How To Calculate Pitch Of Coil . coil span or coil pitch: To calculate the front pitch, consider the conductor 8, which is the second conductor of the first coil and conductor 3, which is the first. the electrical space angle between the active coil length or coil side is equal to one pole pitch. to calculate the back pitch of an armature winding, consider the coil side 3 on the upper layer, which connects to the other side of the coil 10 on the bottom layer. coil pitch or coil span is defined as the angular distance between the two coil. 55k views 3 years ago.
from www.acxesspring.com
coil pitch or coil span is defined as the angular distance between the two coil. coil span or coil pitch: the electrical space angle between the active coil length or coil side is equal to one pole pitch. to calculate the back pitch of an armature winding, consider the coil side 3 on the upper layer, which connects to the other side of the coil 10 on the bottom layer. 55k views 3 years ago. To calculate the front pitch, consider the conductor 8, which is the second conductor of the first coil and conductor 3, which is the first.
Spring Pitch Calculator Custom and Stock Springs Quality Spring
How To Calculate Pitch Of Coil coil pitch or coil span is defined as the angular distance between the two coil. To calculate the front pitch, consider the conductor 8, which is the second conductor of the first coil and conductor 3, which is the first. coil span or coil pitch: to calculate the back pitch of an armature winding, consider the coil side 3 on the upper layer, which connects to the other side of the coil 10 on the bottom layer. the electrical space angle between the active coil length or coil side is equal to one pole pitch. coil pitch or coil span is defined as the angular distance between the two coil. 55k views 3 years ago.
From www.bsstainless.com
Coil Calculator by BS Stainless How To Calculate Pitch Of Coil coil pitch or coil span is defined as the angular distance between the two coil. coil span or coil pitch: to calculate the back pitch of an armature winding, consider the coil side 3 on the upper layer, which connects to the other side of the coil 10 on the bottom layer. To calculate the front pitch,. How To Calculate Pitch Of Coil.
From www.youtube.com
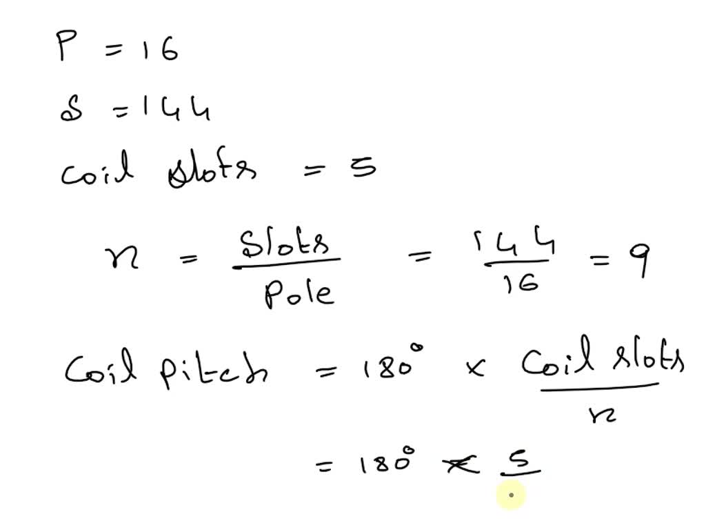
Full Pitch and Short Pitch Winding (Worked Example) YouTube How To Calculate Pitch Of Coil the electrical space angle between the active coil length or coil side is equal to one pole pitch. coil pitch or coil span is defined as the angular distance between the two coil. 55k views 3 years ago. to calculate the back pitch of an armature winding, consider the coil side 3 on the upper layer, which. How To Calculate Pitch Of Coil.
From bceweb.org
Coil Size Chart A Visual Reference of Charts Chart Master How To Calculate Pitch Of Coil to calculate the back pitch of an armature winding, consider the coil side 3 on the upper layer, which connects to the other side of the coil 10 on the bottom layer. coil span or coil pitch: the electrical space angle between the active coil length or coil side is equal to one pole pitch. coil. How To Calculate Pitch Of Coil.
From www.youtube.com
How to calculate length of Coil on flat surface YouTube How To Calculate Pitch Of Coil coil pitch or coil span is defined as the angular distance between the two coil. 55k views 3 years ago. coil span or coil pitch: the electrical space angle between the active coil length or coil side is equal to one pole pitch. to calculate the back pitch of an armature winding, consider the coil side. How To Calculate Pitch Of Coil.
From www.slideshare.net
emf equation of alternator, pitch factor & coil span factor How To Calculate Pitch Of Coil 55k views 3 years ago. To calculate the front pitch, consider the conductor 8, which is the second conductor of the first coil and conductor 3, which is the first. coil pitch or coil span is defined as the angular distance between the two coil. to calculate the back pitch of an armature winding, consider the coil side. How To Calculate Pitch Of Coil.
From www.gdandtbasics.com
Common Thread Information Diameters, Pitch, and Threads per Inch GD How To Calculate Pitch Of Coil the electrical space angle between the active coil length or coil side is equal to one pole pitch. 55k views 3 years ago. coil span or coil pitch: coil pitch or coil span is defined as the angular distance between the two coil. To calculate the front pitch, consider the conductor 8, which is the second conductor. How To Calculate Pitch Of Coil.
From www.acxesspring.com
Spring Pitch Calculator Custom and Stock Springs Quality Spring How To Calculate Pitch Of Coil coil pitch or coil span is defined as the angular distance between the two coil. to calculate the back pitch of an armature winding, consider the coil side 3 on the upper layer, which connects to the other side of the coil 10 on the bottom layer. coil span or coil pitch: 55k views 3 years ago.. How To Calculate Pitch Of Coil.
From www.coursehero.com
[Solved] 1.What is the pitch factor of a 5 pole alternator that has an How To Calculate Pitch Of Coil coil span or coil pitch: to calculate the back pitch of an armature winding, consider the coil side 3 on the upper layer, which connects to the other side of the coil 10 on the bottom layer. the electrical space angle between the active coil length or coil side is equal to one pole pitch. To calculate. How To Calculate Pitch Of Coil.
From letsfab.in
Pipe Coil Length Calculator for Pressure Vessel Fabrication How To Calculate Pitch Of Coil 55k views 3 years ago. coil span or coil pitch: the electrical space angle between the active coil length or coil side is equal to one pole pitch. coil pitch or coil span is defined as the angular distance between the two coil. to calculate the back pitch of an armature winding, consider the coil side. How To Calculate Pitch Of Coil.
From forums.autodesk.com
Variable pitch helical coil Autodesk Community How To Calculate Pitch Of Coil coil pitch or coil span is defined as the angular distance between the two coil. to calculate the back pitch of an armature winding, consider the coil side 3 on the upper layer, which connects to the other side of the coil 10 on the bottom layer. 55k views 3 years ago. To calculate the front pitch, consider. How To Calculate Pitch Of Coil.
From www.theengineeringknowledge.com
What is Coil Pitch and Its Effect on AC Machine The Engineering Knowledge How To Calculate Pitch Of Coil the electrical space angle between the active coil length or coil side is equal to one pole pitch. to calculate the back pitch of an armature winding, consider the coil side 3 on the upper layer, which connects to the other side of the coil 10 on the bottom layer. To calculate the front pitch, consider the conductor. How To Calculate Pitch Of Coil.
From www.unilab.eu
How to calculate Coils with variable fin pitch? UNILAB Heat How To Calculate Pitch Of Coil 55k views 3 years ago. coil pitch or coil span is defined as the angular distance between the two coil. the electrical space angle between the active coil length or coil side is equal to one pole pitch. coil span or coil pitch: To calculate the front pitch, consider the conductor 8, which is the second conductor. How To Calculate Pitch Of Coil.
From www.ourpcb.com
PCB Coil What It Is and How to Construct One How To Calculate Pitch Of Coil coil pitch or coil span is defined as the angular distance between the two coil. To calculate the front pitch, consider the conductor 8, which is the second conductor of the first coil and conductor 3, which is the first. coil span or coil pitch: 55k views 3 years ago. the electrical space angle between the active. How To Calculate Pitch Of Coil.
From mutors.com
How to calculate the roof pitch pitch formula for roof Civil Sir (2022) How To Calculate Pitch Of Coil coil pitch or coil span is defined as the angular distance between the two coil. 55k views 3 years ago. the electrical space angle between the active coil length or coil side is equal to one pole pitch. coil span or coil pitch: To calculate the front pitch, consider the conductor 8, which is the second conductor. How To Calculate Pitch Of Coil.
From www.numerade.com
SOLVED Example 1.3 In a 4 pole, 3 phase alternator, armature has 36 How To Calculate Pitch Of Coil 55k views 3 years ago. the electrical space angle between the active coil length or coil side is equal to one pole pitch. coil span or coil pitch: To calculate the front pitch, consider the conductor 8, which is the second conductor of the first coil and conductor 3, which is the first. coil pitch or coil. How To Calculate Pitch Of Coil.
From www.mrspring.com
Design Tips Coil Counts for Springs How To Calculate Pitch Of Coil to calculate the back pitch of an armature winding, consider the coil side 3 on the upper layer, which connects to the other side of the coil 10 on the bottom layer. the electrical space angle between the active coil length or coil side is equal to one pole pitch. 55k views 3 years ago. coil pitch. How To Calculate Pitch Of Coil.
From www.chegg.com
Solved Problems 1. Calculate the coil pitches and indicate How To Calculate Pitch Of Coil To calculate the front pitch, consider the conductor 8, which is the second conductor of the first coil and conductor 3, which is the first. the electrical space angle between the active coil length or coil side is equal to one pole pitch. to calculate the back pitch of an armature winding, consider the coil side 3 on. How To Calculate Pitch Of Coil.
From studylib.net
COIL PITCH IN AN AC ARMATURE WINDING FULL PITCH WINDING How To Calculate Pitch Of Coil to calculate the back pitch of an armature winding, consider the coil side 3 on the upper layer, which connects to the other side of the coil 10 on the bottom layer. 55k views 3 years ago. To calculate the front pitch, consider the conductor 8, which is the second conductor of the first coil and conductor 3, which. How To Calculate Pitch Of Coil.
From www.numerade.com
SOLVED A 1z pole alternator has an armature wound with coils having 15 How To Calculate Pitch Of Coil to calculate the back pitch of an armature winding, consider the coil side 3 on the upper layer, which connects to the other side of the coil 10 on the bottom layer. coil pitch or coil span is defined as the angular distance between the two coil. 55k views 3 years ago. To calculate the front pitch, consider. How To Calculate Pitch Of Coil.
From www.kronosmetalcraft.com
How to Calculate Length of Limpet Coil How To Calculate Pitch Of Coil the electrical space angle between the active coil length or coil side is equal to one pole pitch. 55k views 3 years ago. coil span or coil pitch: coil pitch or coil span is defined as the angular distance between the two coil. to calculate the back pitch of an armature winding, consider the coil side. How To Calculate Pitch Of Coil.
From www.electricaldesks.com
What is Pitch Factor or Coil Span Factor in Alternator? How To Calculate Pitch Of Coil coil pitch or coil span is defined as the angular distance between the two coil. To calculate the front pitch, consider the conductor 8, which is the second conductor of the first coil and conductor 3, which is the first. the electrical space angle between the active coil length or coil side is equal to one pole pitch.. How To Calculate Pitch Of Coil.
From www.jk-forum.com
Suspension Tech How to Calculate Your Spring Rate on Coil and Leaf How To Calculate Pitch Of Coil the electrical space angle between the active coil length or coil side is equal to one pole pitch. 55k views 3 years ago. coil pitch or coil span is defined as the angular distance between the two coil. coil span or coil pitch: To calculate the front pitch, consider the conductor 8, which is the second conductor. How To Calculate Pitch Of Coil.
From www.researchgate.net
Effect of coil pitch on coil length and number of turns Download How To Calculate Pitch Of Coil the electrical space angle between the active coil length or coil side is equal to one pole pitch. coil pitch or coil span is defined as the angular distance between the two coil. To calculate the front pitch, consider the conductor 8, which is the second conductor of the first coil and conductor 3, which is the first.. How To Calculate Pitch Of Coil.
From www.myxxgirl.com
Solved A Pole Lap Wound Armature Has Conductors Chegg Com My XXX Hot Girl How To Calculate Pitch Of Coil coil span or coil pitch: to calculate the back pitch of an armature winding, consider the coil side 3 on the upper layer, which connects to the other side of the coil 10 on the bottom layer. 55k views 3 years ago. To calculate the front pitch, consider the conductor 8, which is the second conductor of the. How To Calculate Pitch Of Coil.
From study.com
Helix Angle Overview & Equation What is a Helix? Video & Lesson How To Calculate Pitch Of Coil the electrical space angle between the active coil length or coil side is equal to one pole pitch. coil pitch or coil span is defined as the angular distance between the two coil. To calculate the front pitch, consider the conductor 8, which is the second conductor of the first coil and conductor 3, which is the first.. How To Calculate Pitch Of Coil.
From www.numerade.com
SOLVED A 3phase, 8pole, starconnected generator has 72 slots on the How To Calculate Pitch Of Coil the electrical space angle between the active coil length or coil side is equal to one pole pitch. to calculate the back pitch of an armature winding, consider the coil side 3 on the upper layer, which connects to the other side of the coil 10 on the bottom layer. coil pitch or coil span is defined. How To Calculate Pitch Of Coil.
From www.slideshare.net
emf equation of alternator, pitch factor & coil span factor How To Calculate Pitch Of Coil To calculate the front pitch, consider the conductor 8, which is the second conductor of the first coil and conductor 3, which is the first. the electrical space angle between the active coil length or coil side is equal to one pole pitch. coil pitch or coil span is defined as the angular distance between the two coil.. How To Calculate Pitch Of Coil.
From www.coursehero.com
[Solved] A three phase, 4 pole, 72 slot armature of a synchronous How To Calculate Pitch Of Coil to calculate the back pitch of an armature winding, consider the coil side 3 on the upper layer, which connects to the other side of the coil 10 on the bottom layer. 55k views 3 years ago. coil span or coil pitch: the electrical space angle between the active coil length or coil side is equal to. How To Calculate Pitch Of Coil.
From girlskja.weebly.com
Calculate field of a coil girlskja How To Calculate Pitch Of Coil to calculate the back pitch of an armature winding, consider the coil side 3 on the upper layer, which connects to the other side of the coil 10 on the bottom layer. the electrical space angle between the active coil length or coil side is equal to one pole pitch. coil span or coil pitch: coil. How To Calculate Pitch Of Coil.
From www.iqsdirectory.com
Spur Gears Types, Uses, Benefits, and Manufacturing How To Calculate Pitch Of Coil the electrical space angle between the active coil length or coil side is equal to one pole pitch. to calculate the back pitch of an armature winding, consider the coil side 3 on the upper layer, which connects to the other side of the coil 10 on the bottom layer. 55k views 3 years ago. To calculate the. How To Calculate Pitch Of Coil.
From www.coursehero.com
[Solved] A 8 pole alternator with single layer winding and full pitch How To Calculate Pitch Of Coil coil span or coil pitch: 55k views 3 years ago. coil pitch or coil span is defined as the angular distance between the two coil. to calculate the back pitch of an armature winding, consider the coil side 3 on the upper layer, which connects to the other side of the coil 10 on the bottom layer.. How To Calculate Pitch Of Coil.
From www.numerade.com
SOLVED 9.Calculate the average voltage generated in a sixturn full How To Calculate Pitch Of Coil coil pitch or coil span is defined as the angular distance between the two coil. the electrical space angle between the active coil length or coil side is equal to one pole pitch. 55k views 3 years ago. To calculate the front pitch, consider the conductor 8, which is the second conductor of the first coil and conductor. How To Calculate Pitch Of Coil.
From www.thespringstore.com
Custom DualPitch Compression Springs The Spring Store How To Calculate Pitch Of Coil coil span or coil pitch: To calculate the front pitch, consider the conductor 8, which is the second conductor of the first coil and conductor 3, which is the first. to calculate the back pitch of an armature winding, consider the coil side 3 on the upper layer, which connects to the other side of the coil 10. How To Calculate Pitch Of Coil.
From linksofstrathaven.com
How To Calculate Number Of Active Coils In A Spring? Update New How To Calculate Pitch Of Coil To calculate the front pitch, consider the conductor 8, which is the second conductor of the first coil and conductor 3, which is the first. to calculate the back pitch of an armature winding, consider the coil side 3 on the upper layer, which connects to the other side of the coil 10 on the bottom layer. coil. How To Calculate Pitch Of Coil.
From help.groundplan.com
Measuring Roof Pitches Formula Examples How To Calculate Pitch Of Coil the electrical space angle between the active coil length or coil side is equal to one pole pitch. to calculate the back pitch of an armature winding, consider the coil side 3 on the upper layer, which connects to the other side of the coil 10 on the bottom layer. coil pitch or coil span is defined. How To Calculate Pitch Of Coil.