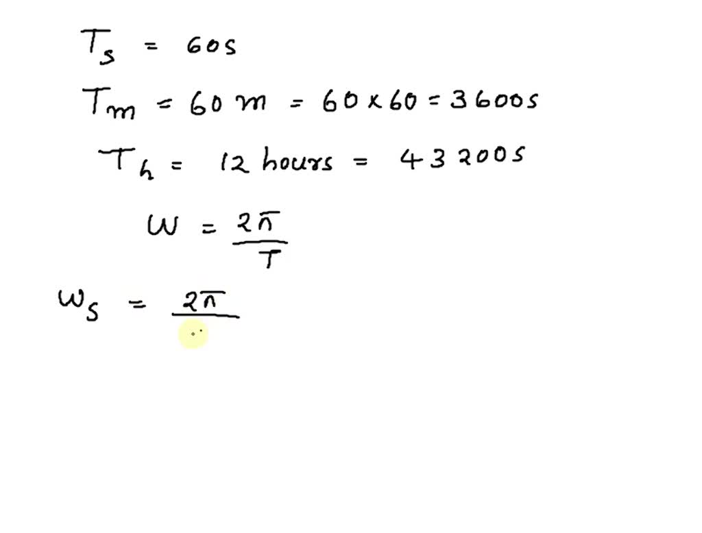
Second Hand Of A Clock Angular Velocity . Hence, a unit of angular velocity in rad/sec or degree/sec. So, the angular displacement is θ = 2 π r a d Calculate the angular velocity of the second hand. The unit of angular velocity is r a d s. The second hand of a clock completes one rotation in 60 seconds (1 minute). Angular speed = angle swept by. In summary, the problem asks to find the angular speed and angular velocity for the second hand and hour hand of a running clock,. The angular speed of second hand of the clock is; Time taken to complete 1. Complete step by step solution: Mathematically, ω = θ t.…………. Where ω = angular velocity, θ = position angle, and t = time. The second hand makes one complete rotation in 60seconds. The seconds hand of a clock completes one rotation in 1 minute i.e 60 seconds.
from www.youtube.com
Hence, a unit of angular velocity in rad/sec or degree/sec. The second hand makes one complete rotation in 60seconds. Time taken to complete 1. The angular speed of second hand of the clock is; The second hand of a clock completes one rotation in 60 seconds (1 minute). In summary, the problem asks to find the angular speed and angular velocity for the second hand and hour hand of a running clock,. Where ω = angular velocity, θ = position angle, and t = time. Mathematically, ω = θ t.…………. Calculate the angular velocity of the second hand. The unit of angular velocity is r a d s.
The angular speed for second hand of the clock in rad/s is the
Second Hand Of A Clock Angular Velocity In summary, the problem asks to find the angular speed and angular velocity for the second hand and hour hand of a running clock,. In summary, the problem asks to find the angular speed and angular velocity for the second hand and hour hand of a running clock,. Time taken to complete 1. The seconds hand of a clock completes one rotation in 1 minute i.e 60 seconds. Hence, a unit of angular velocity in rad/sec or degree/sec. So, the angular displacement is θ = 2 π r a d The unit of angular velocity is r a d s. Complete step by step solution: The second hand makes one complete rotation in 60seconds. The second hand of a clock completes one rotation in 60 seconds (1 minute). Where ω = angular velocity, θ = position angle, and t = time. Angular speed = angle swept by. The angular speed of second hand of the clock is; Mathematically, ω = θ t.…………. Calculate the angular velocity of the second hand.
From www.chegg.com
Solved 7 If the angular velocity of a second hand of a clock Second Hand Of A Clock Angular Velocity Angular speed = angle swept by. The second hand makes one complete rotation in 60seconds. The second hand of a clock completes one rotation in 60 seconds (1 minute). The unit of angular velocity is r a d s. The angular speed of second hand of the clock is; Calculate the angular velocity of the second hand. In summary, the. Second Hand Of A Clock Angular Velocity.
From www.toppr.com
The ratio of angular velocity of minute hand the second hand of a clock is Second Hand Of A Clock Angular Velocity Hence, a unit of angular velocity in rad/sec or degree/sec. So, the angular displacement is θ = 2 π r a d Calculate the angular velocity of the second hand. The seconds hand of a clock completes one rotation in 1 minute i.e 60 seconds. In summary, the problem asks to find the angular speed and angular velocity for the. Second Hand Of A Clock Angular Velocity.
From byjus.com
The linear speed of the seconds hand of a wall clock is 1.05cm/s.What Second Hand Of A Clock Angular Velocity Time taken to complete 1. The second hand of a clock completes one rotation in 60 seconds (1 minute). The angular speed of second hand of the clock is; In summary, the problem asks to find the angular speed and angular velocity for the second hand and hour hand of a running clock,. Where ω = angular velocity, θ =. Second Hand Of A Clock Angular Velocity.
From dxoviogdt.blob.core.windows.net
What Is The Angular Speed Of The Hour Hand Of A Clock at Geraldine Second Hand Of A Clock Angular Velocity Mathematically, ω = θ t.…………. Calculate the angular velocity of the second hand. In summary, the problem asks to find the angular speed and angular velocity for the second hand and hour hand of a running clock,. Hence, a unit of angular velocity in rad/sec or degree/sec. The second hand makes one complete rotation in 60seconds. The second hand of. Second Hand Of A Clock Angular Velocity.
From www.youtube.com
Angular velocity of minute hand of a clock is YouTube Second Hand Of A Clock Angular Velocity Hence, a unit of angular velocity in rad/sec or degree/sec. Where ω = angular velocity, θ = position angle, and t = time. In summary, the problem asks to find the angular speed and angular velocity for the second hand and hour hand of a running clock,. Time taken to complete 1. The second hand makes one complete rotation in. Second Hand Of A Clock Angular Velocity.
From www.toppr.com
The ratio of the angular speed of hours hand and second hand of a clock is Second Hand Of A Clock Angular Velocity So, the angular displacement is θ = 2 π r a d The angular speed of second hand of the clock is; Time taken to complete 1. In summary, the problem asks to find the angular speed and angular velocity for the second hand and hour hand of a running clock,. Complete step by step solution: The seconds hand of. Second Hand Of A Clock Angular Velocity.
From askfilo.com
Q A clock is in xy plane. Find angular velocity of second hand of a c.. Second Hand Of A Clock Angular Velocity The second hand of a clock completes one rotation in 60 seconds (1 minute). Mathematically, ω = θ t.…………. Angular speed = angle swept by. The second hand makes one complete rotation in 60seconds. Time taken to complete 1. Hence, a unit of angular velocity in rad/sec or degree/sec. Where ω = angular velocity, θ = position angle, and t. Second Hand Of A Clock Angular Velocity.
From www.toppr.com
Angular velocity of minute hand of a clock is Second Hand Of A Clock Angular Velocity Calculate the angular velocity of the second hand. Hence, a unit of angular velocity in rad/sec or degree/sec. Time taken to complete 1. Complete step by step solution: Where ω = angular velocity, θ = position angle, and t = time. The seconds hand of a clock completes one rotation in 1 minute i.e 60 seconds. The unit of angular. Second Hand Of A Clock Angular Velocity.
From byjus.com
Ratio of angular speed of second's hand to hourhand of a standard clock Second Hand Of A Clock Angular Velocity Angular speed = angle swept by. In summary, the problem asks to find the angular speed and angular velocity for the second hand and hour hand of a running clock,. The unit of angular velocity is r a d s. The seconds hand of a clock completes one rotation in 1 minute i.e 60 seconds. The angular speed of second. Second Hand Of A Clock Angular Velocity.
From byjus.com
The angular velocity of the second hand of a clock is Second Hand Of A Clock Angular Velocity The second hand makes one complete rotation in 60seconds. Hence, a unit of angular velocity in rad/sec or degree/sec. Time taken to complete 1. The angular speed of second hand of the clock is; Mathematically, ω = θ t.…………. The second hand of a clock completes one rotation in 60 seconds (1 minute). The seconds hand of a clock completes. Second Hand Of A Clock Angular Velocity.
From www.numerade.com
SOLVED Find the average angular velocity of each of the three hands of Second Hand Of A Clock Angular Velocity So, the angular displacement is θ = 2 π r a d Mathematically, ω = θ t.…………. Calculate the angular velocity of the second hand. The unit of angular velocity is r a d s. Hence, a unit of angular velocity in rad/sec or degree/sec. Angular speed = angle swept by. Where ω = angular velocity, θ = position angle,. Second Hand Of A Clock Angular Velocity.
From www.toppr.com
What is angular displacement in radian of a second hand of a clock in Second Hand Of A Clock Angular Velocity The second hand of a clock completes one rotation in 60 seconds (1 minute). Time taken to complete 1. The second hand makes one complete rotation in 60seconds. The seconds hand of a clock completes one rotation in 1 minute i.e 60 seconds. Calculate the angular velocity of the second hand. In summary, the problem asks to find the angular. Second Hand Of A Clock Angular Velocity.
From www.toppr.com
The ratio of angular velocity of minute hand the second hand of a clock is Second Hand Of A Clock Angular Velocity Complete step by step solution: Hence, a unit of angular velocity in rad/sec or degree/sec. Angular speed = angle swept by. Calculate the angular velocity of the second hand. The second hand of a clock completes one rotation in 60 seconds (1 minute). In summary, the problem asks to find the angular speed and angular velocity for the second hand. Second Hand Of A Clock Angular Velocity.
From www.youtube.com
Angular speed of the hour of a clock in degree per second is YouTube Second Hand Of A Clock Angular Velocity In summary, the problem asks to find the angular speed and angular velocity for the second hand and hour hand of a running clock,. Complete step by step solution: Time taken to complete 1. So, the angular displacement is θ = 2 π r a d Mathematically, ω = θ t.…………. Calculate the angular velocity of the second hand. The. Second Hand Of A Clock Angular Velocity.
From www.toppr.com
If the length of the second's hand in a stop clock is 3 cm , the Second Hand Of A Clock Angular Velocity The second hand makes one complete rotation in 60seconds. Complete step by step solution: Where ω = angular velocity, θ = position angle, and t = time. Hence, a unit of angular velocity in rad/sec or degree/sec. Mathematically, ω = θ t.…………. Time taken to complete 1. The seconds hand of a clock completes one rotation in 1 minute i.e. Second Hand Of A Clock Angular Velocity.
From www.numerade.com
SOLVEDExpress the angular velocity of the second hand on a clock in Second Hand Of A Clock Angular Velocity Angular speed = angle swept by. In summary, the problem asks to find the angular speed and angular velocity for the second hand and hour hand of a running clock,. The unit of angular velocity is r a d s. The angular speed of second hand of the clock is; Where ω = angular velocity, θ = position angle, and. Second Hand Of A Clock Angular Velocity.
From www.toppr.com
Angular velocity of minute hand of a clock is Second Hand Of A Clock Angular Velocity Angular speed = angle swept by. The unit of angular velocity is r a d s. The second hand makes one complete rotation in 60seconds. Complete step by step solution: The angular speed of second hand of the clock is; Mathematically, ω = θ t.…………. Hence, a unit of angular velocity in rad/sec or degree/sec. Calculate the angular velocity of. Second Hand Of A Clock Angular Velocity.
From www.numerade.com
SOLVED A second hand of a clock is 2 cm long. Calculate (i) Angular Second Hand Of A Clock Angular Velocity Angular speed = angle swept by. Calculate the angular velocity of the second hand. The seconds hand of a clock completes one rotation in 1 minute i.e 60 seconds. Hence, a unit of angular velocity in rad/sec or degree/sec. Complete step by step solution: The angular speed of second hand of the clock is; Where ω = angular velocity, θ. Second Hand Of A Clock Angular Velocity.
From www.toppr.com
The angular speed of the second's hand of a clock is Second Hand Of A Clock Angular Velocity Angular speed = angle swept by. Hence, a unit of angular velocity in rad/sec or degree/sec. The second hand of a clock completes one rotation in 60 seconds (1 minute). In summary, the problem asks to find the angular speed and angular velocity for the second hand and hour hand of a running clock,. So, the angular displacement is θ. Second Hand Of A Clock Angular Velocity.
From www.youtube.com
The angular velocity of the minute hand of a clock is... NMDCAT Best Second Hand Of A Clock Angular Velocity Calculate the angular velocity of the second hand. Time taken to complete 1. Angular speed = angle swept by. The angular speed of second hand of the clock is; The second hand makes one complete rotation in 60seconds. In summary, the problem asks to find the angular speed and angular velocity for the second hand and hour hand of a. Second Hand Of A Clock Angular Velocity.
From byjus.com
the angular velocity of the minute hand of a clock is Second Hand Of A Clock Angular Velocity The seconds hand of a clock completes one rotation in 1 minute i.e 60 seconds. The second hand of a clock completes one rotation in 60 seconds (1 minute). Angular speed = angle swept by. The angular speed of second hand of the clock is; The unit of angular velocity is r a d s. Time taken to complete 1.. Second Hand Of A Clock Angular Velocity.
From www.youtube.com
What is the angular momentum of the seconds hand on a clock about an Second Hand Of A Clock Angular Velocity Where ω = angular velocity, θ = position angle, and t = time. Time taken to complete 1. Hence, a unit of angular velocity in rad/sec or degree/sec. The second hand of a clock completes one rotation in 60 seconds (1 minute). The angular speed of second hand of the clock is; The seconds hand of a clock completes one. Second Hand Of A Clock Angular Velocity.
From www.youtube.com
The angular speed for second hand of the clock in rad/s is the Second Hand Of A Clock Angular Velocity The seconds hand of a clock completes one rotation in 1 minute i.e 60 seconds. Complete step by step solution: The second hand of a clock completes one rotation in 60 seconds (1 minute). In summary, the problem asks to find the angular speed and angular velocity for the second hand and hour hand of a running clock,. The unit. Second Hand Of A Clock Angular Velocity.
From www.toppr.com
What is the direction of the angular velocity vector for the second Second Hand Of A Clock Angular Velocity Time taken to complete 1. The seconds hand of a clock completes one rotation in 1 minute i.e 60 seconds. Complete step by step solution: Angular speed = angle swept by. So, the angular displacement is θ = 2 π r a d Hence, a unit of angular velocity in rad/sec or degree/sec. Mathematically, ω = θ t.…………. The angular. Second Hand Of A Clock Angular Velocity.
From www.toppr.com
Angular velocity of minute hand of a clock is Second Hand Of A Clock Angular Velocity Angular speed = angle swept by. The second hand of a clock completes one rotation in 60 seconds (1 minute). The unit of angular velocity is r a d s. Time taken to complete 1. So, the angular displacement is θ = 2 π r a d The seconds hand of a clock completes one rotation in 1 minute i.e. Second Hand Of A Clock Angular Velocity.
From www.toppr.com
The angular speed of second hand of a clock is Second Hand Of A Clock Angular Velocity Hence, a unit of angular velocity in rad/sec or degree/sec. In summary, the problem asks to find the angular speed and angular velocity for the second hand and hour hand of a running clock,. Mathematically, ω = θ t.…………. The second hand of a clock completes one rotation in 60 seconds (1 minute). Time taken to complete 1. The second. Second Hand Of A Clock Angular Velocity.
From www.youtube.com
What is the angular velocity in rad `s^(1)` of the hour minute and Second Hand Of A Clock Angular Velocity The second hand of a clock completes one rotation in 60 seconds (1 minute). So, the angular displacement is θ = 2 π r a d The second hand makes one complete rotation in 60seconds. Hence, a unit of angular velocity in rad/sec or degree/sec. Mathematically, ω = θ t.…………. Complete step by step solution: Where ω = angular velocity,. Second Hand Of A Clock Angular Velocity.
From www.chegg.com
Solved Find the angular velocity of a clock's second hand Second Hand Of A Clock Angular Velocity Time taken to complete 1. Angular speed = angle swept by. In summary, the problem asks to find the angular speed and angular velocity for the second hand and hour hand of a running clock,. Complete step by step solution: Mathematically, ω = θ t.…………. Hence, a unit of angular velocity in rad/sec or degree/sec. The second hand makes one. Second Hand Of A Clock Angular Velocity.
From www.numerade.com
SOLVED What is the angular velocity of the second hand of a clock? Second Hand Of A Clock Angular Velocity In summary, the problem asks to find the angular speed and angular velocity for the second hand and hour hand of a running clock,. Complete step by step solution: Angular speed = angle swept by. Calculate the angular velocity of the second hand. Hence, a unit of angular velocity in rad/sec or degree/sec. The seconds hand of a clock completes. Second Hand Of A Clock Angular Velocity.
From unicaregp.pakasak.com
Angular Momentum Definition, Formula, Units, Examples, and FAQs Second Hand Of A Clock Angular Velocity Complete step by step solution: Time taken to complete 1. Hence, a unit of angular velocity in rad/sec or degree/sec. The second hand of a clock completes one rotation in 60 seconds (1 minute). The seconds hand of a clock completes one rotation in 1 minute i.e 60 seconds. In summary, the problem asks to find the angular speed and. Second Hand Of A Clock Angular Velocity.
From www.toppr.com
Find out the average angular speed and angular speed of the second hand Second Hand Of A Clock Angular Velocity In summary, the problem asks to find the angular speed and angular velocity for the second hand and hour hand of a running clock,. The second hand makes one complete rotation in 60seconds. So, the angular displacement is θ = 2 π r a d Where ω = angular velocity, θ = position angle, and t = time. Angular speed. Second Hand Of A Clock Angular Velocity.
From www.numerade.com
SOLVED ∙ (a) Calculate the angular velocity (in rad/s) of the second Second Hand Of A Clock Angular Velocity The angular speed of second hand of the clock is; Time taken to complete 1. So, the angular displacement is θ = 2 π r a d Where ω = angular velocity, θ = position angle, and t = time. Angular speed = angle swept by. The unit of angular velocity is r a d s. The second hand of. Second Hand Of A Clock Angular Velocity.
From www.youtube.com
Ration of angular velocity of hour hand of a clock to self rotation of Second Hand Of A Clock Angular Velocity Where ω = angular velocity, θ = position angle, and t = time. Angular speed = angle swept by. The seconds hand of a clock completes one rotation in 1 minute i.e 60 seconds. So, the angular displacement is θ = 2 π r a d The second hand of a clock completes one rotation in 60 seconds (1 minute).. Second Hand Of A Clock Angular Velocity.
From www.toppr.com
The magnitude of the angular momentum of second hand of a clock about Second Hand Of A Clock Angular Velocity The angular speed of second hand of the clock is; The second hand of a clock completes one rotation in 60 seconds (1 minute). Angular speed = angle swept by. Calculate the angular velocity of the second hand. Time taken to complete 1. In summary, the problem asks to find the angular speed and angular velocity for the second hand. Second Hand Of A Clock Angular Velocity.
From www.toppr.com
What is the angular speed of the second hand of a clock? If the second Second Hand Of A Clock Angular Velocity The seconds hand of a clock completes one rotation in 1 minute i.e 60 seconds. So, the angular displacement is θ = 2 π r a d Mathematically, ω = θ t.…………. The unit of angular velocity is r a d s. Time taken to complete 1. In summary, the problem asks to find the angular speed and angular velocity. Second Hand Of A Clock Angular Velocity.