Which Element Could X Represent . Which element could this symbol represent? The generic lewis dot symbol for an element with three valence electrons is x. In the lewis structures listed below, m and x represent various elements in the third period of the periodic table. Na ne si oo αι ci ооо p s incorrect = consider an. In the lewis structures listed here, m and x represent various elements in the third period of the periodic table. Write the formula of each compound using the chemical symbols of each. The two dots between the x's mean that they share one. Study with quizlet and memorize flashcards containing terms like which element could x represent?, which lewis dot diagram correctly. An atom x with five valence electrons. It could represent any of the halogens f 2,cl2,br2,i 2. Consider the generic lewis dot symbol for an element. Write the formula of each. Using lewis symbols, we represent valence electron. ·x which element could this. Consider the generic lewis dot symbol for an element.
from guidelibcombusting.z13.web.core.windows.net
Consider the generic lewis dot symbol for an element. The generic lewis dot symbol for an element with three valence electrons is x. Which element could this symbol represent? An atom x with five valence electrons. It could represent any of the halogens f 2,cl2,br2,i 2. Write the formula of each. Using lewis symbols, we represent valence electron. Na ne si oo αι ci ооо p s incorrect = consider an. ·x which element could this. The two dots between the x's mean that they share one.
Lewis Dot Diagrams Of The Elements
Which Element Could X Represent Study with quizlet and memorize flashcards containing terms like which element could x represent?, which lewis dot diagram correctly. Consider the generic lewis dot symbol for an element. It could represent any of the halogens f 2,cl2,br2,i 2. Na ne si oo αι ci ооо p s incorrect = consider an. In the lewis structures listed here, m and x represent various elements in the third period of the periodic table. The two dots between the x's mean that they share one. Write the formula of each compound using the chemical symbols of each. Study with quizlet and memorize flashcards containing terms like which element could x represent?, which lewis dot diagram correctly. Using lewis symbols, we represent valence electron. Which element could this symbol represent? Write the formula of each. ·x which element could this. An atom x with five valence electrons. In the lewis structures listed below, m and x represent various elements in the third period of the periodic table. Consider the generic lewis dot symbol for an element. The generic lewis dot symbol for an element with three valence electrons is x.
From utedzz.blogspot.com
Periodic Table With Element Names Hd Periodic Table Timeline Which Element Could X Represent Using lewis symbols, we represent valence electron. Consider the generic lewis dot symbol for an element. Na ne si oo αι ci ооо p s incorrect = consider an. Consider the generic lewis dot symbol for an element. The generic lewis dot symbol for an element with three valence electrons is x. Study with quizlet and memorize flashcards containing terms. Which Element Could X Represent.
From www.coursehero.com
[Solved] What element could be represented by "X" in the following Which Element Could X Represent Consider the generic lewis dot symbol for an element. Consider the generic lewis dot symbol for an element. An atom x with five valence electrons. In the lewis structures listed here, m and x represent various elements in the third period of the periodic table. Study with quizlet and memorize flashcards containing terms like which element could x represent?, which. Which Element Could X Represent.
From www.pinterest.com
Understanding Lewis Dot Structures Which Element Could X Represent ·x which element could this. In the lewis structures listed here, m and x represent various elements in the third period of the periodic table. Na ne si oo αι ci ооо p s incorrect = consider an. Study with quizlet and memorize flashcards containing terms like which element could x represent?, which lewis dot diagram correctly. Consider the generic. Which Element Could X Represent.
From www.youtube.com
elements and symbols element and symbol YouTube Which Element Could X Represent Write the formula of each. Consider the generic lewis dot symbol for an element. In the lewis structures listed below, m and x represent various elements in the third period of the periodic table. It could represent any of the halogens f 2,cl2,br2,i 2. In the lewis structures listed here, m and x represent various elements in the third period. Which Element Could X Represent.
From guidelibcombusting.z13.web.core.windows.net
Lewis Dot Diagrams Of The Elements Which Element Could X Represent An atom x with five valence electrons. Na ne si oo αι ci ооо p s incorrect = consider an. Study with quizlet and memorize flashcards containing terms like which element could x represent?, which lewis dot diagram correctly. Consider the generic lewis dot symbol for an element. It could represent any of the halogens f 2,cl2,br2,i 2. Which element. Which Element Could X Represent.
From www.expii.com
How to Read the Periodic Table — Overview & Components Expii Which Element Could X Represent Na ne si oo αι ci ооо p s incorrect = consider an. Consider the generic lewis dot symbol for an element. The two dots between the x's mean that they share one. Write the formula of each compound using the chemical symbols of each. Using lewis symbols, we represent valence electron. ·x which element could this. The generic lewis. Which Element Could X Represent.
From www.solvedlib.com
Identify the main group that the element X belongs ea… SolvedLib Which Element Could X Represent Using lewis symbols, we represent valence electron. Na ne si oo αι ci ооо p s incorrect = consider an. The two dots between the x's mean that they share one. In the lewis structures listed below, m and x represent various elements in the third period of the periodic table. In the lewis structures listed here, m and x. Which Element Could X Represent.
From www.chegg.com
Solved Which element does X represent in the following Which Element Could X Represent ·x which element could this. Write the formula of each compound using the chemical symbols of each. Which element could this symbol represent? An atom x with five valence electrons. Consider the generic lewis dot symbol for an element. In the lewis structures listed here, m and x represent various elements in the third period of the periodic table. Consider. Which Element Could X Represent.
From mungfali.com
Periodic Table Of Elements With Symbols Which Element Could X Represent ·x which element could this. Using lewis symbols, we represent valence electron. It could represent any of the halogens f 2,cl2,br2,i 2. An atom x with five valence electrons. Write the formula of each. The generic lewis dot symbol for an element with three valence electrons is x. Consider the generic lewis dot symbol for an element. Which element could. Which Element Could X Represent.
From manuallistcantabank.z21.web.core.windows.net
How To Do Electron Dot Diagram Which Element Could X Represent An atom x with five valence electrons. Using lewis symbols, we represent valence electron. Which element could this symbol represent? Consider the generic lewis dot symbol for an element. Write the formula of each. Na ne si oo αι ci ооо p s incorrect = consider an. Write the formula of each compound using the chemical symbols of each. In. Which Element Could X Represent.
From www.gauthmath.com
Solved Consider the generic Lewis dot symbol for an element. a X Which Element Could X Represent In the lewis structures listed below, m and x represent various elements in the third period of the periodic table. Write the formula of each. It could represent any of the halogens f 2,cl2,br2,i 2. The two dots between the x's mean that they share one. Using lewis symbols, we represent valence electron. The generic lewis dot symbol for an. Which Element Could X Represent.
From www.youtube.com
First I.E. for element X and element Y are 899 kJ/mol and 801 kJ/mol Which Element Could X Represent Consider the generic lewis dot symbol for an element. In the lewis structures listed below, m and x represent various elements in the third period of the periodic table. The two dots between the x's mean that they share one. Using lewis symbols, we represent valence electron. It could represent any of the halogens f 2,cl2,br2,i 2. Consider the generic. Which Element Could X Represent.
From www.chegg.com
Solved Consider the generic Lewis dot symbol for an element. Which Element Could X Represent An atom x with five valence electrons. It could represent any of the halogens f 2,cl2,br2,i 2. Write the formula of each compound using the chemical symbols of each. Which element could this symbol represent? Consider the generic lewis dot symbol for an element. The generic lewis dot symbol for an element with three valence electrons is x. Write the. Which Element Could X Represent.
From www.numerade.com
SOLVEDConsider the generic Lewis dot symbol for an element. An atom X Which Element Could X Represent An atom x with five valence electrons. The two dots between the x's mean that they share one. Write the formula of each compound using the chemical symbols of each. Which element could this symbol represent? Study with quizlet and memorize flashcards containing terms like which element could x represent?, which lewis dot diagram correctly. Consider the generic lewis dot. Which Element Could X Represent.
From www.gauthmath.com
Solved Consider the generic Lewis dot symbol for an element. Which Which Element Could X Represent An atom x with five valence electrons. Write the formula of each. Which element could this symbol represent? ·x which element could this. Consider the generic lewis dot symbol for an element. Na ne si oo αι ci ооо p s incorrect = consider an. Write the formula of each compound using the chemical symbols of each. Consider the generic. Which Element Could X Represent.
From studylib.net
Lewis Dot Structures Which Element Could X Represent The two dots between the x's mean that they share one. In the lewis structures listed here, m and x represent various elements in the third period of the periodic table. Study with quizlet and memorize flashcards containing terms like which element could x represent?, which lewis dot diagram correctly. Na ne si oo αι ci ооо p s incorrect. Which Element Could X Represent.
From www.dorjegurung.com
The ABC’s of Chemistry Symbols Which Element Could X Represent Na ne si oo αι ci ооо p s incorrect = consider an. The generic lewis dot symbol for an element with three valence electrons is x. Write the formula of each. Write the formula of each compound using the chemical symbols of each. Study with quizlet and memorize flashcards containing terms like which element could x represent?, which lewis. Which Element Could X Represent.
From elchoroukhost.net
Periodic Table Of The Elements Definition Biology Elcho Table Which Element Could X Represent In the lewis structures listed below, m and x represent various elements in the third period of the periodic table. Consider the generic lewis dot symbol for an element. The two dots between the x's mean that they share one. ·x which element could this. Study with quizlet and memorize flashcards containing terms like which element could x represent?, which. Which Element Could X Represent.
From circuitdiagramapplied.z21.web.core.windows.net
Lewis Dot Diagram For First 20 Elements Which Element Could X Represent Consider the generic lewis dot symbol for an element. Consider the generic lewis dot symbol for an element. Na ne si oo αι ci ооо p s incorrect = consider an. Write the formula of each compound using the chemical symbols of each. Which element could this symbol represent? ·x which element could this. In the lewis structures listed here,. Which Element Could X Represent.
From sciencenotes.org
List of Names Made From Periodic Table Element Symbols Which Element Could X Represent Using lewis symbols, we represent valence electron. Write the formula of each compound using the chemical symbols of each. An atom x with five valence electrons. Consider the generic lewis dot symbol for an element. Study with quizlet and memorize flashcards containing terms like which element could x represent?, which lewis dot diagram correctly. The generic lewis dot symbol for. Which Element Could X Represent.
From www.chegg.com
Solved The following Lewis diagram represents the valence Which Element Could X Represent In the lewis structures listed here, m and x represent various elements in the third period of the periodic table. The two dots between the x's mean that they share one. The generic lewis dot symbol for an element with three valence electrons is x. Which element could this symbol represent? Write the formula of each. ·x which element could. Which Element Could X Represent.
From www.sliderbase.com
Valence Electrons Presentation Chemistry Which Element Could X Represent The two dots between the x's mean that they share one. In the lewis structures listed below, m and x represent various elements in the third period of the periodic table. Consider the generic lewis dot symbol for an element. Consider the generic lewis dot symbol for an element. Using lewis symbols, we represent valence electron. In the lewis structures. Which Element Could X Represent.
From www.wyzant.com
The Periodic Chart of Table of the Elements Wyzant Lessons Which Element Could X Represent Consider the generic lewis dot symbol for an element. Study with quizlet and memorize flashcards containing terms like which element could x represent?, which lewis dot diagram correctly. Na ne si oo αι ci ооо p s incorrect = consider an. The two dots between the x's mean that they share one. The generic lewis dot symbol for an element. Which Element Could X Represent.
From www.numerade.com
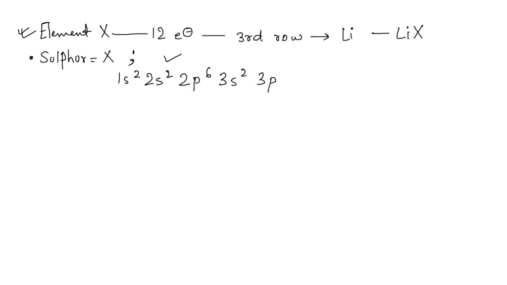
SOLVED An unknown element, X, reacts with lithium to form the compound Which Element Could X Represent The generic lewis dot symbol for an element with three valence electrons is x. Study with quizlet and memorize flashcards containing terms like which element could x represent?, which lewis dot diagram correctly. Na ne si oo αι ci ооо p s incorrect = consider an. Write the formula of each compound using the chemical symbols of each. In the. Which Element Could X Represent.
From www.pinterest.com
BohrRutherford Diagrams & Lewis Dot Diagrams Eve Wongworakul Which Element Could X Represent Study with quizlet and memorize flashcards containing terms like which element could x represent?, which lewis dot diagram correctly. Consider the generic lewis dot symbol for an element. Write the formula of each. Using lewis symbols, we represent valence electron. ·x which element could this. Write the formula of each compound using the chemical symbols of each. Consider the generic. Which Element Could X Represent.
From brainly.com
The Lewis dot diagram for an unidentified element is shown below. Which Which Element Could X Represent Consider the generic lewis dot symbol for an element. ·x which element could this. Write the formula of each compound using the chemical symbols of each. It could represent any of the halogens f 2,cl2,br2,i 2. In the lewis structures listed here, m and x represent various elements in the third period of the periodic table. Which element could this. Which Element Could X Represent.
From www.chegg.com
Solved An unknown element, X, reacts with lithium to form Which Element Could X Represent Which element could this symbol represent? Consider the generic lewis dot symbol for an element. It could represent any of the halogens f 2,cl2,br2,i 2. Write the formula of each. Consider the generic lewis dot symbol for an element. In the lewis structures listed here, m and x represent various elements in the third period of the periodic table. The. Which Element Could X Represent.
From utedzz.blogspot.com
Element On Periodic Table Explained Periodic Table Timeline Which Element Could X Represent The two dots between the x's mean that they share one. Write the formula of each compound using the chemical symbols of each. It could represent any of the halogens f 2,cl2,br2,i 2. Study with quizlet and memorize flashcards containing terms like which element could x represent?, which lewis dot diagram correctly. ·x which element could this. Which element could. Which Element Could X Represent.
From courses.lumenlearning.com
Lewis Symbols and Structures Chemistry Which Element Could X Represent Using lewis symbols, we represent valence electron. ·x which element could this. Consider the generic lewis dot symbol for an element. It could represent any of the halogens f 2,cl2,br2,i 2. The two dots between the x's mean that they share one. The generic lewis dot symbol for an element with three valence electrons is x. An atom x with. Which Element Could X Represent.
From www.chegg.com
Solved Classify each compound as an ionic compound or a Which Element Could X Represent Which element could this symbol represent? Consider the generic lewis dot symbol for an element. Write the formula of each compound using the chemical symbols of each. Using lewis symbols, we represent valence electron. Na ne si oo αι ci ооо p s incorrect = consider an. The generic lewis dot symbol for an element with three valence electrons is. Which Element Could X Represent.
From www.chegg.com
Solved identify what main group element (x) could form each Which Element Could X Represent Which element could this symbol represent? Na ne si oo αι ci ооо p s incorrect = consider an. Using lewis symbols, we represent valence electron. Consider the generic lewis dot symbol for an element. Study with quizlet and memorize flashcards containing terms like which element could x represent?, which lewis dot diagram correctly. Write the formula of each compound. Which Element Could X Represent.
From www.chegg.com
Solved Which element does X represent in the following Which Element Could X Represent Study with quizlet and memorize flashcards containing terms like which element could x represent?, which lewis dot diagram correctly. Using lewis symbols, we represent valence electron. In the lewis structures listed here, m and x represent various elements in the third period of the periodic table. Which element could this symbol represent? Write the formula of each. Consider the generic. Which Element Could X Represent.
From courses.lumenlearning.com
Lewis Dot Symbols and Lewis Structures Boundless Chemistry Which Element Could X Represent Na ne si oo αι ci ооо p s incorrect = consider an. Consider the generic lewis dot symbol for an element. The generic lewis dot symbol for an element with three valence electrons is x. Study with quizlet and memorize flashcards containing terms like which element could x represent?, which lewis dot diagram correctly. Using lewis symbols, we represent. Which Element Could X Represent.
From www.alamy.com
Colorful Periodic Table of the Elements shows atomic number, symbol Which Element Could X Represent ·x which element could this. The two dots between the x's mean that they share one. In the lewis structures listed below, m and x represent various elements in the third period of the periodic table. Using lewis symbols, we represent valence electron. Write the formula of each compound using the chemical symbols of each. An atom x with five. Which Element Could X Represent.
From elchoroukhost.net
Periodic Table Of Elements With Names And Symbols Elcho Table Which Element Could X Represent Write the formula of each. In the lewis structures listed below, m and x represent various elements in the third period of the periodic table. Na ne si oo αι ci ооо p s incorrect = consider an. Consider the generic lewis dot symbol for an element. The generic lewis dot symbol for an element with three valence electrons is. Which Element Could X Represent.