Lightning And Thunder Calculator . Learn how to estimate the distance of a lightning strike from the time difference between the flash and the thunder. Use our lightning distance calculator to accurately determine the distance of lightning from your location based on the time elapsed. Input the seconds between lightning and thunder to. Follow the steps and use. Use the speed of sound,. Learn how to calculate the distance of a lightning strike using the time between lightning and thunder. Calculate the distance of lightning from you using the time from flash to thunder and the adjusted speed of sound in air. A lightning distance calculator tells you how many miles or kilometers a lightning strike is from your location. Learn about the history, types, and safety of lightning.
from taylorsciencegeeks.weebly.com
Use the speed of sound,. Learn how to calculate the distance of a lightning strike using the time between lightning and thunder. Use our lightning distance calculator to accurately determine the distance of lightning from your location based on the time elapsed. A lightning distance calculator tells you how many miles or kilometers a lightning strike is from your location. Follow the steps and use. Calculate the distance of lightning from you using the time from flash to thunder and the adjusted speed of sound in air. Learn how to estimate the distance of a lightning strike from the time difference between the flash and the thunder. Learn about the history, types, and safety of lightning. Input the seconds between lightning and thunder to.
Sounds Science News
Lightning And Thunder Calculator Calculate the distance of lightning from you using the time from flash to thunder and the adjusted speed of sound in air. Calculate the distance of lightning from you using the time from flash to thunder and the adjusted speed of sound in air. A lightning distance calculator tells you how many miles or kilometers a lightning strike is from your location. Learn about the history, types, and safety of lightning. Input the seconds between lightning and thunder to. Learn how to estimate the distance of a lightning strike from the time difference between the flash and the thunder. Use the speed of sound,. Follow the steps and use. Learn how to calculate the distance of a lightning strike using the time between lightning and thunder. Use our lightning distance calculator to accurately determine the distance of lightning from your location based on the time elapsed.
From www.omnicalculator.com
Lightning Distance Calculator Lightning And Thunder Calculator A lightning distance calculator tells you how many miles or kilometers a lightning strike is from your location. Learn about the history, types, and safety of lightning. Use our lightning distance calculator to accurately determine the distance of lightning from your location based on the time elapsed. Follow the steps and use. Input the seconds between lightning and thunder to.. Lightning And Thunder Calculator.
From www.youtube.com
How To Calculate Distance Of ThunderStorm WithOut Calculator Even A Lightning And Thunder Calculator Learn about the history, types, and safety of lightning. Follow the steps and use. Use our lightning distance calculator to accurately determine the distance of lightning from your location based on the time elapsed. A lightning distance calculator tells you how many miles or kilometers a lightning strike is from your location. Learn how to calculate the distance of a. Lightning And Thunder Calculator.
From www.whsmith.co.uk
Lightning and Thunder 0659457526054 WHSmith Lightning And Thunder Calculator Calculate the distance of lightning from you using the time from flash to thunder and the adjusted speed of sound in air. Learn about the history, types, and safety of lightning. Use the speed of sound,. Learn how to estimate the distance of a lightning strike from the time difference between the flash and the thunder. Input the seconds between. Lightning And Thunder Calculator.
From www.wcnc.com
How to calculate how far away lightning is by counting seconds Lightning And Thunder Calculator A lightning distance calculator tells you how many miles or kilometers a lightning strike is from your location. Follow the steps and use. Input the seconds between lightning and thunder to. Calculate the distance of lightning from you using the time from flash to thunder and the adjusted speed of sound in air. Use the speed of sound,. Learn how. Lightning And Thunder Calculator.
From www.slideserve.com
PPT EDEXCEL IGCSE / CERTIFICATE IN PHYSICS 34 Sound PowerPoint Lightning And Thunder Calculator Learn how to calculate the distance of a lightning strike using the time between lightning and thunder. Use the speed of sound,. Follow the steps and use. A lightning distance calculator tells you how many miles or kilometers a lightning strike is from your location. Input the seconds between lightning and thunder to. Calculate the distance of lightning from you. Lightning And Thunder Calculator.
From www.numerade.com
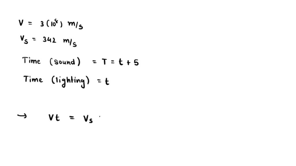
SOLVED Consider a thunderstorm with a flash of lightning followed by a Lightning And Thunder Calculator Calculate the distance of lightning from you using the time from flash to thunder and the adjusted speed of sound in air. Input the seconds between lightning and thunder to. Learn about the history, types, and safety of lightning. Use the speed of sound,. Follow the steps and use. Learn how to calculate the distance of a lightning strike using. Lightning And Thunder Calculator.
From appadvice.com
Lightning Distance Calculate where thunder and lightning struck by Lightning And Thunder Calculator Input the seconds between lightning and thunder to. Calculate the distance of lightning from you using the time from flash to thunder and the adjusted speed of sound in air. Learn how to calculate the distance of a lightning strike using the time between lightning and thunder. A lightning distance calculator tells you how many miles or kilometers a lightning. Lightning And Thunder Calculator.
From www.pinterest.es
Weather Thunder and Lightning Unit Reading passages, Elementary Lightning And Thunder Calculator Use the speed of sound,. Calculate the distance of lightning from you using the time from flash to thunder and the adjusted speed of sound in air. Learn how to calculate the distance of a lightning strike using the time between lightning and thunder. Use our lightning distance calculator to accurately determine the distance of lightning from your location based. Lightning And Thunder Calculator.
From physicscalc.com
Lightning Distance Calculator How to Calculate Storm Distance Lightning And Thunder Calculator Follow the steps and use. Learn about the history, types, and safety of lightning. Input the seconds between lightning and thunder to. A lightning distance calculator tells you how many miles or kilometers a lightning strike is from your location. Calculate the distance of lightning from you using the time from flash to thunder and the adjusted speed of sound. Lightning And Thunder Calculator.
From www.britannica.com
Thunderstorm Lightning, Rain, Wind Britannica Lightning And Thunder Calculator Learn how to calculate the distance of a lightning strike using the time between lightning and thunder. Calculate the distance of lightning from you using the time from flash to thunder and the adjusted speed of sound in air. Use the speed of sound,. Learn about the history, types, and safety of lightning. Follow the steps and use. Input the. Lightning And Thunder Calculator.
From www.customwheeloffset.com
2016 Honda Civic with 19x9.75 38 XXR 527 and 235/35R19 Delinte D7 Lightning And Thunder Calculator Use our lightning distance calculator to accurately determine the distance of lightning from your location based on the time elapsed. Learn how to calculate the distance of a lightning strike using the time between lightning and thunder. Use the speed of sound,. Input the seconds between lightning and thunder to. Learn how to estimate the distance of a lightning strike. Lightning And Thunder Calculator.
From brainly.in
Sound produced by a thunderstorm is heard 10 s after the lightning is Lightning And Thunder Calculator Use our lightning distance calculator to accurately determine the distance of lightning from your location based on the time elapsed. Input the seconds between lightning and thunder to. Learn how to calculate the distance of a lightning strike using the time between lightning and thunder. Learn how to estimate the distance of a lightning strike from the time difference between. Lightning And Thunder Calculator.
From slideplayer.com
Sound and Light. ppt download Lightning And Thunder Calculator Learn how to estimate the distance of a lightning strike from the time difference between the flash and the thunder. Use our lightning distance calculator to accurately determine the distance of lightning from your location based on the time elapsed. Learn how to calculate the distance of a lightning strike using the time between lightning and thunder. Use the speed. Lightning And Thunder Calculator.
From www.vrogue.co
How To Calculate The Distance Of Lightning Lightning vrogue.co Lightning And Thunder Calculator Input the seconds between lightning and thunder to. Learn about the history, types, and safety of lightning. Calculate the distance of lightning from you using the time from flash to thunder and the adjusted speed of sound in air. A lightning distance calculator tells you how many miles or kilometers a lightning strike is from your location. Follow the steps. Lightning And Thunder Calculator.
From www.livescience.com
How far away is lightning Calculate lightning distance Live Science Lightning And Thunder Calculator Learn how to calculate the distance of a lightning strike using the time between lightning and thunder. Follow the steps and use. Input the seconds between lightning and thunder to. Learn about the history, types, and safety of lightning. A lightning distance calculator tells you how many miles or kilometers a lightning strike is from your location. Use our lightning. Lightning And Thunder Calculator.
From www.wikihow.com
Easy Ways to Calculate the Distance from Lightning wikiHow Lightning And Thunder Calculator Calculate the distance of lightning from you using the time from flash to thunder and the adjusted speed of sound in air. Use the speed of sound,. Follow the steps and use. Input the seconds between lightning and thunder to. Learn about the history, types, and safety of lightning. Learn how to estimate the distance of a lightning strike from. Lightning And Thunder Calculator.
From slideplayer.com
Hypothermia Bell ringer What’s the best way to prevent hypothermia Lightning And Thunder Calculator A lightning distance calculator tells you how many miles or kilometers a lightning strike is from your location. Use our lightning distance calculator to accurately determine the distance of lightning from your location based on the time elapsed. Calculate the distance of lightning from you using the time from flash to thunder and the adjusted speed of sound in air.. Lightning And Thunder Calculator.
From www.facebook.com
ScienceKonek GAANO KALAYO ANG KIDLAT?⚡ Since light... Lightning And Thunder Calculator Input the seconds between lightning and thunder to. Learn about the history, types, and safety of lightning. Learn how to estimate the distance of a lightning strike from the time difference between the flash and the thunder. Use the speed of sound,. A lightning distance calculator tells you how many miles or kilometers a lightning strike is from your location.. Lightning And Thunder Calculator.
From www.pinterest.co.uk
Ever wondered why you hear thunder after seeing lightning? Lightning is Lightning And Thunder Calculator Calculate the distance of lightning from you using the time from flash to thunder and the adjusted speed of sound in air. A lightning distance calculator tells you how many miles or kilometers a lightning strike is from your location. Follow the steps and use. Learn how to estimate the distance of a lightning strike from the time difference between. Lightning And Thunder Calculator.
From pxhere.com
Poze nor, fulger, cer, natură, atmosfera, furtună, întuneric Lightning And Thunder Calculator Learn how to calculate the distance of a lightning strike using the time between lightning and thunder. Input the seconds between lightning and thunder to. Follow the steps and use. Learn about the history, types, and safety of lightning. Learn how to estimate the distance of a lightning strike from the time difference between the flash and the thunder. Use. Lightning And Thunder Calculator.
From abzlocal.mx
Esitellä 105+ imagen lightning calculator abzlocal fi Lightning And Thunder Calculator Learn how to estimate the distance of a lightning strike from the time difference between the flash and the thunder. Input the seconds between lightning and thunder to. Learn about the history, types, and safety of lightning. Learn how to calculate the distance of a lightning strike using the time between lightning and thunder. Use our lightning distance calculator to. Lightning And Thunder Calculator.
From www.atmo.arizona.edu
Lecture 33 Lightning Lightning And Thunder Calculator Learn how to estimate the distance of a lightning strike from the time difference between the flash and the thunder. Follow the steps and use. A lightning distance calculator tells you how many miles or kilometers a lightning strike is from your location. Use the speed of sound,. Input the seconds between lightning and thunder to. Use our lightning distance. Lightning And Thunder Calculator.
From www.vrogue.co
How To Calculate The Distance Of Lightning Lightning vrogue.co Lightning And Thunder Calculator Learn how to estimate the distance of a lightning strike from the time difference between the flash and the thunder. A lightning distance calculator tells you how many miles or kilometers a lightning strike is from your location. Learn about the history, types, and safety of lightning. Calculate the distance of lightning from you using the time from flash to. Lightning And Thunder Calculator.
From www.numerade.com
A random sample of 110 lightning ashes in a certain region resulted in Lightning And Thunder Calculator Calculate the distance of lightning from you using the time from flash to thunder and the adjusted speed of sound in air. Learn how to calculate the distance of a lightning strike using the time between lightning and thunder. Learn about the history, types, and safety of lightning. Use the speed of sound,. Use our lightning distance calculator to accurately. Lightning And Thunder Calculator.
From www.numerade.com
SOLVED Consider a thunderstorm with a flash of lightning followed by a Lightning And Thunder Calculator Use our lightning distance calculator to accurately determine the distance of lightning from your location based on the time elapsed. A lightning distance calculator tells you how many miles or kilometers a lightning strike is from your location. Learn about the history, types, and safety of lightning. Learn how to calculate the distance of a lightning strike using the time. Lightning And Thunder Calculator.
From slideplayer.com
PHYSICS 11 TEACHER’S NOTES LESSON. ppt download Lightning And Thunder Calculator Learn how to calculate the distance of a lightning strike using the time between lightning and thunder. Use the speed of sound,. Input the seconds between lightning and thunder to. Follow the steps and use. A lightning distance calculator tells you how many miles or kilometers a lightning strike is from your location. Learn how to estimate the distance of. Lightning And Thunder Calculator.
From www.fixr.com
The Lightning Infographic Fixr Lightning And Thunder Calculator Calculate the distance of lightning from you using the time from flash to thunder and the adjusted speed of sound in air. Input the seconds between lightning and thunder to. Learn about the history, types, and safety of lightning. Use our lightning distance calculator to accurately determine the distance of lightning from your location based on the time elapsed. Follow. Lightning And Thunder Calculator.
From taylorsciencegeeks.weebly.com
Sounds Science News Lightning And Thunder Calculator Use the speed of sound,. A lightning distance calculator tells you how many miles or kilometers a lightning strike is from your location. Learn how to estimate the distance of a lightning strike from the time difference between the flash and the thunder. Input the seconds between lightning and thunder to. Use our lightning distance calculator to accurately determine the. Lightning And Thunder Calculator.
From slideplayer.com
Chapter 6 Environmental Considerations ppt download Lightning And Thunder Calculator A lightning distance calculator tells you how many miles or kilometers a lightning strike is from your location. Calculate the distance of lightning from you using the time from flash to thunder and the adjusted speed of sound in air. Use the speed of sound,. Follow the steps and use. Use our lightning distance calculator to accurately determine the distance. Lightning And Thunder Calculator.
From hackernoon.com
How to a Lightning Calculator by Anonymous Table of Links Lightning And Thunder Calculator Learn about the history, types, and safety of lightning. Calculate the distance of lightning from you using the time from flash to thunder and the adjusted speed of sound in air. Input the seconds between lightning and thunder to. Learn how to estimate the distance of a lightning strike from the time difference between the flash and the thunder. Follow. Lightning And Thunder Calculator.
From www.toppr.com
Lightning develops between the clouds and the ground. Elaborate. Lightning And Thunder Calculator Follow the steps and use. Learn how to calculate the distance of a lightning strike using the time between lightning and thunder. Learn how to estimate the distance of a lightning strike from the time difference between the flash and the thunder. Use our lightning distance calculator to accurately determine the distance of lightning from your location based on the. Lightning And Thunder Calculator.
From itunes.apple.com
Thunderstorm Calculator on the App Store Lightning And Thunder Calculator Input the seconds between lightning and thunder to. Use our lightning distance calculator to accurately determine the distance of lightning from your location based on the time elapsed. Calculate the distance of lightning from you using the time from flash to thunder and the adjusted speed of sound in air. Learn about the history, types, and safety of lightning. A. Lightning And Thunder Calculator.
From www.wikihow.com
How to Calculate the Distance from Lightning 4 Steps Lightning And Thunder Calculator Use our lightning distance calculator to accurately determine the distance of lightning from your location based on the time elapsed. A lightning distance calculator tells you how many miles or kilometers a lightning strike is from your location. Learn how to calculate the distance of a lightning strike using the time between lightning and thunder. Use the speed of sound,.. Lightning And Thunder Calculator.
From www.numerade.com
SOLVED Lightning storm creates both lightning and thunder. You see the Lightning And Thunder Calculator Learn about the history, types, and safety of lightning. Calculate the distance of lightning from you using the time from flash to thunder and the adjusted speed of sound in air. A lightning distance calculator tells you how many miles or kilometers a lightning strike is from your location. Input the seconds between lightning and thunder to. Follow the steps. Lightning And Thunder Calculator.
From www.toppr.com
Sound produced by a thunderstorm is heard 10 s after the lightning is Lightning And Thunder Calculator Use the speed of sound,. A lightning distance calculator tells you how many miles or kilometers a lightning strike is from your location. Calculate the distance of lightning from you using the time from flash to thunder and the adjusted speed of sound in air. Follow the steps and use. Learn how to estimate the distance of a lightning strike. Lightning And Thunder Calculator.