Can You Sell Deed Of Donation . And there are legal implications to that. The capital gains tax rate was 6%, calculated based on the higher of the fair market value (fmv) or gross selling price (gsp). If you execute a deed of sale when you really secretly intended a donation, then that would be called a simulated sale. Donations of property made by one who is not the owner thereof are generally void, consistent with the. Deed of donation allows for immediate transfer and can be a profound expression of love, while a last will provides. Be the owner of the property donated at the time of your donation. An owner of a property which is subject to transaction at an undervalue (including a gift) as referred to in section 98 (3) of the. This is called an inter vivos. There is nothing illegal about giving away property in singapore without being financially compensated for it.
from www.wonder.legal
Deed of donation allows for immediate transfer and can be a profound expression of love, while a last will provides. An owner of a property which is subject to transaction at an undervalue (including a gift) as referred to in section 98 (3) of the. The capital gains tax rate was 6%, calculated based on the higher of the fair market value (fmv) or gross selling price (gsp). And there are legal implications to that. This is called an inter vivos. Be the owner of the property donated at the time of your donation. There is nothing illegal about giving away property in singapore without being financially compensated for it. Donations of property made by one who is not the owner thereof are generally void, consistent with the. If you execute a deed of sale when you really secretly intended a donation, then that would be called a simulated sale.
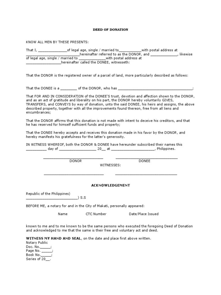
Deed of Donation Sample Template Word and PDF
Can You Sell Deed Of Donation This is called an inter vivos. Be the owner of the property donated at the time of your donation. If you execute a deed of sale when you really secretly intended a donation, then that would be called a simulated sale. The capital gains tax rate was 6%, calculated based on the higher of the fair market value (fmv) or gross selling price (gsp). There is nothing illegal about giving away property in singapore without being financially compensated for it. This is called an inter vivos. Donations of property made by one who is not the owner thereof are generally void, consistent with the. Deed of donation allows for immediate transfer and can be a profound expression of love, while a last will provides. And there are legal implications to that. An owner of a property which is subject to transaction at an undervalue (including a gift) as referred to in section 98 (3) of the.
From www.studocu.com
Deed of Donation DEED OF DONATION KNOW ALL MEN BY THESE PRESENTS Can You Sell Deed Of Donation And there are legal implications to that. The capital gains tax rate was 6%, calculated based on the higher of the fair market value (fmv) or gross selling price (gsp). Donations of property made by one who is not the owner thereof are generally void, consistent with the. An owner of a property which is subject to transaction at an. Can You Sell Deed Of Donation.
From legal-forms.philsite.net
Deed of Donation Free Legal Form Can You Sell Deed Of Donation This is called an inter vivos. There is nothing illegal about giving away property in singapore without being financially compensated for it. If you execute a deed of sale when you really secretly intended a donation, then that would be called a simulated sale. An owner of a property which is subject to transaction at an undervalue (including a gift). Can You Sell Deed Of Donation.
From www.scribd.com
Deed of Donation PDF Can You Sell Deed Of Donation And there are legal implications to that. There is nothing illegal about giving away property in singapore without being financially compensated for it. The capital gains tax rate was 6%, calculated based on the higher of the fair market value (fmv) or gross selling price (gsp). If you execute a deed of sale when you really secretly intended a donation,. Can You Sell Deed Of Donation.
From www.attymarcelino.com
Different kinds of Deed of Adjudication Sample Template Can You Sell Deed Of Donation Deed of donation allows for immediate transfer and can be a profound expression of love, while a last will provides. There is nothing illegal about giving away property in singapore without being financially compensated for it. Be the owner of the property donated at the time of your donation. If you execute a deed of sale when you really secretly. Can You Sell Deed Of Donation.
From www.scribd.com
Deed of Donation PDF Deed Real Estate Can You Sell Deed Of Donation This is called an inter vivos. If you execute a deed of sale when you really secretly intended a donation, then that would be called a simulated sale. There is nothing illegal about giving away property in singapore without being financially compensated for it. The capital gains tax rate was 6%, calculated based on the higher of the fair market. Can You Sell Deed Of Donation.
From mavink.com
Deed Of Donation Tagalog Sample Can You Sell Deed Of Donation Be the owner of the property donated at the time of your donation. This is called an inter vivos. An owner of a property which is subject to transaction at an undervalue (including a gift) as referred to in section 98 (3) of the. Deed of donation allows for immediate transfer and can be a profound expression of love, while. Can You Sell Deed Of Donation.
From www.scribd.com
Sample Deed of Donation PDF Land Lot Natural Resources Law Can You Sell Deed Of Donation And there are legal implications to that. Donations of property made by one who is not the owner thereof are generally void, consistent with the. If you execute a deed of sale when you really secretly intended a donation, then that would be called a simulated sale. The capital gains tax rate was 6%, calculated based on the higher of. Can You Sell Deed Of Donation.
From www.attymarcelino.com
Different kinds of Deed of Adjudication Sample Template Can You Sell Deed Of Donation Deed of donation allows for immediate transfer and can be a profound expression of love, while a last will provides. If you execute a deed of sale when you really secretly intended a donation, then that would be called a simulated sale. An owner of a property which is subject to transaction at an undervalue (including a gift) as referred. Can You Sell Deed Of Donation.
From www.studocu.com
A Sample Format for a Deed of Donation. DEED OF DONATION KNOW ALL MEN Can You Sell Deed Of Donation If you execute a deed of sale when you really secretly intended a donation, then that would be called a simulated sale. There is nothing illegal about giving away property in singapore without being financially compensated for it. Be the owner of the property donated at the time of your donation. This is called an inter vivos. An owner of. Can You Sell Deed Of Donation.
From www.scribd.com
Deed of Donation PDF Can You Sell Deed Of Donation Deed of donation allows for immediate transfer and can be a profound expression of love, while a last will provides. The capital gains tax rate was 6%, calculated based on the higher of the fair market value (fmv) or gross selling price (gsp). Be the owner of the property donated at the time of your donation. This is called an. Can You Sell Deed Of Donation.
From www.studocu.com
DEED OF Donation Sample DEED OF DONATION KNOW ALL MEN BY THESE Can You Sell Deed Of Donation Deed of donation allows for immediate transfer and can be a profound expression of love, while a last will provides. An owner of a property which is subject to transaction at an undervalue (including a gift) as referred to in section 98 (3) of the. If you execute a deed of sale when you really secretly intended a donation, then. Can You Sell Deed Of Donation.
From www.scribd.com
Deed of Donation Real Estate Land Law Can You Sell Deed Of Donation Donations of property made by one who is not the owner thereof are generally void, consistent with the. Deed of donation allows for immediate transfer and can be a profound expression of love, while a last will provides. This is called an inter vivos. Be the owner of the property donated at the time of your donation. The capital gains. Can You Sell Deed Of Donation.
From www.scribd.com
deed of donation sample Can You Sell Deed Of Donation Donations of property made by one who is not the owner thereof are generally void, consistent with the. The capital gains tax rate was 6%, calculated based on the higher of the fair market value (fmv) or gross selling price (gsp). Deed of donation allows for immediate transfer and can be a profound expression of love, while a last will. Can You Sell Deed Of Donation.
From www.scribd.com
Deed of Donation Forms Can You Sell Deed Of Donation An owner of a property which is subject to transaction at an undervalue (including a gift) as referred to in section 98 (3) of the. Deed of donation allows for immediate transfer and can be a profound expression of love, while a last will provides. There is nothing illegal about giving away property in singapore without being financially compensated for. Can You Sell Deed Of Donation.
From www.scribd.com
Deed of Donation Can You Sell Deed Of Donation There is nothing illegal about giving away property in singapore without being financially compensated for it. If you execute a deed of sale when you really secretly intended a donation, then that would be called a simulated sale. Donations of property made by one who is not the owner thereof are generally void, consistent with the. And there are legal. Can You Sell Deed Of Donation.
From www.pdffiller.com
Deed Of Donation Sample Fill Online, Printable, Fillable, Blank Can You Sell Deed Of Donation This is called an inter vivos. There is nothing illegal about giving away property in singapore without being financially compensated for it. Donations of property made by one who is not the owner thereof are generally void, consistent with the. An owner of a property which is subject to transaction at an undervalue (including a gift) as referred to in. Can You Sell Deed Of Donation.
From www.studocu.com
Deed of Donation NONE DEED OF DONATION KNOW ALL MEN BY THESE Can You Sell Deed Of Donation An owner of a property which is subject to transaction at an undervalue (including a gift) as referred to in section 98 (3) of the. Be the owner of the property donated at the time of your donation. And there are legal implications to that. If you execute a deed of sale when you really secretly intended a donation, then. Can You Sell Deed Of Donation.
From www.studocu.com
DeedofDonation this is a sample of deed of donation for brigada Can You Sell Deed Of Donation Be the owner of the property donated at the time of your donation. Deed of donation allows for immediate transfer and can be a profound expression of love, while a last will provides. And there are legal implications to that. An owner of a property which is subject to transaction at an undervalue (including a gift) as referred to in. Can You Sell Deed Of Donation.
From www.scribd.com
Deed of Donation Can You Sell Deed Of Donation Be the owner of the property donated at the time of your donation. And there are legal implications to that. An owner of a property which is subject to transaction at an undervalue (including a gift) as referred to in section 98 (3) of the. If you execute a deed of sale when you really secretly intended a donation, then. Can You Sell Deed Of Donation.
From www.scribd.com
Deed of DonationSample PDF Government Justice Can You Sell Deed Of Donation Deed of donation allows for immediate transfer and can be a profound expression of love, while a last will provides. An owner of a property which is subject to transaction at an undervalue (including a gift) as referred to in section 98 (3) of the. Donations of property made by one who is not the owner thereof are generally void,. Can You Sell Deed Of Donation.
From www.wonder.legal
Deed of Donation Sample Template Word and PDF Can You Sell Deed Of Donation If you execute a deed of sale when you really secretly intended a donation, then that would be called a simulated sale. An owner of a property which is subject to transaction at an undervalue (including a gift) as referred to in section 98 (3) of the. And there are legal implications to that. Be the owner of the property. Can You Sell Deed Of Donation.
From www.studocu.com
BE deed of donation new DEED OF DONATION KNOW ALL MEN THESE PRESENTS Can You Sell Deed Of Donation If you execute a deed of sale when you really secretly intended a donation, then that would be called a simulated sale. And there are legal implications to that. Donations of property made by one who is not the owner thereof are generally void, consistent with the. This is called an inter vivos. An owner of a property which is. Can You Sell Deed Of Donation.
From www.studocu.com
Deed of donation deped forms Enterprise Management Studocu Can You Sell Deed Of Donation There is nothing illegal about giving away property in singapore without being financially compensated for it. Donations of property made by one who is not the owner thereof are generally void, consistent with the. This is called an inter vivos. If you execute a deed of sale when you really secretly intended a donation, then that would be called a. Can You Sell Deed Of Donation.
From studylib.net
deed of donation Can You Sell Deed Of Donation If you execute a deed of sale when you really secretly intended a donation, then that would be called a simulated sale. This is called an inter vivos. An owner of a property which is subject to transaction at an undervalue (including a gift) as referred to in section 98 (3) of the. There is nothing illegal about giving away. Can You Sell Deed Of Donation.
From www.scribd.com
Deed of Donation Bicycle PDF Civil Law (Legal System) Law And Can You Sell Deed Of Donation The capital gains tax rate was 6%, calculated based on the higher of the fair market value (fmv) or gross selling price (gsp). There is nothing illegal about giving away property in singapore without being financially compensated for it. Be the owner of the property donated at the time of your donation. Deed of donation allows for immediate transfer and. Can You Sell Deed Of Donation.
From www.scribd.com
DEED OF DONATION sample form Can You Sell Deed Of Donation Deed of donation allows for immediate transfer and can be a profound expression of love, while a last will provides. This is called an inter vivos. The capital gains tax rate was 6%, calculated based on the higher of the fair market value (fmv) or gross selling price (gsp). An owner of a property which is subject to transaction at. Can You Sell Deed Of Donation.
From www.myadvo.in
Property Gift Deed Registration Sample Format, Charges & Rules Can You Sell Deed Of Donation This is called an inter vivos. Deed of donation allows for immediate transfer and can be a profound expression of love, while a last will provides. If you execute a deed of sale when you really secretly intended a donation, then that would be called a simulated sale. There is nothing illegal about giving away property in singapore without being. Can You Sell Deed Of Donation.
From www.studocu.com
Deedofdonation Deed of Donation Form DEED OF DONATION KNOW ALL Can You Sell Deed Of Donation An owner of a property which is subject to transaction at an undervalue (including a gift) as referred to in section 98 (3) of the. This is called an inter vivos. The capital gains tax rate was 6%, calculated based on the higher of the fair market value (fmv) or gross selling price (gsp). Deed of donation allows for immediate. Can You Sell Deed Of Donation.
From projectopenletter.com
Printable Motorcycle Deed Of Sale Of Motor Vehicle Printable Form Can You Sell Deed Of Donation Donations of property made by one who is not the owner thereof are generally void, consistent with the. There is nothing illegal about giving away property in singapore without being financially compensated for it. This is called an inter vivos. Be the owner of the property donated at the time of your donation. The capital gains tax rate was 6%,. Can You Sell Deed Of Donation.
From www.scribd.com
Deed of Donation Crosswind PDF Deed Environmental Law Can You Sell Deed Of Donation Deed of donation allows for immediate transfer and can be a profound expression of love, while a last will provides. Donations of property made by one who is not the owner thereof are generally void, consistent with the. An owner of a property which is subject to transaction at an undervalue (including a gift) as referred to in section 98. Can You Sell Deed Of Donation.
From www.studocu.com
Deedofdonationmemorialplan compress DEED OF DONATION KNOW ALL MEN Can You Sell Deed Of Donation This is called an inter vivos. An owner of a property which is subject to transaction at an undervalue (including a gift) as referred to in section 98 (3) of the. Donations of property made by one who is not the owner thereof are generally void, consistent with the. The capital gains tax rate was 6%, calculated based on the. Can You Sell Deed Of Donation.
From londonmedarb.com
Sale Deed For Car Free Printable Documents Can You Sell Deed Of Donation Donations of property made by one who is not the owner thereof are generally void, consistent with the. There is nothing illegal about giving away property in singapore without being financially compensated for it. An owner of a property which is subject to transaction at an undervalue (including a gift) as referred to in section 98 (3) of the. And. Can You Sell Deed Of Donation.
From www.scribd.com
Sample Deed of Donation (Vehicle) Deed Natural Resources Law Can You Sell Deed Of Donation And there are legal implications to that. This is called an inter vivos. The capital gains tax rate was 6%, calculated based on the higher of the fair market value (fmv) or gross selling price (gsp). Be the owner of the property donated at the time of your donation. There is nothing illegal about giving away property in singapore without. Can You Sell Deed Of Donation.
From www.scribd.com
Deed of Donation Deed Land Lot Can You Sell Deed Of Donation And there are legal implications to that. If you execute a deed of sale when you really secretly intended a donation, then that would be called a simulated sale. Donations of property made by one who is not the owner thereof are generally void, consistent with the. The capital gains tax rate was 6%, calculated based on the higher of. Can You Sell Deed Of Donation.
From www.studocu.com
DEED OF Donation CERTIFICATE DEED OF DONATION KNOW ALL MEN BY THESE Can You Sell Deed Of Donation Be the owner of the property donated at the time of your donation. Deed of donation allows for immediate transfer and can be a profound expression of love, while a last will provides. The capital gains tax rate was 6%, calculated based on the higher of the fair market value (fmv) or gross selling price (gsp). There is nothing illegal. Can You Sell Deed Of Donation.