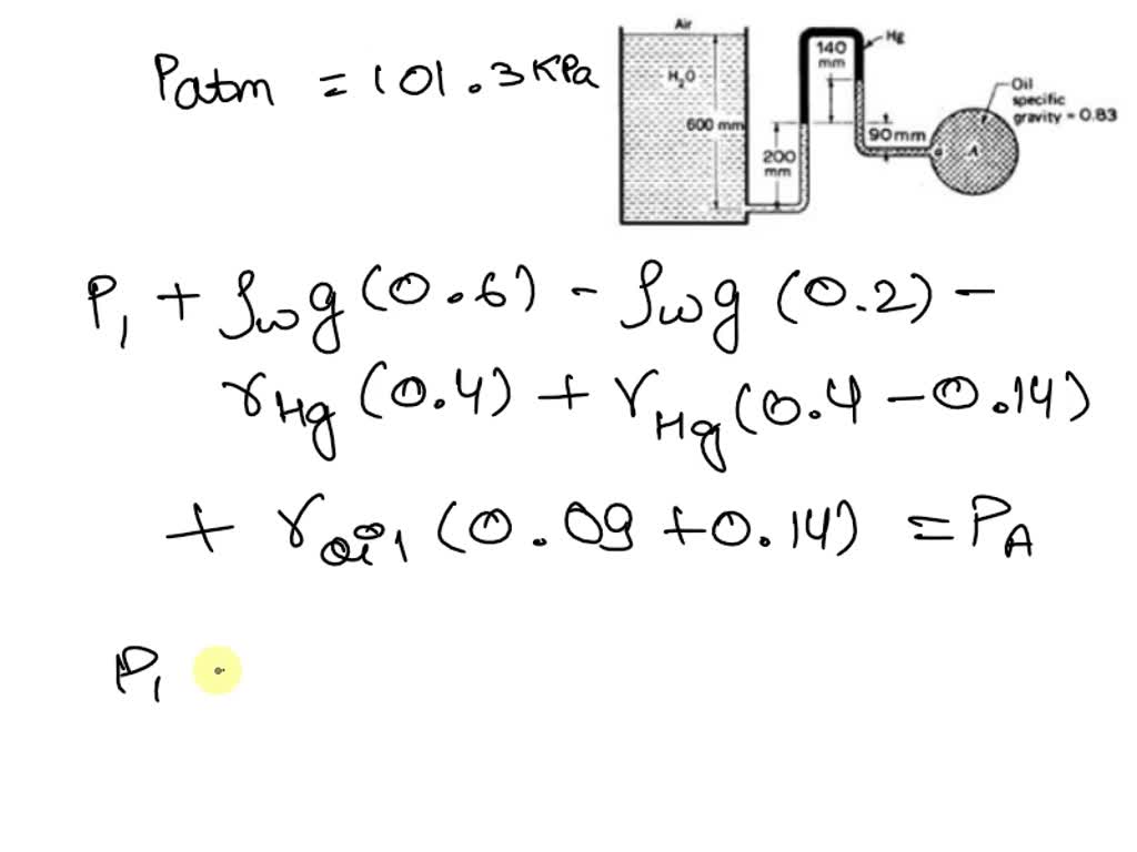
From www.chegg.com
Solved a) Find the absolute pressure at point A (in kPa How To Calculate The Absolute Pressure \[p_{abs} = p_{g} + p_{atm} \label{14.11}\] where p abs is absolute pressure, p g is. P abs = p g + p atm where p abs is. P = f / a, where: When any pressure is detected above the absolute zero of pressure, it is labelled as absolute pressure. The total pressure, or absolute pressure, is thus the sum. How To Calculate The Absolute Pressure.
From www.youtube.com
Absolute and Gauge Pressure of Air and Water with Manometer YouTube How To Calculate The Absolute Pressure P abs = p g + p atm where p abs is. The total pressure, or absolute pressure, is thus the sum of gauge pressure and atmospheric pressure: \[p_{abs} = p_{g} + p_{atm} \label{14.11}\] where p abs is absolute pressure, p g is. When any pressure is detected above the absolute zero of pressure, it is labelled as absolute pressure.. How To Calculate The Absolute Pressure.
From engineerexcel.com
Manometer Equation Calculate Pressure from a Manometer Reading How To Calculate The Absolute Pressure P abs = p g + p atm where p abs is. Absolute pressure formula (p_as) is : P = f / a, where: The absolute pressure, or total pressure, is the sum of gauge pressure and atmospheric pressure: When any pressure is detected above the absolute zero of pressure, it is labelled as absolute pressure. Our pressure calculator uses. How To Calculate The Absolute Pressure.
From www.thetechedvocate.org
How to Calculate Absolute Pressure A Comprehensive Guide The Tech How To Calculate The Absolute Pressure Pabs = pg + patm where pabs is absolute pressure, pg is gauge pressure, and. Our pressure calculator uses the straightforward pressure formula below: The absolute pressure, or total pressure, is the sum of gauge pressure and atmospheric pressure: To calculate absolute pressure, we can use the following formula: Absolute pressure (p_abs) = gage pressure (p_gage) + atmospheric pressure (p_atm). How To Calculate The Absolute Pressure.
From thirdspacelearning.com
Pressure Formula GCSE Maths Steps, Examples & Worksheet How To Calculate The Absolute Pressure Absolute pressure (p_abs) = gage pressure (p_gage) + atmospheric pressure (p_atm) the crucial point is determining both gage. P = f / a, where: Absolute pressure formula (p_as) is : Pabs = pg + patm where pabs is absolute pressure, pg is gauge pressure, and. The total pressure, or absolute pressure, is thus the sum of gauge pressure and atmospheric. How To Calculate The Absolute Pressure.
From www.youtube.com
3. Fluid Dynamics Gauge and Absolute Pressure YouTube How To Calculate The Absolute Pressure Absolute pressure (p_abs) = gage pressure (p_gage) + atmospheric pressure (p_atm) the crucial point is determining both gage. The total pressure, or absolute pressure, is thus the sum of gauge pressure and atmospheric pressure: Our pressure calculator uses the straightforward pressure formula below: \[p_{abs} = p_{g} + p_{atm} \label{14.11}\] where p abs is absolute pressure, p g is. P abs. How To Calculate The Absolute Pressure.
From www.answersarena.com
[Solved] 166 Calculate the absolute pressure, ( P_{1} How To Calculate The Absolute Pressure The absolute pressure, or total pressure, is the sum of gauge pressure and atmospheric pressure: Absolute pressure formula (p_as) is : Pabs = pg + patm where pabs is absolute pressure, pg is gauge pressure, and. \[p_{abs} = p_{g} + p_{atm} \label{14.11}\] where p abs is absolute pressure, p g is. To calculate absolute pressure, we can use the following. How To Calculate The Absolute Pressure.
From www.youtube.com
Gauge Pressure, Absolute Pressure and some solution tips YouTube How To Calculate The Absolute Pressure \[p_{abs} = p_{g} + p_{atm} \label{14.11}\] where p abs is absolute pressure, p g is. To calculate absolute pressure, we can use the following formula: The total pressure, or absolute pressure, is thus the sum of gauge pressure and atmospheric pressure: When any pressure is detected above the absolute zero of pressure, it is labelled as absolute pressure. P abs. How To Calculate The Absolute Pressure.
From www.chegg.com
Solved 3. a) Calculate the absolute pressure at an ocean How To Calculate The Absolute Pressure P abs = p g + p atm where p abs is. The total pressure, or absolute pressure, is thus the sum of gauge pressure and atmospheric pressure: To calculate absolute pressure, we can use the following formula: The total pressure, or absolute pressure, is thus the sum of gauge pressure and atmospheric pressure: P = f / a, where:. How To Calculate The Absolute Pressure.
From philschatz.com
Gauge Pressure, Absolute Pressure, and Pressure Measurement · Physics How To Calculate The Absolute Pressure Absolute pressure (p_abs) = gage pressure (p_gage) + atmospheric pressure (p_atm) the crucial point is determining both gage. When any pressure is detected above the absolute zero of pressure, it is labelled as absolute pressure. \[p_{abs} = p_{g} + p_{atm} \label{14.11}\] where p abs is absolute pressure, p g is. The total pressure, or absolute pressure, is thus the sum. How To Calculate The Absolute Pressure.
From phyicsform4elit.blogspot.com
Force And Pressure Physics Form 4 Force And Pressure How To Calculate The Absolute Pressure \[p_{abs} = p_{g} + p_{atm} \label{14.11}\] where p abs is absolute pressure, p g is. To calculate absolute pressure, we can use the following formula: Pabs = pg + patm where pabs is absolute pressure, pg is gauge pressure, and. Our pressure calculator uses the straightforward pressure formula below: Absolute pressure formula (p_as) is : Absolute pressure (p_abs) = gage. How To Calculate The Absolute Pressure.
From automationforum.co
Basics of Pressure Scales Instrumentation and Control Engineering How To Calculate The Absolute Pressure Pabs = pg + patm where pabs is absolute pressure, pg is gauge pressure, and. The total pressure, or absolute pressure, is thus the sum of gauge pressure and atmospheric pressure: When any pressure is detected above the absolute zero of pressure, it is labelled as absolute pressure. Absolute pressure (p_abs) = gage pressure (p_gage) + atmospheric pressure (p_atm) the. How To Calculate The Absolute Pressure.
From www.youtube.com
Introductory Fluid Mechanics L4 p4 Absolute, Gage, Vacuum Pressure How To Calculate The Absolute Pressure P abs = p g + p atm where p abs is. Absolute pressure formula (p_as) is : To calculate absolute pressure, we can use the following formula: The total pressure, or absolute pressure, is thus the sum of gauge pressure and atmospheric pressure: The total pressure, or absolute pressure, is thus the sum of gauge pressure and atmospheric pressure:. How To Calculate The Absolute Pressure.
From www.toppr.com
Calculate the absolute pressure at an ocean depth of 1 000 m . Assume How To Calculate The Absolute Pressure Our pressure calculator uses the straightforward pressure formula below: To calculate absolute pressure, we can use the following formula: \[p_{abs} = p_{g} + p_{atm} \label{14.11}\] where p abs is absolute pressure, p g is. When any pressure is detected above the absolute zero of pressure, it is labelled as absolute pressure. P = f / a, where: Absolute pressure (p_abs). How To Calculate The Absolute Pressure.
From readingandwritingprojectcom.web.fc2.com
how to calculate absolute pressure How To Calculate The Absolute Pressure Absolute pressure (p_abs) = gage pressure (p_gage) + atmospheric pressure (p_atm) the crucial point is determining both gage. The total pressure, or absolute pressure, is thus the sum of gauge pressure and atmospheric pressure: P abs = p g + p atm where p abs is. \[p_{abs} = p_{g} + p_{atm} \label{14.11}\] where p abs is absolute pressure, p g. How To Calculate The Absolute Pressure.
From www.chegg.com
Solved Question 9 20 pts Calculate the absolute pressure, How To Calculate The Absolute Pressure Absolute pressure (p_abs) = gage pressure (p_gage) + atmospheric pressure (p_atm) the crucial point is determining both gage. P = f / a, where: To calculate absolute pressure, we can use the following formula: The total pressure, or absolute pressure, is thus the sum of gauge pressure and atmospheric pressure: Our pressure calculator uses the straightforward pressure formula below: Pabs. How To Calculate The Absolute Pressure.
From www.youtube.com
Atmospheric Pressure, Gauge Pressure, Absolute Pressure and Units of How To Calculate The Absolute Pressure \[p_{abs} = p_{g} + p_{atm} \label{14.11}\] where p abs is absolute pressure, p g is. P = f / a, where: The absolute pressure, or total pressure, is the sum of gauge pressure and atmospheric pressure: The total pressure, or absolute pressure, is thus the sum of gauge pressure and atmospheric pressure: Pabs = pg + patm where pabs is. How To Calculate The Absolute Pressure.
From www.youtube.com
Calculate absolute pressure of a tank YouTube How To Calculate The Absolute Pressure P abs = p g + p atm where p abs is. Pabs = pg + patm where pabs is absolute pressure, pg is gauge pressure, and. The total pressure, or absolute pressure, is thus the sum of gauge pressure and atmospheric pressure: P = f / a, where: Our pressure calculator uses the straightforward pressure formula below: \[p_{abs} =. How To Calculate The Absolute Pressure.
From www.chegg.com
Solved Calculate the absolute pressure, P of the manometer How To Calculate The Absolute Pressure The total pressure, or absolute pressure, is thus the sum of gauge pressure and atmospheric pressure: Absolute pressure (p_abs) = gage pressure (p_gage) + atmospheric pressure (p_atm) the crucial point is determining both gage. Pabs = pg + patm where pabs is absolute pressure, pg is gauge pressure, and. Our pressure calculator uses the straightforward pressure formula below: Absolute pressure. How To Calculate The Absolute Pressure.
From techmarz.com
Online Absolute Pressure Calculator How to Calculate Absolute Pressure? How To Calculate The Absolute Pressure \[p_{abs} = p_{g} + p_{atm} \label{14.11}\] where p abs is absolute pressure, p g is. Pabs = pg + patm where pabs is absolute pressure, pg is gauge pressure, and. To calculate absolute pressure, we can use the following formula: The total pressure, or absolute pressure, is thus the sum of gauge pressure and atmospheric pressure: Absolute pressure (p_abs) =. How To Calculate The Absolute Pressure.
From www.chegg.com
Solved 3. a) Calculate the absolute pressure in the sea at a How To Calculate The Absolute Pressure When any pressure is detected above the absolute zero of pressure, it is labelled as absolute pressure. Our pressure calculator uses the straightforward pressure formula below: \[p_{abs} = p_{g} + p_{atm} \label{14.11}\] where p abs is absolute pressure, p g is. P = f / a, where: Pabs = pg + patm where pabs is absolute pressure, pg is gauge. How To Calculate The Absolute Pressure.
From www.chegg.com
Solved 6. Calculate the absolute pressure, P1 (in kPa), of How To Calculate The Absolute Pressure When any pressure is detected above the absolute zero of pressure, it is labelled as absolute pressure. Our pressure calculator uses the straightforward pressure formula below: Absolute pressure formula (p_as) is : Pabs = pg + patm where pabs is absolute pressure, pg is gauge pressure, and. Absolute pressure (p_abs) = gage pressure (p_gage) + atmospheric pressure (p_atm) the crucial. How To Calculate The Absolute Pressure.
From www.numerade.com
(a) Calculate the absolute pressure at the bottom of a freshwater lake How To Calculate The Absolute Pressure To calculate absolute pressure, we can use the following formula: The total pressure, or absolute pressure, is thus the sum of gauge pressure and atmospheric pressure: Absolute pressure (p_abs) = gage pressure (p_gage) + atmospheric pressure (p_atm) the crucial point is determining both gage. \[p_{abs} = p_{g} + p_{atm} \label{14.11}\] where p abs is absolute pressure, p g is. The. How To Calculate The Absolute Pressure.
From calculatorshub.net
Calculate Absolute Pressure with the Absolute Pressure Calculator How To Calculate The Absolute Pressure P = f / a, where: Absolute pressure formula (p_as) is : P abs = p g + p atm where p abs is. The total pressure, or absolute pressure, is thus the sum of gauge pressure and atmospheric pressure: Pabs = pg + patm where pabs is absolute pressure, pg is gauge pressure, and. \[p_{abs} = p_{g} + p_{atm}. How To Calculate The Absolute Pressure.
From www.chegg.com
Solved 4. a. Calculate the absolute Pressure of the gas How To Calculate The Absolute Pressure When any pressure is detected above the absolute zero of pressure, it is labelled as absolute pressure. The total pressure, or absolute pressure, is thus the sum of gauge pressure and atmospheric pressure: To calculate absolute pressure, we can use the following formula: The absolute pressure, or total pressure, is the sum of gauge pressure and atmospheric pressure: P abs. How To Calculate The Absolute Pressure.
From www.youtube.com
Absolute Pressure YouTube How To Calculate The Absolute Pressure P abs = p g + p atm where p abs is. The absolute pressure, or total pressure, is the sum of gauge pressure and atmospheric pressure: When any pressure is detected above the absolute zero of pressure, it is labelled as absolute pressure. To calculate absolute pressure, we can use the following formula: Our pressure calculator uses the straightforward. How To Calculate The Absolute Pressure.
From www.numerade.com
SOLVED For the setup shown in Figure 6, calculate the absolute How To Calculate The Absolute Pressure Absolute pressure formula (p_as) is : Pabs = pg + patm where pabs is absolute pressure, pg is gauge pressure, and. The absolute pressure, or total pressure, is the sum of gauge pressure and atmospheric pressure: P = f / a, where: The total pressure, or absolute pressure, is thus the sum of gauge pressure and atmospheric pressure: To calculate. How To Calculate The Absolute Pressure.
From physicscalc.com
Absolute Pressure Calculator How To Calculate The Absolute Pressure When any pressure is detected above the absolute zero of pressure, it is labelled as absolute pressure. The total pressure, or absolute pressure, is thus the sum of gauge pressure and atmospheric pressure: To calculate absolute pressure, we can use the following formula: Our pressure calculator uses the straightforward pressure formula below: Pabs = pg + patm where pabs is. How To Calculate The Absolute Pressure.
From www.chegg.com
Solved Calculate the absolute pressure, P1, of the manometer How To Calculate The Absolute Pressure Absolute pressure formula (p_as) is : Absolute pressure (p_abs) = gage pressure (p_gage) + atmospheric pressure (p_atm) the crucial point is determining both gage. P abs = p g + p atm where p abs is. The absolute pressure, or total pressure, is the sum of gauge pressure and atmospheric pressure: The total pressure, or absolute pressure, is thus the. How To Calculate The Absolute Pressure.
From www.youtube.com
Absolute pressure, Gauge pressure, Atmospheric pressure Explained How To Calculate The Absolute Pressure Pabs = pg + patm where pabs is absolute pressure, pg is gauge pressure, and. To calculate absolute pressure, we can use the following formula: P abs = p g + p atm where p abs is. The total pressure, or absolute pressure, is thus the sum of gauge pressure and atmospheric pressure: The total pressure, or absolute pressure, is. How To Calculate The Absolute Pressure.
From www.youtube.com
Measuring Absolute and Gauge Pressure of Fluids Using U Tube Manometers How To Calculate The Absolute Pressure When any pressure is detected above the absolute zero of pressure, it is labelled as absolute pressure. The total pressure, or absolute pressure, is thus the sum of gauge pressure and atmospheric pressure: The total pressure, or absolute pressure, is thus the sum of gauge pressure and atmospheric pressure: Our pressure calculator uses the straightforward pressure formula below: P =. How To Calculate The Absolute Pressure.
From quizlet.com
Calculate the absolute pressure p1 of the manometer shown in Quizlet How To Calculate The Absolute Pressure \[p_{abs} = p_{g} + p_{atm} \label{14.11}\] where p abs is absolute pressure, p g is. To calculate absolute pressure, we can use the following formula: Absolute pressure (p_abs) = gage pressure (p_gage) + atmospheric pressure (p_atm) the crucial point is determining both gage. Our pressure calculator uses the straightforward pressure formula below: The total pressure, or absolute pressure, is thus. How To Calculate The Absolute Pressure.
From www.chegg.com
Solved Calculate the absolute pressure, P_1, of the How To Calculate The Absolute Pressure P = f / a, where: When any pressure is detected above the absolute zero of pressure, it is labelled as absolute pressure. The total pressure, or absolute pressure, is thus the sum of gauge pressure and atmospheric pressure: Absolute pressure (p_abs) = gage pressure (p_gage) + atmospheric pressure (p_atm) the crucial point is determining both gage. Absolute pressure formula. How To Calculate The Absolute Pressure.
From www.chegg.com
Solved Calculate the absolute pressure P1 of the manometer How To Calculate The Absolute Pressure The total pressure, or absolute pressure, is thus the sum of gauge pressure and atmospheric pressure: The total pressure, or absolute pressure, is thus the sum of gauge pressure and atmospheric pressure: Absolute pressure (p_abs) = gage pressure (p_gage) + atmospheric pressure (p_atm) the crucial point is determining both gage. Pabs = pg + patm where pabs is absolute pressure,. How To Calculate The Absolute Pressure.