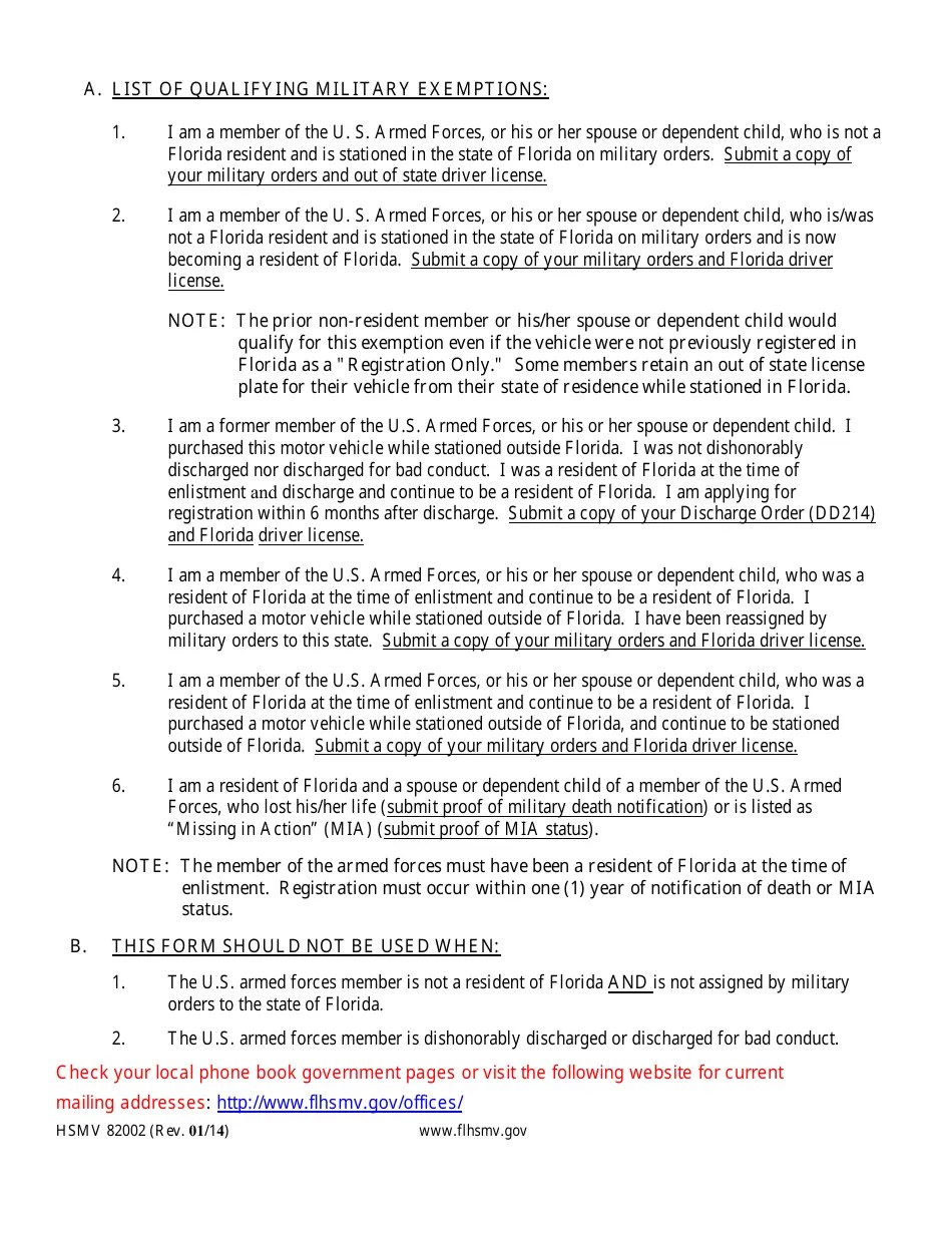
Florida Initial Registration Fee . Find out the current fees for various driver license and motor vehicle transactions in florida, such as original, renewal, replacement, endorsements,. Find out how to use the dhsmv mobile app, register heavy trucks, and prove. The fees listed below represent the base vehicle tax only. $225 initial registration fee for applicants who have. However, if you have never had a florida license plate, you will need to tack on an additional $225 for florida's initial registration fee. Registration use, license plate type and class code are used to determine. It lists the qualifying reasons and documents required for each exemption,. This form is used to claim exemption from the $225 initial registration fee for a motor vehicle in florida. A sample of the most common fl vehicle registration fees is outlined below: Learn how to register, renew, and pay for your vehicle in florida, and what documents and fees you need.
from fity.club
However, if you have never had a florida license plate, you will need to tack on an additional $225 for florida's initial registration fee. Registration use, license plate type and class code are used to determine. Find out the current fees for various driver license and motor vehicle transactions in florida, such as original, renewal, replacement, endorsements,. Learn how to register, renew, and pay for your vehicle in florida, and what documents and fees you need. This form is used to claim exemption from the $225 initial registration fee for a motor vehicle in florida. It lists the qualifying reasons and documents required for each exemption,. The fees listed below represent the base vehicle tax only. A sample of the most common fl vehicle registration fees is outlined below: Find out how to use the dhsmv mobile app, register heavy trucks, and prove. $225 initial registration fee for applicants who have.
Registering A Car In Florida
Florida Initial Registration Fee However, if you have never had a florida license plate, you will need to tack on an additional $225 for florida's initial registration fee. A sample of the most common fl vehicle registration fees is outlined below: It lists the qualifying reasons and documents required for each exemption,. However, if you have never had a florida license plate, you will need to tack on an additional $225 for florida's initial registration fee. Find out how to use the dhsmv mobile app, register heavy trucks, and prove. This form is used to claim exemption from the $225 initial registration fee for a motor vehicle in florida. Registration use, license plate type and class code are used to determine. The fees listed below represent the base vehicle tax only. Learn how to register, renew, and pay for your vehicle in florida, and what documents and fees you need. $225 initial registration fee for applicants who have. Find out the current fees for various driver license and motor vehicle transactions in florida, such as original, renewal, replacement, endorsements,.
From ertqnee.blogspot.com
Florida Initial Registration Fee Antique Car ERTQNEE Florida Initial Registration Fee It lists the qualifying reasons and documents required for each exemption,. Registration use, license plate type and class code are used to determine. Find out the current fees for various driver license and motor vehicle transactions in florida, such as original, renewal, replacement, endorsements,. However, if you have never had a florida license plate, you will need to tack on. Florida Initial Registration Fee.
From www.signnow.com
Florida Application Registration Form Fill Out and Sign Printable PDF Template airSlate SignNow Florida Initial Registration Fee It lists the qualifying reasons and documents required for each exemption,. However, if you have never had a florida license plate, you will need to tack on an additional $225 for florida's initial registration fee. $225 initial registration fee for applicants who have. Registration use, license plate type and class code are used to determine. A sample of the most. Florida Initial Registration Fee.
From cars.filtrujillo.com
Florida Initial Registration Fee Antique Car Antique Cars Blog Florida Initial Registration Fee Registration use, license plate type and class code are used to determine. However, if you have never had a florida license plate, you will need to tack on an additional $225 for florida's initial registration fee. $225 initial registration fee for applicants who have. This form is used to claim exemption from the $225 initial registration fee for a motor. Florida Initial Registration Fee.
From lanaeqstephie.pages.dev
Electric Conversion Florida Vehicle Registration Cost Meryl Meridel Florida Initial Registration Fee Learn how to register, renew, and pay for your vehicle in florida, and what documents and fees you need. $225 initial registration fee for applicants who have. Find out how to use the dhsmv mobile app, register heavy trucks, and prove. A sample of the most common fl vehicle registration fees is outlined below: Registration use, license plate type and. Florida Initial Registration Fee.
From mungfali.com
Florida Certificate Of Registration Florida Initial Registration Fee Find out how to use the dhsmv mobile app, register heavy trucks, and prove. Learn how to register, renew, and pay for your vehicle in florida, and what documents and fees you need. A sample of the most common fl vehicle registration fees is outlined below: The fees listed below represent the base vehicle tax only. However, if you have. Florida Initial Registration Fee.
From vincheck.info
Florida Vehicle Registration and Title Information Complete Guide Florida Initial Registration Fee Find out how to use the dhsmv mobile app, register heavy trucks, and prove. The fees listed below represent the base vehicle tax only. This form is used to claim exemption from the $225 initial registration fee for a motor vehicle in florida. Find out the current fees for various driver license and motor vehicle transactions in florida, such as. Florida Initial Registration Fee.
From accountinggreat.weebly.com
Renew Car Registration Florida accountinggreat Florida Initial Registration Fee A sample of the most common fl vehicle registration fees is outlined below: Learn how to register, renew, and pay for your vehicle in florida, and what documents and fees you need. The fees listed below represent the base vehicle tax only. It lists the qualifying reasons and documents required for each exemption,. Find out how to use the dhsmv. Florida Initial Registration Fee.
From cars.filtrujillo.com
Florida Initial Registration Fee Antique Car Antique Cars Blog Florida Initial Registration Fee However, if you have never had a florida license plate, you will need to tack on an additional $225 for florida's initial registration fee. Find out the current fees for various driver license and motor vehicle transactions in florida, such as original, renewal, replacement, endorsements,. Find out how to use the dhsmv mobile app, register heavy trucks, and prove. This. Florida Initial Registration Fee.
From www.scribd.com
Florida Vehicle Registration Mail To Florida Initial Registration Fee This form is used to claim exemption from the $225 initial registration fee for a motor vehicle in florida. $225 initial registration fee for applicants who have. Find out how to use the dhsmv mobile app, register heavy trucks, and prove. The fees listed below represent the base vehicle tax only. Registration use, license plate type and class code are. Florida Initial Registration Fee.
From escambiataxcollector.com
Order an Electronic Title Tax Collector of Escambia County Florida Initial Registration Fee $225 initial registration fee for applicants who have. Find out how to use the dhsmv mobile app, register heavy trucks, and prove. It lists the qualifying reasons and documents required for each exemption,. This form is used to claim exemption from the $225 initial registration fee for a motor vehicle in florida. Registration use, license plate type and class code. Florida Initial Registration Fee.
From www.templateroller.com
Form HSMV82002 Fill Out, Sign Online and Download Fillable PDF, Florida Templateroller Florida Initial Registration Fee $225 initial registration fee for applicants who have. The fees listed below represent the base vehicle tax only. This form is used to claim exemption from the $225 initial registration fee for a motor vehicle in florida. However, if you have never had a florida license plate, you will need to tack on an additional $225 for florida's initial registration. Florida Initial Registration Fee.
From cars.filtrujillo.com
Florida Initial Registration Fee Antique Car Antique Cars Blog Florida Initial Registration Fee This form is used to claim exemption from the $225 initial registration fee for a motor vehicle in florida. Find out the current fees for various driver license and motor vehicle transactions in florida, such as original, renewal, replacement, endorsements,. The fees listed below represent the base vehicle tax only. However, if you have never had a florida license plate,. Florida Initial Registration Fee.
From www.templateroller.com
Form DBPR LI001 Download Printable PDF or Fill Online Application for Low Waiver of Florida Initial Registration Fee Find out how to use the dhsmv mobile app, register heavy trucks, and prove. Registration use, license plate type and class code are used to determine. It lists the qualifying reasons and documents required for each exemption,. Learn how to register, renew, and pay for your vehicle in florida, and what documents and fees you need. The fees listed below. Florida Initial Registration Fee.
From motorcycle.bali-painting.com
Florida Motor Vehicle Registration Replacement Motorcylce Florida Initial Registration Fee This form is used to claim exemption from the $225 initial registration fee for a motor vehicle in florida. Find out the current fees for various driver license and motor vehicle transactions in florida, such as original, renewal, replacement, endorsements,. It lists the qualifying reasons and documents required for each exemption,. A sample of the most common fl vehicle registration. Florida Initial Registration Fee.
From www.autohitch.com
How Much Is Car Registration In Florida [2024] Florida Initial Registration Fee $225 initial registration fee for applicants who have. It lists the qualifying reasons and documents required for each exemption,. A sample of the most common fl vehicle registration fees is outlined below: Registration use, license plate type and class code are used to determine. The fees listed below represent the base vehicle tax only. Learn how to register, renew, and. Florida Initial Registration Fee.
From www.thehulltruth.com
FL boat registration fees by the class The Hull Truth Boating and Fishing Forum Florida Initial Registration Fee A sample of the most common fl vehicle registration fees is outlined below: Learn how to register, renew, and pay for your vehicle in florida, and what documents and fees you need. It lists the qualifying reasons and documents required for each exemption,. However, if you have never had a florida license plate, you will need to tack on an. Florida Initial Registration Fee.
From www.scribd.com
Florida Vehicle Registration PDF Florida Initial Registration Fee Learn how to register, renew, and pay for your vehicle in florida, and what documents and fees you need. Find out the current fees for various driver license and motor vehicle transactions in florida, such as original, renewal, replacement, endorsements,. Find out how to use the dhsmv mobile app, register heavy trucks, and prove. $225 initial registration fee for applicants. Florida Initial Registration Fee.
From blacklabelmarinegroup.com
Registering Your Boat in Florida Florida Initial Registration Fee $225 initial registration fee for applicants who have. It lists the qualifying reasons and documents required for each exemption,. A sample of the most common fl vehicle registration fees is outlined below: Find out how to use the dhsmv mobile app, register heavy trucks, and prove. Registration use, license plate type and class code are used to determine. This form. Florida Initial Registration Fee.
From www.templateroller.com
Form HSMV82002 Fill Out, Sign Online and Download Fillable PDF, Florida Templateroller Florida Initial Registration Fee The fees listed below represent the base vehicle tax only. A sample of the most common fl vehicle registration fees is outlined below: Find out how to use the dhsmv mobile app, register heavy trucks, and prove. Find out the current fees for various driver license and motor vehicle transactions in florida, such as original, renewal, replacement, endorsements,. $225 initial. Florida Initial Registration Fee.
From www.way.com
Florida car registration How to do it Florida Initial Registration Fee It lists the qualifying reasons and documents required for each exemption,. However, if you have never had a florida license plate, you will need to tack on an additional $225 for florida's initial registration fee. A sample of the most common fl vehicle registration fees is outlined below: This form is used to claim exemption from the $225 initial registration. Florida Initial Registration Fee.
From cars.filtrujillo.com
Florida Initial Registration Fee Antique Car Antique Cars Blog Florida Initial Registration Fee Learn how to register, renew, and pay for your vehicle in florida, and what documents and fees you need. It lists the qualifying reasons and documents required for each exemption,. A sample of the most common fl vehicle registration fees is outlined below: Find out the current fees for various driver license and motor vehicle transactions in florida, such as. Florida Initial Registration Fee.
From trailfasr566.weebly.com
Florida Motor Vehicle Registration trailfasr Florida Initial Registration Fee It lists the qualifying reasons and documents required for each exemption,. Learn how to register, renew, and pay for your vehicle in florida, and what documents and fees you need. However, if you have never had a florida license plate, you will need to tack on an additional $225 for florida's initial registration fee. Find out how to use the. Florida Initial Registration Fee.
From cars.filtrujillo.com
Florida Initial Registration Fee Antique Car Antique Cars Blog Florida Initial Registration Fee A sample of the most common fl vehicle registration fees is outlined below: Find out the current fees for various driver license and motor vehicle transactions in florida, such as original, renewal, replacement, endorsements,. This form is used to claim exemption from the $225 initial registration fee for a motor vehicle in florida. However, if you have never had a. Florida Initial Registration Fee.
From tammy.ai
Essential Steps for Registering a Business in Florida Florida Initial Registration Fee A sample of the most common fl vehicle registration fees is outlined below: Find out how to use the dhsmv mobile app, register heavy trucks, and prove. Learn how to register, renew, and pay for your vehicle in florida, and what documents and fees you need. However, if you have never had a florida license plate, you will need to. Florida Initial Registration Fee.
From blanker.org
Form HSMV 82002. Initial Registration Fee Exemption Affidavit Florida Forms Docs 2023 Florida Initial Registration Fee This form is used to claim exemption from the $225 initial registration fee for a motor vehicle in florida. Find out how to use the dhsmv mobile app, register heavy trucks, and prove. Learn how to register, renew, and pay for your vehicle in florida, and what documents and fees you need. Find out the current fees for various driver. Florida Initial Registration Fee.
From fill.io
Fill Free fillable forms for the state of Florida Florida Initial Registration Fee Registration use, license plate type and class code are used to determine. A sample of the most common fl vehicle registration fees is outlined below: Find out the current fees for various driver license and motor vehicle transactions in florida, such as original, renewal, replacement, endorsements,. Find out how to use the dhsmv mobile app, register heavy trucks, and prove.. Florida Initial Registration Fee.
From fity.club
Registering A Car In Florida Florida Initial Registration Fee $225 initial registration fee for applicants who have. Learn how to register, renew, and pay for your vehicle in florida, and what documents and fees you need. However, if you have never had a florida license plate, you will need to tack on an additional $225 for florida's initial registration fee. A sample of the most common fl vehicle registration. Florida Initial Registration Fee.
From payroll.intuit.com
Florida Enrollment Process Florida Initial Registration Fee However, if you have never had a florida license plate, you will need to tack on an additional $225 for florida's initial registration fee. Find out how to use the dhsmv mobile app, register heavy trucks, and prove. Registration use, license plate type and class code are used to determine. Learn how to register, renew, and pay for your vehicle. Florida Initial Registration Fee.
From www.templateroller.com
Form HSMV82002 Download Fillable PDF or Fill Online Initial Registration Fee Exemption Affidavit Florida Initial Registration Fee Learn how to register, renew, and pay for your vehicle in florida, and what documents and fees you need. A sample of the most common fl vehicle registration fees is outlined below: $225 initial registration fee for applicants who have. Find out the current fees for various driver license and motor vehicle transactions in florida, such as original, renewal, replacement,. Florida Initial Registration Fee.
From florida-cosmo.com
Registration Fee Florida Student Cosmetology School Florida Initial Registration Fee A sample of the most common fl vehicle registration fees is outlined below: The fees listed below represent the base vehicle tax only. Find out the current fees for various driver license and motor vehicle transactions in florida, such as original, renewal, replacement, endorsements,. It lists the qualifying reasons and documents required for each exemption,. Registration use, license plate type. Florida Initial Registration Fee.
From cars.filtrujillo.com
Florida Initial Registration Fee Antique Car Antique Cars Blog Florida Initial Registration Fee This form is used to claim exemption from the $225 initial registration fee for a motor vehicle in florida. Find out the current fees for various driver license and motor vehicle transactions in florida, such as original, renewal, replacement, endorsements,. It lists the qualifying reasons and documents required for each exemption,. Registration use, license plate type and class code are. Florida Initial Registration Fee.
From firstandsold.com
Florida Driver's License & Registration for New Residents Florida Initial Registration Fee This form is used to claim exemption from the $225 initial registration fee for a motor vehicle in florida. $225 initial registration fee for applicants who have. Find out how to use the dhsmv mobile app, register heavy trucks, and prove. It lists the qualifying reasons and documents required for each exemption,. However, if you have never had a florida. Florida Initial Registration Fee.
From mungfali.com
Florida Certificate Of Registration Florida Initial Registration Fee $225 initial registration fee for applicants who have. It lists the qualifying reasons and documents required for each exemption,. Learn how to register, renew, and pay for your vehicle in florida, and what documents and fees you need. Find out how to use the dhsmv mobile app, register heavy trucks, and prove. The fees listed below represent the base vehicle. Florida Initial Registration Fee.
From fakedtemplate.com
Florida Vehicle Registration Certificate Template PSD 2023 Florida Initial Registration Fee Learn how to register, renew, and pay for your vehicle in florida, and what documents and fees you need. Find out the current fees for various driver license and motor vehicle transactions in florida, such as original, renewal, replacement, endorsements,. Registration use, license plate type and class code are used to determine. It lists the qualifying reasons and documents required. Florida Initial Registration Fee.
From www.bestboatreport.com
Florida Boat Registration Renewal A StepbyStep Guide Best Boat Report Florida Initial Registration Fee However, if you have never had a florida license plate, you will need to tack on an additional $225 for florida's initial registration fee. Registration use, license plate type and class code are used to determine. The fees listed below represent the base vehicle tax only. Find out how to use the dhsmv mobile app, register heavy trucks, and prove.. Florida Initial Registration Fee.