Test Statistic Calculator X1 N1 X2 N2 . The calculator above computes confidence intervals and hypothesis tests for the difference between two population means. By zach bobbitt april 23, 2020. Compute the arithmetic mean of your sample. This test statistic calculator helps to find the static value for hypothesis testing. However, the formula varies with the. From this mean subtract the mean postulated in null. A z score calculator that measures whether two populations differ significantly on some single, categorical characteristic. To calculate the z test statistic: The test statistic formula calculator is used to evaluate the strength of evidence from the sample.
from www.numerade.com
The test statistic formula calculator is used to evaluate the strength of evidence from the sample. The calculator above computes confidence intervals and hypothesis tests for the difference between two population means. However, the formula varies with the. To calculate the z test statistic: This test statistic calculator helps to find the static value for hypothesis testing. From this mean subtract the mean postulated in null. By zach bobbitt april 23, 2020. A z score calculator that measures whether two populations differ significantly on some single, categorical characteristic. Compute the arithmetic mean of your sample.
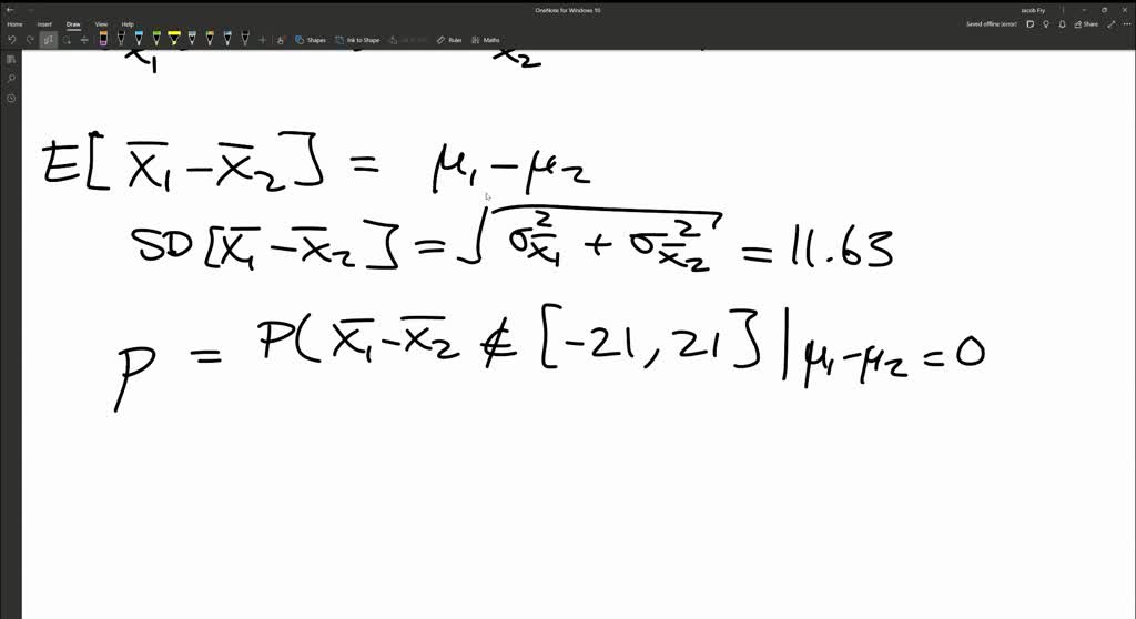
SOLVED A twoproportions ztest is to be performed. The null
Test Statistic Calculator X1 N1 X2 N2 Compute the arithmetic mean of your sample. A z score calculator that measures whether two populations differ significantly on some single, categorical characteristic. This test statistic calculator helps to find the static value for hypothesis testing. The test statistic formula calculator is used to evaluate the strength of evidence from the sample. However, the formula varies with the. To calculate the z test statistic: The calculator above computes confidence intervals and hypothesis tests for the difference between two population means. Compute the arithmetic mean of your sample. From this mean subtract the mean postulated in null. By zach bobbitt april 23, 2020.
From slideplayer.com
Comparing Two Proportions ppt download Test Statistic Calculator X1 N1 X2 N2 From this mean subtract the mean postulated in null. This test statistic calculator helps to find the static value for hypothesis testing. The test statistic formula calculator is used to evaluate the strength of evidence from the sample. A z score calculator that measures whether two populations differ significantly on some single, categorical characteristic. Compute the arithmetic mean of your. Test Statistic Calculator X1 N1 X2 N2.
From www.numerade.com
SOLVED Consider the following hypothesis statement using α = 0.05 and Test Statistic Calculator X1 N1 X2 N2 A z score calculator that measures whether two populations differ significantly on some single, categorical characteristic. To calculate the z test statistic: This test statistic calculator helps to find the static value for hypothesis testing. The test statistic formula calculator is used to evaluate the strength of evidence from the sample. By zach bobbitt april 23, 2020. From this mean. Test Statistic Calculator X1 N1 X2 N2.
From www.chegg.com
Solved Two independent random samples were taken from two Test Statistic Calculator X1 N1 X2 N2 The test statistic formula calculator is used to evaluate the strength of evidence from the sample. To calculate the z test statistic: This test statistic calculator helps to find the static value for hypothesis testing. A z score calculator that measures whether two populations differ significantly on some single, categorical characteristic. From this mean subtract the mean postulated in null.. Test Statistic Calculator X1 N1 X2 N2.
From www.chegg.com
Solved A random sample of n1 = 16 communities in western Test Statistic Calculator X1 N1 X2 N2 The test statistic formula calculator is used to evaluate the strength of evidence from the sample. Compute the arithmetic mean of your sample. The calculator above computes confidence intervals and hypothesis tests for the difference between two population means. To calculate the z test statistic: From this mean subtract the mean postulated in null. A z score calculator that measures. Test Statistic Calculator X1 N1 X2 N2.
From www.numerade.com
SOLVED Example 6.3.2 (Likelihood Ratio Test for the Mean of a Normal Test Statistic Calculator X1 N1 X2 N2 Compute the arithmetic mean of your sample. The test statistic formula calculator is used to evaluate the strength of evidence from the sample. However, the formula varies with the. A z score calculator that measures whether two populations differ significantly on some single, categorical characteristic. By zach bobbitt april 23, 2020. To calculate the z test statistic: This test statistic. Test Statistic Calculator X1 N1 X2 N2.
From www.chegg.com
Solved Consider the following competing hypotheses and Test Statistic Calculator X1 N1 X2 N2 From this mean subtract the mean postulated in null. This test statistic calculator helps to find the static value for hypothesis testing. A z score calculator that measures whether two populations differ significantly on some single, categorical characteristic. By zach bobbitt april 23, 2020. To calculate the z test statistic: The test statistic formula calculator is used to evaluate the. Test Statistic Calculator X1 N1 X2 N2.
From www.chegg.com
Solved If two random samples of sizes ni and n2 are selected Test Statistic Calculator X1 N1 X2 N2 To calculate the z test statistic: Compute the arithmetic mean of your sample. This test statistic calculator helps to find the static value for hypothesis testing. A z score calculator that measures whether two populations differ significantly on some single, categorical characteristic. The test statistic formula calculator is used to evaluate the strength of evidence from the sample. However, the. Test Statistic Calculator X1 N1 X2 N2.
From www.chegg.com
Solved QUESTION 1 Assume that you plan to use a significance Test Statistic Calculator X1 N1 X2 N2 Compute the arithmetic mean of your sample. This test statistic calculator helps to find the static value for hypothesis testing. However, the formula varies with the. The calculator above computes confidence intervals and hypothesis tests for the difference between two population means. The test statistic formula calculator is used to evaluate the strength of evidence from the sample. A z. Test Statistic Calculator X1 N1 X2 N2.
From kids.yahoo.co.jp
N1がN2の検索結果 Yahoo!きっず検索 Test Statistic Calculator X1 N1 X2 N2 Compute the arithmetic mean of your sample. However, the formula varies with the. This test statistic calculator helps to find the static value for hypothesis testing. The calculator above computes confidence intervals and hypothesis tests for the difference between two population means. A z score calculator that measures whether two populations differ significantly on some single, categorical characteristic. From this. Test Statistic Calculator X1 N1 X2 N2.
From stackoverflow.com
python 3.x hypothesis test success rates between two samples with Test Statistic Calculator X1 N1 X2 N2 The calculator above computes confidence intervals and hypothesis tests for the difference between two population means. A z score calculator that measures whether two populations differ significantly on some single, categorical characteristic. By zach bobbitt april 23, 2020. From this mean subtract the mean postulated in null. However, the formula varies with the. Compute the arithmetic mean of your sample.. Test Statistic Calculator X1 N1 X2 N2.
From www.slideserve.com
PPT function[y,n]=sigadd(x1,n1,x2,n2) n1index vector for x1 n2 Test Statistic Calculator X1 N1 X2 N2 The test statistic formula calculator is used to evaluate the strength of evidence from the sample. By zach bobbitt april 23, 2020. A z score calculator that measures whether two populations differ significantly on some single, categorical characteristic. However, the formula varies with the. To calculate the z test statistic: Compute the arithmetic mean of your sample. This test statistic. Test Statistic Calculator X1 N1 X2 N2.
From www.numerade.com
SOLVED Two samples are taken with the following sample means, sizes Test Statistic Calculator X1 N1 X2 N2 Compute the arithmetic mean of your sample. A z score calculator that measures whether two populations differ significantly on some single, categorical characteristic. From this mean subtract the mean postulated in null. By zach bobbitt april 23, 2020. To calculate the z test statistic: The test statistic formula calculator is used to evaluate the strength of evidence from the sample.. Test Statistic Calculator X1 N1 X2 N2.
From studylib.net
Question 1. For the given data, (a) find the test statistic, (b) find the Test Statistic Calculator X1 N1 X2 N2 The calculator above computes confidence intervals and hypothesis tests for the difference between two population means. Compute the arithmetic mean of your sample. From this mean subtract the mean postulated in null. The test statistic formula calculator is used to evaluate the strength of evidence from the sample. This test statistic calculator helps to find the static value for hypothesis. Test Statistic Calculator X1 N1 X2 N2.
From www.numerade.com
SOLVED A study of fox rabies in a country gave the following Test Statistic Calculator X1 N1 X2 N2 However, the formula varies with the. By zach bobbitt april 23, 2020. Compute the arithmetic mean of your sample. To calculate the z test statistic: This test statistic calculator helps to find the static value for hypothesis testing. A z score calculator that measures whether two populations differ significantly on some single, categorical characteristic. From this mean subtract the mean. Test Statistic Calculator X1 N1 X2 N2.
From www.numerade.com
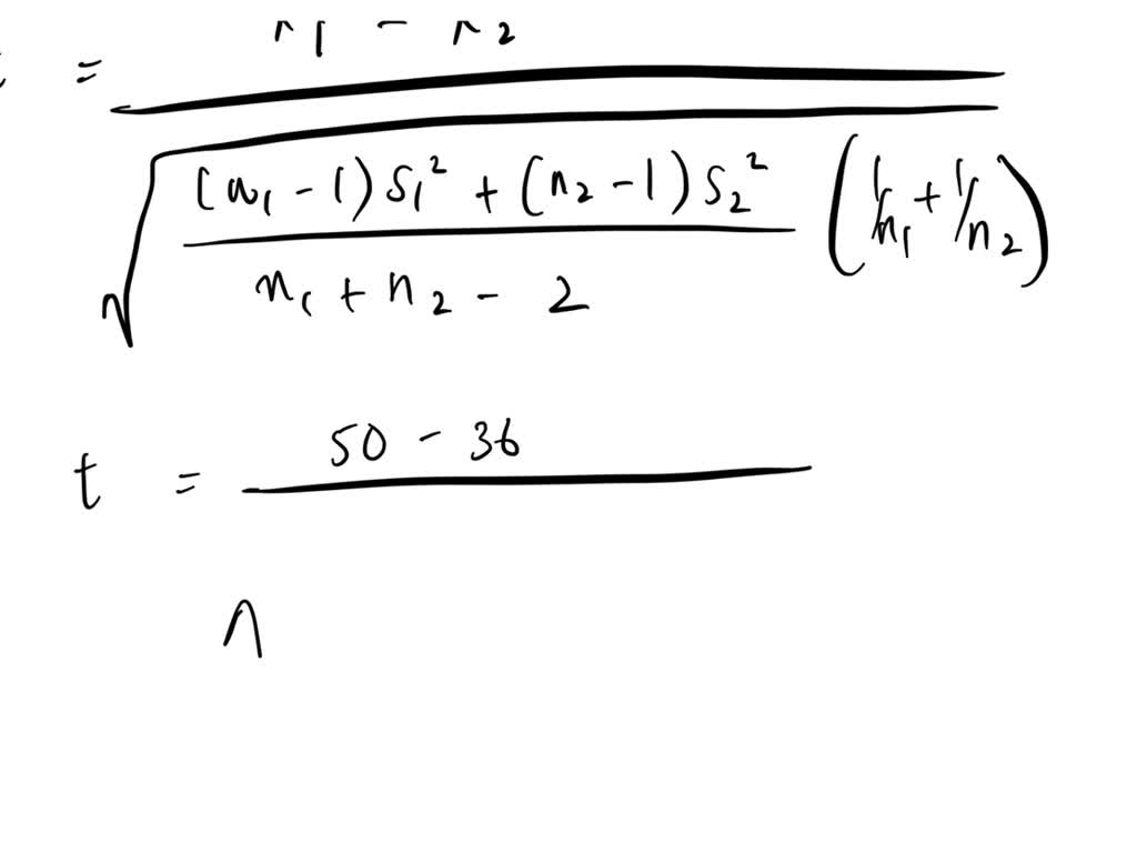
SOLVED Using the following information, calculate the ttest Test Statistic Calculator X1 N1 X2 N2 However, the formula varies with the. Compute the arithmetic mean of your sample. By zach bobbitt april 23, 2020. This test statistic calculator helps to find the static value for hypothesis testing. A z score calculator that measures whether two populations differ significantly on some single, categorical characteristic. The calculator above computes confidence intervals and hypothesis tests for the difference. Test Statistic Calculator X1 N1 X2 N2.
From www.numerade.com
SOLVED Texts Conduct the following test at the α = 0.10 level of Test Statistic Calculator X1 N1 X2 N2 A z score calculator that measures whether two populations differ significantly on some single, categorical characteristic. The test statistic formula calculator is used to evaluate the strength of evidence from the sample. Compute the arithmetic mean of your sample. From this mean subtract the mean postulated in null. To calculate the z test statistic: However, the formula varies with the.. Test Statistic Calculator X1 N1 X2 N2.
From www.numerade.com
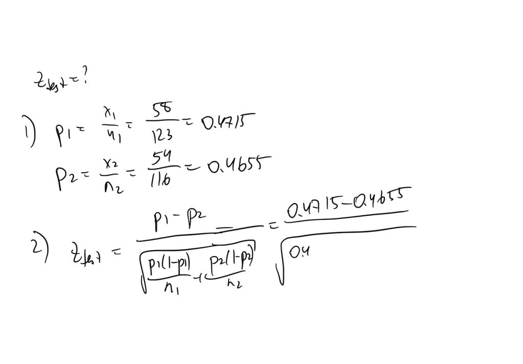
SOLVED Test the claim that p1 ≠ p2. Use α = 0.02. Assume the samples Test Statistic Calculator X1 N1 X2 N2 This test statistic calculator helps to find the static value for hypothesis testing. By zach bobbitt april 23, 2020. However, the formula varies with the. To calculate the z test statistic: The calculator above computes confidence intervals and hypothesis tests for the difference between two population means. The test statistic formula calculator is used to evaluate the strength of evidence. Test Statistic Calculator X1 N1 X2 N2.
From slideplayer.com
Independent Samples Comparing Proportions ppt download Test Statistic Calculator X1 N1 X2 N2 However, the formula varies with the. From this mean subtract the mean postulated in null. The test statistic formula calculator is used to evaluate the strength of evidence from the sample. The calculator above computes confidence intervals and hypothesis tests for the difference between two population means. By zach bobbitt april 23, 2020. To calculate the z test statistic: This. Test Statistic Calculator X1 N1 X2 N2.
From slideplayer.com
Lesson Comparing Two Proportions. Inference Toolbox Review Step 1 Test Statistic Calculator X1 N1 X2 N2 However, the formula varies with the. From this mean subtract the mean postulated in null. The test statistic formula calculator is used to evaluate the strength of evidence from the sample. The calculator above computes confidence intervals and hypothesis tests for the difference between two population means. Compute the arithmetic mean of your sample. A z score calculator that measures. Test Statistic Calculator X1 N1 X2 N2.
From www.numerade.com
SOLVED Consider the hypothesis statement shown below using α=0.01 and Test Statistic Calculator X1 N1 X2 N2 However, the formula varies with the. Compute the arithmetic mean of your sample. The calculator above computes confidence intervals and hypothesis tests for the difference between two population means. From this mean subtract the mean postulated in null. This test statistic calculator helps to find the static value for hypothesis testing. A z score calculator that measures whether two populations. Test Statistic Calculator X1 N1 X2 N2.
From www.numerade.com
SOLVED Consider the following hypothesis test. H0 1 2 = 0 Ha 1 2 Test Statistic Calculator X1 N1 X2 N2 Compute the arithmetic mean of your sample. A z score calculator that measures whether two populations differ significantly on some single, categorical characteristic. To calculate the z test statistic: By zach bobbitt april 23, 2020. This test statistic calculator helps to find the static value for hypothesis testing. From this mean subtract the mean postulated in null. The test statistic. Test Statistic Calculator X1 N1 X2 N2.
From www.numerade.com
SOLVED Assume that you have a sample of n1=7 , with the sample mean X1 Test Statistic Calculator X1 N1 X2 N2 This test statistic calculator helps to find the static value for hypothesis testing. The test statistic formula calculator is used to evaluate the strength of evidence from the sample. However, the formula varies with the. From this mean subtract the mean postulated in null. A z score calculator that measures whether two populations differ significantly on some single, categorical characteristic.. Test Statistic Calculator X1 N1 X2 N2.
From www.chegg.com
Solved Consider the following competing hypotheses and Test Statistic Calculator X1 N1 X2 N2 To calculate the z test statistic: Compute the arithmetic mean of your sample. From this mean subtract the mean postulated in null. This test statistic calculator helps to find the static value for hypothesis testing. By zach bobbitt april 23, 2020. However, the formula varies with the. The test statistic formula calculator is used to evaluate the strength of evidence. Test Statistic Calculator X1 N1 X2 N2.
From www.numerade.com
SOLVED if possible, could you show me how to do it in the calculator Test Statistic Calculator X1 N1 X2 N2 However, the formula varies with the. The test statistic formula calculator is used to evaluate the strength of evidence from the sample. By zach bobbitt april 23, 2020. To calculate the z test statistic: From this mean subtract the mean postulated in null. This test statistic calculator helps to find the static value for hypothesis testing. Compute the arithmetic mean. Test Statistic Calculator X1 N1 X2 N2.
From www.chegg.com
Solved 1. Random variables X1 and X2 have the joint PMF Test Statistic Calculator X1 N1 X2 N2 By zach bobbitt april 23, 2020. To calculate the z test statistic: From this mean subtract the mean postulated in null. A z score calculator that measures whether two populations differ significantly on some single, categorical characteristic. This test statistic calculator helps to find the static value for hypothesis testing. Compute the arithmetic mean of your sample. The calculator above. Test Statistic Calculator X1 N1 X2 N2.
From www.numerade.com
SOLVED Consider the following hypothesis statement using α=0.05 and Test Statistic Calculator X1 N1 X2 N2 Compute the arithmetic mean of your sample. A z score calculator that measures whether two populations differ significantly on some single, categorical characteristic. From this mean subtract the mean postulated in null. However, the formula varies with the. To calculate the z test statistic: By zach bobbitt april 23, 2020. The test statistic formula calculator is used to evaluate the. Test Statistic Calculator X1 N1 X2 N2.
From www.qualitygurus.com
Two Sample t Test (Independent Samples) Quality Gurus Test Statistic Calculator X1 N1 X2 N2 The test statistic formula calculator is used to evaluate the strength of evidence from the sample. By zach bobbitt april 23, 2020. The calculator above computes confidence intervals and hypothesis tests for the difference between two population means. A z score calculator that measures whether two populations differ significantly on some single, categorical characteristic. This test statistic calculator helps to. Test Statistic Calculator X1 N1 X2 N2.
From slideplayer.com
Lecture 6 Comparing Proportions (II) ppt download Test Statistic Calculator X1 N1 X2 N2 The test statistic formula calculator is used to evaluate the strength of evidence from the sample. However, the formula varies with the. A z score calculator that measures whether two populations differ significantly on some single, categorical characteristic. By zach bobbitt april 23, 2020. Compute the arithmetic mean of your sample. The calculator above computes confidence intervals and hypothesis tests. Test Statistic Calculator X1 N1 X2 N2.
From www.chegg.com
Consider two independent random samples Test Statistic Calculator X1 N1 X2 N2 Compute the arithmetic mean of your sample. A z score calculator that measures whether two populations differ significantly on some single, categorical characteristic. The test statistic formula calculator is used to evaluate the strength of evidence from the sample. To calculate the z test statistic: This test statistic calculator helps to find the static value for hypothesis testing. The calculator. Test Statistic Calculator X1 N1 X2 N2.
From www.numerade.com
Let X1, X2, Xn (n > 1) be iid random variables having the Normal Test Statistic Calculator X1 N1 X2 N2 From this mean subtract the mean postulated in null. A z score calculator that measures whether two populations differ significantly on some single, categorical characteristic. This test statistic calculator helps to find the static value for hypothesis testing. Compute the arithmetic mean of your sample. The calculator above computes confidence intervals and hypothesis tests for the difference between two population. Test Statistic Calculator X1 N1 X2 N2.
From www.numerade.com
(a) Let X = X1, X2, Xn be a random sample of size n from the zeromean Test Statistic Calculator X1 N1 X2 N2 The calculator above computes confidence intervals and hypothesis tests for the difference between two population means. The test statistic formula calculator is used to evaluate the strength of evidence from the sample. To calculate the z test statistic: A z score calculator that measures whether two populations differ significantly on some single, categorical characteristic. Compute the arithmetic mean of your. Test Statistic Calculator X1 N1 X2 N2.
From www.numerade.com
SOLVED A twoproportions ztest is to be performed. The null Test Statistic Calculator X1 N1 X2 N2 A z score calculator that measures whether two populations differ significantly on some single, categorical characteristic. By zach bobbitt april 23, 2020. From this mean subtract the mean postulated in null. The calculator above computes confidence intervals and hypothesis tests for the difference between two population means. However, the formula varies with the. This test statistic calculator helps to find. Test Statistic Calculator X1 N1 X2 N2.
From slideplayer.com
Independent Samples Confidence Intervals ppt download Test Statistic Calculator X1 N1 X2 N2 The calculator above computes confidence intervals and hypothesis tests for the difference between two population means. From this mean subtract the mean postulated in null. A z score calculator that measures whether two populations differ significantly on some single, categorical characteristic. However, the formula varies with the. To calculate the z test statistic: By zach bobbitt april 23, 2020. This. Test Statistic Calculator X1 N1 X2 N2.
From www.chegg.com
Solved 2.7. Suppose that we are testing Ho μ1 Ha versus Test Statistic Calculator X1 N1 X2 N2 This test statistic calculator helps to find the static value for hypothesis testing. The test statistic formula calculator is used to evaluate the strength of evidence from the sample. To calculate the z test statistic: The calculator above computes confidence intervals and hypothesis tests for the difference between two population means. A z score calculator that measures whether two populations. Test Statistic Calculator X1 N1 X2 N2.
From www.chegg.com
Solved (a) What is the value of the test statistic? A Test Statistic Calculator X1 N1 X2 N2 By zach bobbitt april 23, 2020. The calculator above computes confidence intervals and hypothesis tests for the difference between two population means. However, the formula varies with the. To calculate the z test statistic: A z score calculator that measures whether two populations differ significantly on some single, categorical characteristic. Compute the arithmetic mean of your sample. From this mean. Test Statistic Calculator X1 N1 X2 N2.