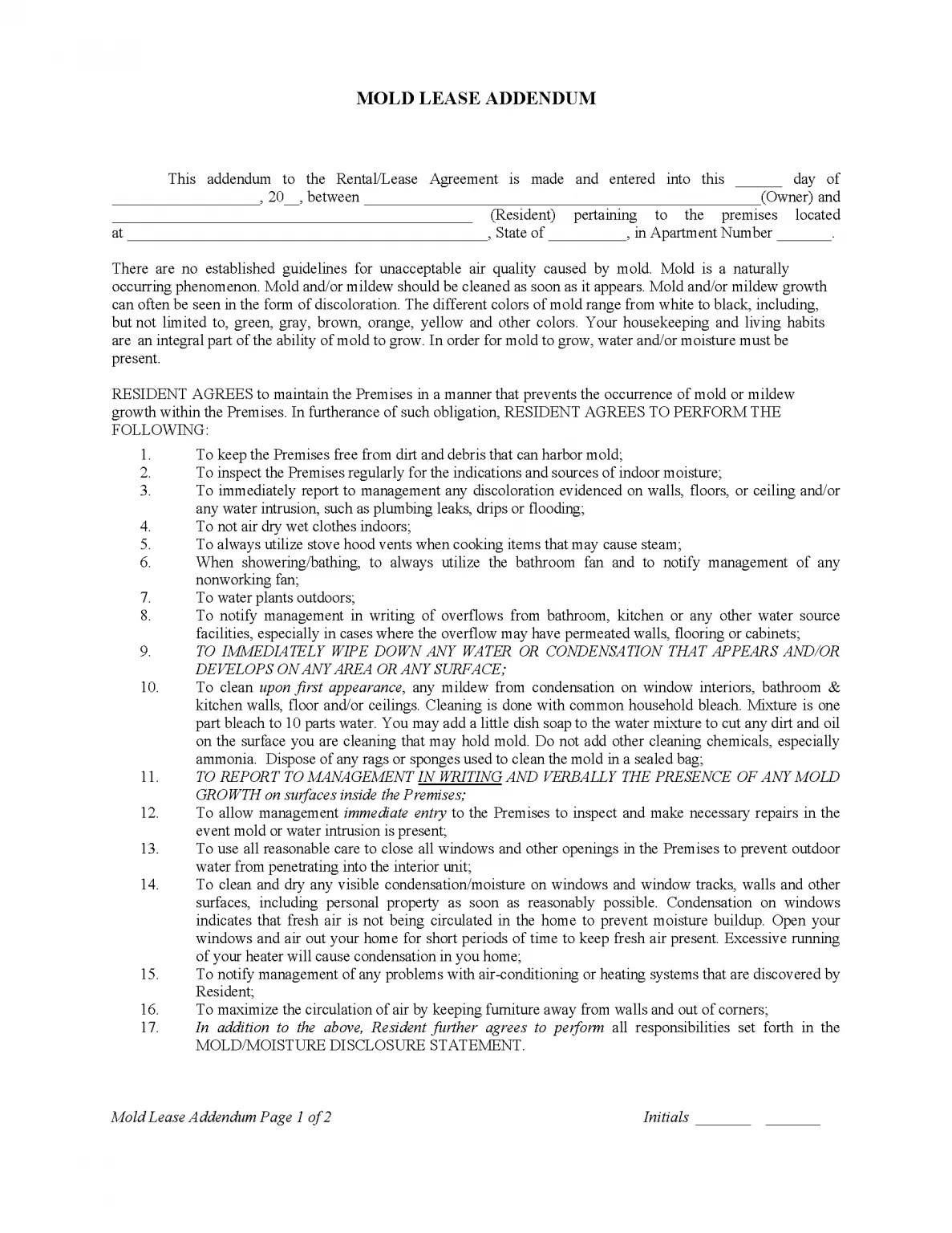
Rental Agreement Mold Disclosure . The tenant agrees to continually monitor for the presence of mold and abide by all requirements of this addendum for the duration of the tenancy. Addendum to rental/lease agreement (mold/moisture disclosure statement) there are no established guidelines for. In order to reduce the probability of mold, mildew or other fungal growth, protect your health and protect your personal property and the dwelling unit, you,. Explore a comprehensive guide on mold laws in montreal, detailing tenant and landlord obligations, mold basics, and effective remediation strategies. A mold lease addendum is a document attached to a lease agreement that outlines the tenant’s responsibilities to prevent mold growth in the rental property. A mold lease addendum is a form that notifies the tenant of their responsibility pertaining to the prevention of mold in the leased property.
from esign.com
Addendum to rental/lease agreement (mold/moisture disclosure statement) there are no established guidelines for. In order to reduce the probability of mold, mildew or other fungal growth, protect your health and protect your personal property and the dwelling unit, you,. The tenant agrees to continually monitor for the presence of mold and abide by all requirements of this addendum for the duration of the tenancy. A mold lease addendum is a document attached to a lease agreement that outlines the tenant’s responsibilities to prevent mold growth in the rental property. Explore a comprehensive guide on mold laws in montreal, detailing tenant and landlord obligations, mold basics, and effective remediation strategies. A mold lease addendum is a form that notifies the tenant of their responsibility pertaining to the prevention of mold in the leased property.
Free Mold Lease Addendum Form (2) PDF Word
Rental Agreement Mold Disclosure A mold lease addendum is a form that notifies the tenant of their responsibility pertaining to the prevention of mold in the leased property. The tenant agrees to continually monitor for the presence of mold and abide by all requirements of this addendum for the duration of the tenancy. Addendum to rental/lease agreement (mold/moisture disclosure statement) there are no established guidelines for. Explore a comprehensive guide on mold laws in montreal, detailing tenant and landlord obligations, mold basics, and effective remediation strategies. In order to reduce the probability of mold, mildew or other fungal growth, protect your health and protect your personal property and the dwelling unit, you,. A mold lease addendum is a form that notifies the tenant of their responsibility pertaining to the prevention of mold in the leased property. A mold lease addendum is a document attached to a lease agreement that outlines the tenant’s responsibilities to prevent mold growth in the rental property.
From www.pdffiller.com
Fillable Online MOLD ADDENDUM TO LEASE Printable Lease Agreement Fax Rental Agreement Mold Disclosure Addendum to rental/lease agreement (mold/moisture disclosure statement) there are no established guidelines for. A mold lease addendum is a document attached to a lease agreement that outlines the tenant’s responsibilities to prevent mold growth in the rental property. In order to reduce the probability of mold, mildew or other fungal growth, protect your health and protect your personal property and. Rental Agreement Mold Disclosure.
From www.uslegalforms.com
Mold Disclosure Florida 20202021 Fill and Sign Printable Template Rental Agreement Mold Disclosure The tenant agrees to continually monitor for the presence of mold and abide by all requirements of this addendum for the duration of the tenancy. In order to reduce the probability of mold, mildew or other fungal growth, protect your health and protect your personal property and the dwelling unit, you,. Addendum to rental/lease agreement (mold/moisture disclosure statement) there are. Rental Agreement Mold Disclosure.
From www.signnow.com
Mold Disclosure California 20022024 Form Fill Out and Sign Printable Rental Agreement Mold Disclosure Explore a comprehensive guide on mold laws in montreal, detailing tenant and landlord obligations, mold basics, and effective remediation strategies. In order to reduce the probability of mold, mildew or other fungal growth, protect your health and protect your personal property and the dwelling unit, you,. Addendum to rental/lease agreement (mold/moisture disclosure statement) there are no established guidelines for. A. Rental Agreement Mold Disclosure.
From www.american-apartment-owners-association.org
Mold Addendum AAOA Rental Agreement Mold Disclosure Addendum to rental/lease agreement (mold/moisture disclosure statement) there are no established guidelines for. The tenant agrees to continually monitor for the presence of mold and abide by all requirements of this addendum for the duration of the tenancy. A mold lease addendum is a document attached to a lease agreement that outlines the tenant’s responsibilities to prevent mold growth in. Rental Agreement Mold Disclosure.
From www.doctemplates.net
Basic Residential Lease Agreement Templates Word Rental Agreement Mold Disclosure Explore a comprehensive guide on mold laws in montreal, detailing tenant and landlord obligations, mold basics, and effective remediation strategies. Addendum to rental/lease agreement (mold/moisture disclosure statement) there are no established guidelines for. A mold lease addendum is a document attached to a lease agreement that outlines the tenant’s responsibilities to prevent mold growth in the rental property. In order. Rental Agreement Mold Disclosure.
From www.templateroller.com
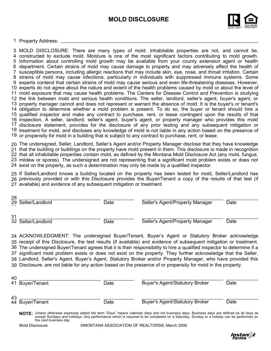
Mold Disclosure Form Montana Association of Realtors Fill Out, Sign Rental Agreement Mold Disclosure In order to reduce the probability of mold, mildew or other fungal growth, protect your health and protect your personal property and the dwelling unit, you,. Explore a comprehensive guide on mold laws in montreal, detailing tenant and landlord obligations, mold basics, and effective remediation strategies. A mold lease addendum is a form that notifies the tenant of their responsibility. Rental Agreement Mold Disclosure.
From www.uslegalforms.com
Real Estate Mold Disclosure Form With Rental Agreement US Legal Forms Rental Agreement Mold Disclosure A mold lease addendum is a document attached to a lease agreement that outlines the tenant’s responsibilities to prevent mold growth in the rental property. A mold lease addendum is a form that notifies the tenant of their responsibility pertaining to the prevention of mold in the leased property. Explore a comprehensive guide on mold laws in montreal, detailing tenant. Rental Agreement Mold Disclosure.
From eforms.com
Free Mold Lease Addendum Template PDF Word eForms Rental Agreement Mold Disclosure In order to reduce the probability of mold, mildew or other fungal growth, protect your health and protect your personal property and the dwelling unit, you,. Explore a comprehensive guide on mold laws in montreal, detailing tenant and landlord obligations, mold basics, and effective remediation strategies. A mold lease addendum is a document attached to a lease agreement that outlines. Rental Agreement Mold Disclosure.
From www.pinterest.ca
MOLD DISCLOSURE/WAIVER PDF Rental agreement templates, Being a Rental Agreement Mold Disclosure Addendum to rental/lease agreement (mold/moisture disclosure statement) there are no established guidelines for. A mold lease addendum is a document attached to a lease agreement that outlines the tenant’s responsibilities to prevent mold growth in the rental property. Explore a comprehensive guide on mold laws in montreal, detailing tenant and landlord obligations, mold basics, and effective remediation strategies. A mold. Rental Agreement Mold Disclosure.
From legaltemplates.net
Free Lease Agreement Addendum Template PDF & Word Rental Agreement Mold Disclosure Addendum to rental/lease agreement (mold/moisture disclosure statement) there are no established guidelines for. Explore a comprehensive guide on mold laws in montreal, detailing tenant and landlord obligations, mold basics, and effective remediation strategies. The tenant agrees to continually monitor for the presence of mold and abide by all requirements of this addendum for the duration of the tenancy. In order. Rental Agreement Mold Disclosure.
From printableleaseagreement.org
Download Free Mold Addendum to Lease Printable Lease Agreement Rental Agreement Mold Disclosure A mold lease addendum is a document attached to a lease agreement that outlines the tenant’s responsibilities to prevent mold growth in the rental property. The tenant agrees to continually monitor for the presence of mold and abide by all requirements of this addendum for the duration of the tenancy. Explore a comprehensive guide on mold laws in montreal, detailing. Rental Agreement Mold Disclosure.
From moldhelpforyou.com
Mold In A Rental? Landlord Won't Fix The Mold Problem? A Guide To Mold Rental Agreement Mold Disclosure A mold lease addendum is a form that notifies the tenant of their responsibility pertaining to the prevention of mold in the leased property. In order to reduce the probability of mold, mildew or other fungal growth, protect your health and protect your personal property and the dwelling unit, you,. Addendum to rental/lease agreement (mold/moisture disclosure statement) there are no. Rental Agreement Mold Disclosure.
From esign.com
Free Mold Lease Addendum Form (2) PDF Word Rental Agreement Mold Disclosure The tenant agrees to continually monitor for the presence of mold and abide by all requirements of this addendum for the duration of the tenancy. Addendum to rental/lease agreement (mold/moisture disclosure statement) there are no established guidelines for. A mold lease addendum is a form that notifies the tenant of their responsibility pertaining to the prevention of mold in the. Rental Agreement Mold Disclosure.
From leaseagreements.com
Free Mold Lease Addendum Template PDF Rental Agreement Mold Disclosure A mold lease addendum is a form that notifies the tenant of their responsibility pertaining to the prevention of mold in the leased property. Addendum to rental/lease agreement (mold/moisture disclosure statement) there are no established guidelines for. In order to reduce the probability of mold, mildew or other fungal growth, protect your health and protect your personal property and the. Rental Agreement Mold Disclosure.
From www.wordtemplatesonline.net
Free Washington Lease Agreement Templates (PDF, Word) Rental Agreement Mold Disclosure Explore a comprehensive guide on mold laws in montreal, detailing tenant and landlord obligations, mold basics, and effective remediation strategies. A mold lease addendum is a document attached to a lease agreement that outlines the tenant’s responsibilities to prevent mold growth in the rental property. The tenant agrees to continually monitor for the presence of mold and abide by all. Rental Agreement Mold Disclosure.
From www.pdffiller.com
Fillable Online DISCLOSURE OF MOLD LEASE AGREEMENT Fax Email Print Rental Agreement Mold Disclosure In order to reduce the probability of mold, mildew or other fungal growth, protect your health and protect your personal property and the dwelling unit, you,. A mold lease addendum is a form that notifies the tenant of their responsibility pertaining to the prevention of mold in the leased property. Addendum to rental/lease agreement (mold/moisture disclosure statement) there are no. Rental Agreement Mold Disclosure.
From www.printablerealestateforms.com
Lease Addendum Form Free Mold Addendum Form (PRINT) Rental Agreement Mold Disclosure The tenant agrees to continually monitor for the presence of mold and abide by all requirements of this addendum for the duration of the tenancy. Explore a comprehensive guide on mold laws in montreal, detailing tenant and landlord obligations, mold basics, and effective remediation strategies. In order to reduce the probability of mold, mildew or other fungal growth, protect your. Rental Agreement Mold Disclosure.
From www.sampleforms.com
FREE 10+ Sample Real Estate Disclosure Forms in PDF MS Word Rental Agreement Mold Disclosure The tenant agrees to continually monitor for the presence of mold and abide by all requirements of this addendum for the duration of the tenancy. Addendum to rental/lease agreement (mold/moisture disclosure statement) there are no established guidelines for. Explore a comprehensive guide on mold laws in montreal, detailing tenant and landlord obligations, mold basics, and effective remediation strategies. A mold. Rental Agreement Mold Disclosure.
From www.doctemplates.net
Basic Residential Lease Agreement Templates Word Rental Agreement Mold Disclosure Explore a comprehensive guide on mold laws in montreal, detailing tenant and landlord obligations, mold basics, and effective remediation strategies. A mold lease addendum is a form that notifies the tenant of their responsibility pertaining to the prevention of mold in the leased property. The tenant agrees to continually monitor for the presence of mold and abide by all requirements. Rental Agreement Mold Disclosure.
From www.printablerealestateforms.com
Lease Addendum Form Free Mold Addendum Form (PRINT) Rental Agreement Mold Disclosure A mold lease addendum is a document attached to a lease agreement that outlines the tenant’s responsibilities to prevent mold growth in the rental property. In order to reduce the probability of mold, mildew or other fungal growth, protect your health and protect your personal property and the dwelling unit, you,. Explore a comprehensive guide on mold laws in montreal,. Rental Agreement Mold Disclosure.
From rentallease.com
Free Montana Standard Residential Lease Agreement Template PDF Word Rental Agreement Mold Disclosure A mold lease addendum is a form that notifies the tenant of their responsibility pertaining to the prevention of mold in the leased property. In order to reduce the probability of mold, mildew or other fungal growth, protect your health and protect your personal property and the dwelling unit, you,. A mold lease addendum is a document attached to a. Rental Agreement Mold Disclosure.
From eforms.com
Free Montana Association of Realtors Residential Lease Agreement PDF Rental Agreement Mold Disclosure Addendum to rental/lease agreement (mold/moisture disclosure statement) there are no established guidelines for. A mold lease addendum is a document attached to a lease agreement that outlines the tenant’s responsibilities to prevent mold growth in the rental property. In order to reduce the probability of mold, mildew or other fungal growth, protect your health and protect your personal property and. Rental Agreement Mold Disclosure.
From www.wordtemplatesonline.net
Free Lease Addendum Templates (14 Types) Clause Forms Rental Agreement Mold Disclosure A mold lease addendum is a form that notifies the tenant of their responsibility pertaining to the prevention of mold in the leased property. A mold lease addendum is a document attached to a lease agreement that outlines the tenant’s responsibilities to prevent mold growth in the rental property. Explore a comprehensive guide on mold laws in montreal, detailing tenant. Rental Agreement Mold Disclosure.
From esign.com
Free Mold Lease Addendum Form (2) PDF Word Rental Agreement Mold Disclosure The tenant agrees to continually monitor for the presence of mold and abide by all requirements of this addendum for the duration of the tenancy. Addendum to rental/lease agreement (mold/moisture disclosure statement) there are no established guidelines for. A mold lease addendum is a document attached to a lease agreement that outlines the tenant’s responsibilities to prevent mold growth in. Rental Agreement Mold Disclosure.
From www.pdffiller.com
Online DISCLOSURE OF MOLD LEASE AGREEMENT Doc Template pdfFiller Rental Agreement Mold Disclosure In order to reduce the probability of mold, mildew or other fungal growth, protect your health and protect your personal property and the dwelling unit, you,. A mold lease addendum is a document attached to a lease agreement that outlines the tenant’s responsibilities to prevent mold growth in the rental property. Explore a comprehensive guide on mold laws in montreal,. Rental Agreement Mold Disclosure.
From esign.com
Free Washington Standard Residential Lease Agreement PDF Word Rental Agreement Mold Disclosure A mold lease addendum is a document attached to a lease agreement that outlines the tenant’s responsibilities to prevent mold growth in the rental property. A mold lease addendum is a form that notifies the tenant of their responsibility pertaining to the prevention of mold in the leased property. The tenant agrees to continually monitor for the presence of mold. Rental Agreement Mold Disclosure.
From www.pdffiller.com
Mold Disclosure Form Fill Online, Printable, Fillable, Blank pdfFiller Rental Agreement Mold Disclosure A mold lease addendum is a form that notifies the tenant of their responsibility pertaining to the prevention of mold in the leased property. Addendum to rental/lease agreement (mold/moisture disclosure statement) there are no established guidelines for. The tenant agrees to continually monitor for the presence of mold and abide by all requirements of this addendum for the duration of. Rental Agreement Mold Disclosure.
From www.etsy.com
Mold Addendum to Residential Lease Tenant, Landlord Agreement Fillable Rental Agreement Mold Disclosure The tenant agrees to continually monitor for the presence of mold and abide by all requirements of this addendum for the duration of the tenancy. Explore a comprehensive guide on mold laws in montreal, detailing tenant and landlord obligations, mold basics, and effective remediation strategies. A mold lease addendum is a document attached to a lease agreement that outlines the. Rental Agreement Mold Disclosure.
From esign.com
Free California Standard Residential Lease Agreement PDF Word Rental Agreement Mold Disclosure A mold lease addendum is a form that notifies the tenant of their responsibility pertaining to the prevention of mold in the leased property. A mold lease addendum is a document attached to a lease agreement that outlines the tenant’s responsibilities to prevent mold growth in the rental property. Addendum to rental/lease agreement (mold/moisture disclosure statement) there are no established. Rental Agreement Mold Disclosure.
From journal.firsttuesday.us
Information on Dampness and Mold for Renters in California — RPI Form 5641 Rental Agreement Mold Disclosure A mold lease addendum is a document attached to a lease agreement that outlines the tenant’s responsibilities to prevent mold growth in the rental property. Explore a comprehensive guide on mold laws in montreal, detailing tenant and landlord obligations, mold basics, and effective remediation strategies. The tenant agrees to continually monitor for the presence of mold and abide by all. Rental Agreement Mold Disclosure.
From www.formsbank.com
Top 5 Mold Disclosure Form Templates free to download in PDF format Rental Agreement Mold Disclosure A mold lease addendum is a document attached to a lease agreement that outlines the tenant’s responsibilities to prevent mold growth in the rental property. In order to reduce the probability of mold, mildew or other fungal growth, protect your health and protect your personal property and the dwelling unit, you,. The tenant agrees to continually monitor for the presence. Rental Agreement Mold Disclosure.
From www.pdffiller.com
Free Mold Lease Addendum Template PDFWordes Doc Template pdfFiller Rental Agreement Mold Disclosure A mold lease addendum is a document attached to a lease agreement that outlines the tenant’s responsibilities to prevent mold growth in the rental property. A mold lease addendum is a form that notifies the tenant of their responsibility pertaining to the prevention of mold in the leased property. Addendum to rental/lease agreement (mold/moisture disclosure statement) there are no established. Rental Agreement Mold Disclosure.
From leaseagreements.com
Free Mold Lease Addendum Template PDF Rental Agreement Mold Disclosure A mold lease addendum is a form that notifies the tenant of their responsibility pertaining to the prevention of mold in the leased property. Addendum to rental/lease agreement (mold/moisture disclosure statement) there are no established guidelines for. A mold lease addendum is a document attached to a lease agreement that outlines the tenant’s responsibilities to prevent mold growth in the. Rental Agreement Mold Disclosure.
From www.template.net
Real Estate Mold Disclosure Agreement Template Edit Online & Download Rental Agreement Mold Disclosure Explore a comprehensive guide on mold laws in montreal, detailing tenant and landlord obligations, mold basics, and effective remediation strategies. A mold lease addendum is a form that notifies the tenant of their responsibility pertaining to the prevention of mold in the leased property. A mold lease addendum is a document attached to a lease agreement that outlines the tenant’s. Rental Agreement Mold Disclosure.
From www.sampleforms.com
FREE 11+ Lease Addendum Forms in PDF MS Word Rental Agreement Mold Disclosure The tenant agrees to continually monitor for the presence of mold and abide by all requirements of this addendum for the duration of the tenancy. Addendum to rental/lease agreement (mold/moisture disclosure statement) there are no established guidelines for. Explore a comprehensive guide on mold laws in montreal, detailing tenant and landlord obligations, mold basics, and effective remediation strategies. A mold. Rental Agreement Mold Disclosure.