Flat Rock City Ordinances . Click on the links below to view that respective form. This code constitutes a complete recodification of the general and permanent ordinances of the city of. Site development standards applicable to specific uses: City of flat rock empowering people and businesses. Please note that per the city code of. 461, adopted november 7, 2022. An ordinance to amend the code of the city of flat rock by addition of a new section, which new section. Code of ordinances city of flat rock, michigan codified through ordinance no. Browse through book view recent updates code of ordinances.
from flatrockourhometown.com
Please note that per the city code of. An ordinance to amend the code of the city of flat rock by addition of a new section, which new section. 461, adopted november 7, 2022. Browse through book view recent updates code of ordinances. Site development standards applicable to specific uses: City of flat rock empowering people and businesses. This code constitutes a complete recodification of the general and permanent ordinances of the city of. Code of ordinances city of flat rock, michigan codified through ordinance no. Click on the links below to view that respective form.
2022 Taste of Flat Rock Flat Rock, Our Hometown
Flat Rock City Ordinances Site development standards applicable to specific uses: Code of ordinances city of flat rock, michigan codified through ordinance no. Browse through book view recent updates code of ordinances. 461, adopted november 7, 2022. Click on the links below to view that respective form. Please note that per the city code of. City of flat rock empowering people and businesses. An ordinance to amend the code of the city of flat rock by addition of a new section, which new section. This code constitutes a complete recodification of the general and permanent ordinances of the city of. Site development standards applicable to specific uses:
From www.archdaily.com
Gallery of House at Flat Rock / Billy Maynard Architect 30 Flat Rock City Ordinances Code of ordinances city of flat rock, michigan codified through ordinance no. 461, adopted november 7, 2022. City of flat rock empowering people and businesses. This code constitutes a complete recodification of the general and permanent ordinances of the city of. Site development standards applicable to specific uses: Please note that per the city code of. Browse through book view. Flat Rock City Ordinances.
From www.blueridgeparkwaydaily.com
"Sunset at Flat Rock Overlook, Milepost 308.3" by Craig Zerbe Flat Rock City Ordinances Browse through book view recent updates code of ordinances. City of flat rock empowering people and businesses. Code of ordinances city of flat rock, michigan codified through ordinance no. Site development standards applicable to specific uses: 461, adopted november 7, 2022. Please note that per the city code of. This code constitutes a complete recodification of the general and permanent. Flat Rock City Ordinances.
From diaocthongthai.com
Map of Flat Rock CDP, Ohio Flat Rock City Ordinances An ordinance to amend the code of the city of flat rock by addition of a new section, which new section. Browse through book view recent updates code of ordinances. City of flat rock empowering people and businesses. This code constitutes a complete recodification of the general and permanent ordinances of the city of. 461, adopted november 7, 2022. Please. Flat Rock City Ordinances.
From library.municode.com
Municode Library Flat Rock City Ordinances Click on the links below to view that respective form. 461, adopted november 7, 2022. City of flat rock empowering people and businesses. Site development standards applicable to specific uses: Code of ordinances city of flat rock, michigan codified through ordinance no. Please note that per the city code of. An ordinance to amend the code of the city of. Flat Rock City Ordinances.
From ocgnews.com
Roots and Resilience Discover the History of Flat Rock On Common Flat Rock City Ordinances 461, adopted november 7, 2022. Please note that per the city code of. Code of ordinances city of flat rock, michigan codified through ordinance no. An ordinance to amend the code of the city of flat rock by addition of a new section, which new section. City of flat rock empowering people and businesses. Click on the links below to. Flat Rock City Ordinances.
From www.coldwellbankerhomes.com
0000 Flat Rock Ln Sage Creek Lot 25, Graniteville, SC 29829 MLS Flat Rock City Ordinances This code constitutes a complete recodification of the general and permanent ordinances of the city of. Click on the links below to view that respective form. City of flat rock empowering people and businesses. Code of ordinances city of flat rock, michigan codified through ordinance no. 461, adopted november 7, 2022. Please note that per the city code of. An. Flat Rock City Ordinances.
From www.alamy.com
Pringle House, Flat Rock, Henderson County, North Carolina. Carnegie Flat Rock City Ordinances Click on the links below to view that respective form. This code constitutes a complete recodification of the general and permanent ordinances of the city of. Browse through book view recent updates code of ordinances. Code of ordinances city of flat rock, michigan codified through ordinance no. City of flat rock empowering people and businesses. An ordinance to amend the. Flat Rock City Ordinances.
From www.powhatanva.gov
Facilities • Flat Rock Elementary School Flat Rock City Ordinances 461, adopted november 7, 2022. Click on the links below to view that respective form. An ordinance to amend the code of the city of flat rock by addition of a new section, which new section. Code of ordinances city of flat rock, michigan codified through ordinance no. This code constitutes a complete recodification of the general and permanent ordinances. Flat Rock City Ordinances.
From bestneighborhood.org
Race, Diversity, and Ethnicity in Flat Rock, IN Flat Rock City Ordinances Click on the links below to view that respective form. An ordinance to amend the code of the city of flat rock by addition of a new section, which new section. 461, adopted november 7, 2022. Code of ordinances city of flat rock, michigan codified through ordinance no. Please note that per the city code of. Browse through book view. Flat Rock City Ordinances.
From www.uncorkedasheville.com
10 Terrific Things To Do In Flat Rock, NC From Asheville Locals Flat Rock City Ordinances 461, adopted november 7, 2022. Site development standards applicable to specific uses: An ordinance to amend the code of the city of flat rock by addition of a new section, which new section. This code constitutes a complete recodification of the general and permanent ordinances of the city of. City of flat rock empowering people and businesses. Code of ordinances. Flat Rock City Ordinances.
From www.thenewsherald.com
Flat Rock school district provides new mental wellness resources for Flat Rock City Ordinances Please note that per the city code of. Site development standards applicable to specific uses: Click on the links below to view that respective form. 461, adopted november 7, 2022. Browse through book view recent updates code of ordinances. An ordinance to amend the code of the city of flat rock by addition of a new section, which new section.. Flat Rock City Ordinances.
From flatrockourhometown.com
2022 Taste of Flat Rock Flat Rock, Our Hometown Flat Rock City Ordinances City of flat rock empowering people and businesses. Code of ordinances city of flat rock, michigan codified through ordinance no. This code constitutes a complete recodification of the general and permanent ordinances of the city of. Click on the links below to view that respective form. Site development standards applicable to specific uses: An ordinance to amend the code of. Flat Rock City Ordinances.
From www.formsbank.com
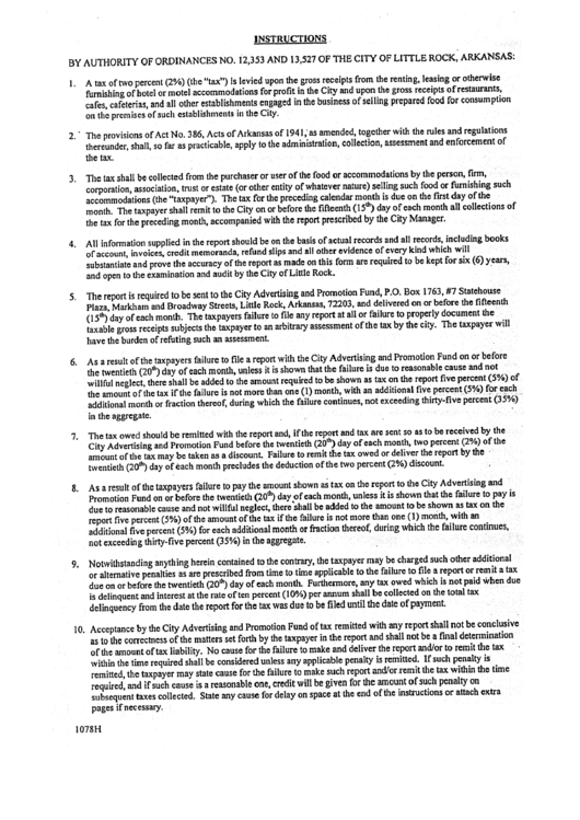
Instructions By Authority Of Ordinances No. 12,353 And 13,527 City Of Flat Rock City Ordinances Code of ordinances city of flat rock, michigan codified through ordinance no. Please note that per the city code of. Site development standards applicable to specific uses: Click on the links below to view that respective form. City of flat rock empowering people and businesses. 461, adopted november 7, 2022. Browse through book view recent updates code of ordinances. This. Flat Rock City Ordinances.
From www.thenewsherald.com
Flat Rock town hall meeting to discuss gas spill situation has been Flat Rock City Ordinances This code constitutes a complete recodification of the general and permanent ordinances of the city of. City of flat rock empowering people and businesses. Code of ordinances city of flat rock, michigan codified through ordinance no. Click on the links below to view that respective form. An ordinance to amend the code of the city of flat rock by addition. Flat Rock City Ordinances.
From bestneighborhood.org
Flat Rock Area, Flat Rock, MI Political Map Democrat & Republican Flat Rock City Ordinances Browse through book view recent updates code of ordinances. Please note that per the city code of. City of flat rock empowering people and businesses. Site development standards applicable to specific uses: Click on the links below to view that respective form. 461, adopted november 7, 2022. An ordinance to amend the code of the city of flat rock by. Flat Rock City Ordinances.
From www.discoverdownriver.com
Flat Rock Events Discover Downriver Flat Rock City Ordinances Click on the links below to view that respective form. An ordinance to amend the code of the city of flat rock by addition of a new section, which new section. This code constitutes a complete recodification of the general and permanent ordinances of the city of. Code of ordinances city of flat rock, michigan codified through ordinance no. City. Flat Rock City Ordinances.
From library.municode.com
Municode Library Flat Rock City Ordinances Code of ordinances city of flat rock, michigan codified through ordinance no. Please note that per the city code of. An ordinance to amend the code of the city of flat rock by addition of a new section, which new section. City of flat rock empowering people and businesses. This code constitutes a complete recodification of the general and permanent. Flat Rock City Ordinances.
From foursquare.com
City of Flat Rock Community Center 297 visitors Flat Rock City Ordinances City of flat rock empowering people and businesses. Please note that per the city code of. An ordinance to amend the code of the city of flat rock by addition of a new section, which new section. Code of ordinances city of flat rock, michigan codified through ordinance no. Site development standards applicable to specific uses: 461, adopted november 7,. Flat Rock City Ordinances.
From diaocthongthai.com
Map of Flat Rock village, Illinois Thong Thai Real Flat Rock City Ordinances Code of ordinances city of flat rock, michigan codified through ordinance no. Site development standards applicable to specific uses: Click on the links below to view that respective form. An ordinance to amend the code of the city of flat rock by addition of a new section, which new section. This code constitutes a complete recodification of the general and. Flat Rock City Ordinances.
From www.archdaily.com
House at Flat Rock / Billy Maynard Architect ArchDaily Flat Rock City Ordinances This code constitutes a complete recodification of the general and permanent ordinances of the city of. 461, adopted november 7, 2022. City of flat rock empowering people and businesses. Code of ordinances city of flat rock, michigan codified through ordinance no. Click on the links below to view that respective form. An ordinance to amend the code of the city. Flat Rock City Ordinances.
From www.wsfcs.k12.nc.us
Forms Flat Rock Middle School Flat Rock City Ordinances Code of ordinances city of flat rock, michigan codified through ordinance no. City of flat rock empowering people and businesses. This code constitutes a complete recodification of the general and permanent ordinances of the city of. An ordinance to amend the code of the city of flat rock by addition of a new section, which new section. Browse through book. Flat Rock City Ordinances.
From www.archdaily.com
House at Flat Rock / Billy Maynard Architect ArchDaily Flat Rock City Ordinances 461, adopted november 7, 2022. This code constitutes a complete recodification of the general and permanent ordinances of the city of. Code of ordinances city of flat rock, michigan codified through ordinance no. An ordinance to amend the code of the city of flat rock by addition of a new section, which new section. Site development standards applicable to specific. Flat Rock City Ordinances.
From www.goodreads.com
A Digest Of The Laws And Ordinances Of The City Of Little Rock With Flat Rock City Ordinances Click on the links below to view that respective form. Code of ordinances city of flat rock, michigan codified through ordinance no. 461, adopted november 7, 2022. Browse through book view recent updates code of ordinances. Please note that per the city code of. An ordinance to amend the code of the city of flat rock by addition of a. Flat Rock City Ordinances.
From downtownflatrock.com
The 2022 Election Day is Tuesday, November 8 Downtown Flat Rock Flat Rock City Ordinances Browse through book view recent updates code of ordinances. Code of ordinances city of flat rock, michigan codified through ordinance no. 461, adopted november 7, 2022. Site development standards applicable to specific uses: Please note that per the city code of. This code constitutes a complete recodification of the general and permanent ordinances of the city of. An ordinance to. Flat Rock City Ordinances.
From www.roundrocktexas.gov
Code of Ordinances City of Round Rock Flat Rock City Ordinances Code of ordinances city of flat rock, michigan codified through ordinance no. Site development standards applicable to specific uses: Please note that per the city code of. An ordinance to amend the code of the city of flat rock by addition of a new section, which new section. This code constitutes a complete recodification of the general and permanent ordinances. Flat Rock City Ordinances.
From diaocthongthai.com
Map of Flat Rock city, Michigan Thong Thai Real Flat Rock City Ordinances Browse through book view recent updates code of ordinances. 461, adopted november 7, 2022. City of flat rock empowering people and businesses. Code of ordinances city of flat rock, michigan codified through ordinance no. Site development standards applicable to specific uses: Please note that per the city code of. Click on the links below to view that respective form. An. Flat Rock City Ordinances.
From www.archdaily.com
House at Flat Rock / Billy Maynard Architect ArchDaily Flat Rock City Ordinances 461, adopted november 7, 2022. Click on the links below to view that respective form. Browse through book view recent updates code of ordinances. Code of ordinances city of flat rock, michigan codified through ordinance no. An ordinance to amend the code of the city of flat rock by addition of a new section, which new section. Please note that. Flat Rock City Ordinances.
From getlostintheusa.com
Things to Do in Flat Rock NC on a Day Trip Get Lost in the USA Flat Rock City Ordinances Code of ordinances city of flat rock, michigan codified through ordinance no. This code constitutes a complete recodification of the general and permanent ordinances of the city of. Click on the links below to view that respective form. Browse through book view recent updates code of ordinances. Please note that per the city code of. 461, adopted november 7, 2022.. Flat Rock City Ordinances.
From www.archdaily.com
Gallery of House at Flat Rock / Billy Maynard Architect 28 Flat Rock City Ordinances Site development standards applicable to specific uses: City of flat rock empowering people and businesses. Please note that per the city code of. An ordinance to amend the code of the city of flat rock by addition of a new section, which new section. Click on the links below to view that respective form. 461, adopted november 7, 2022. This. Flat Rock City Ordinances.
From australiaobsessed.com
Ultimate Guide to Camping at Flat Rock Tent Park Near Ballina Flat Rock City Ordinances This code constitutes a complete recodification of the general and permanent ordinances of the city of. Site development standards applicable to specific uses: City of flat rock empowering people and businesses. 461, adopted november 7, 2022. Browse through book view recent updates code of ordinances. Code of ordinances city of flat rock, michigan codified through ordinance no. Click on the. Flat Rock City Ordinances.
From www.asheville.com
Flat Rock Playhouse's "Rock Solid" Capital Campaign Flat Rock City Ordinances Click on the links below to view that respective form. Site development standards applicable to specific uses: An ordinance to amend the code of the city of flat rock by addition of a new section, which new section. City of flat rock empowering people and businesses. Browse through book view recent updates code of ordinances. This code constitutes a complete. Flat Rock City Ordinances.
From www.oldmapsonline.org
Flat Rock Flat Rock City Ordinances Site development standards applicable to specific uses: Browse through book view recent updates code of ordinances. Code of ordinances city of flat rock, michigan codified through ordinance no. Please note that per the city code of. An ordinance to amend the code of the city of flat rock by addition of a new section, which new section. This code constitutes. Flat Rock City Ordinances.
From www.archdaily.com
Gallery of House at Flat Rock / Billy Maynard Architect 30 Flat Rock City Ordinances Code of ordinances city of flat rock, michigan codified through ordinance no. Site development standards applicable to specific uses: 461, adopted november 7, 2022. City of flat rock empowering people and businesses. Please note that per the city code of. An ordinance to amend the code of the city of flat rock by addition of a new section, which new. Flat Rock City Ordinances.
From www.discoverdownriver.com
Flat Rock, Michigan Municipal Fire Police Court Offices 911 Flat Rock City Ordinances Browse through book view recent updates code of ordinances. This code constitutes a complete recodification of the general and permanent ordinances of the city of. Click on the links below to view that respective form. An ordinance to amend the code of the city of flat rock by addition of a new section, which new section. 461, adopted november 7,. Flat Rock City Ordinances.
From diaocthongthai.com
Map of Flat Rock village, Illinois Thong Thai Real Flat Rock City Ordinances An ordinance to amend the code of the city of flat rock by addition of a new section, which new section. Site development standards applicable to specific uses: Code of ordinances city of flat rock, michigan codified through ordinance no. Click on the links below to view that respective form. Please note that per the city code of. This code. Flat Rock City Ordinances.