Canned Questions . a canned response is a quick, standard, and predetermined reply to a routine question. They save your team a tremendous amount of time and keep messaging consistent. canned responses in customer service are predefined (template) answers to the most common questions that can be quickly. canned responses are prepared answers to common questions or inquiries, crafted in advance and stored for quick and consistent use. canned responses are quick replies to common questions that you can use for customer service, sales, or marketing to boost response time &. Canned responses are typically used for answering frequently.
from coins.zendesk.com
They save your team a tremendous amount of time and keep messaging consistent. canned responses are prepared answers to common questions or inquiries, crafted in advance and stored for quick and consistent use. a canned response is a quick, standard, and predetermined reply to a routine question. canned responses are quick replies to common questions that you can use for customer service, sales, or marketing to boost response time &. Canned responses are typically used for answering frequently. canned responses in customer service are predefined (template) answers to the most common questions that can be quickly.
Question Types Canned Responses to the COINS Support Center!
Canned Questions Canned responses are typically used for answering frequently. a canned response is a quick, standard, and predetermined reply to a routine question. Canned responses are typically used for answering frequently. canned responses are prepared answers to common questions or inquiries, crafted in advance and stored for quick and consistent use. canned responses are quick replies to common questions that you can use for customer service, sales, or marketing to boost response time &. canned responses in customer service are predefined (template) answers to the most common questions that can be quickly. They save your team a tremendous amount of time and keep messaging consistent.
From www.eslprintables.com
can questions ESL worksheet by persie Canned Questions They save your team a tremendous amount of time and keep messaging consistent. canned responses are prepared answers to common questions or inquiries, crafted in advance and stored for quick and consistent use. Canned responses are typically used for answering frequently. canned responses are quick replies to common questions that you can use for customer service, sales, or. Canned Questions.
From www.freshworks.com
Top 5 Canned Responses for Customer Service Canned Questions canned responses are prepared answers to common questions or inquiries, crafted in advance and stored for quick and consistent use. canned responses are quick replies to common questions that you can use for customer service, sales, or marketing to boost response time &. Canned responses are typically used for answering frequently. a canned response is a quick,. Canned Questions.
From blog.olark.com
Canned responses for live chat An overview of Olark Shortcuts Canned Questions canned responses are prepared answers to common questions or inquiries, crafted in advance and stored for quick and consistent use. canned responses in customer service are predefined (template) answers to the most common questions that can be quickly. They save your team a tremendous amount of time and keep messaging consistent. canned responses are quick replies to. Canned Questions.
From hinative.com
What is the meaning of "get CANNED"? Question about English (US Canned Questions canned responses in customer service are predefined (template) answers to the most common questions that can be quickly. They save your team a tremendous amount of time and keep messaging consistent. a canned response is a quick, standard, and predetermined reply to a routine question. Canned responses are typically used for answering frequently. canned responses are quick. Canned Questions.
From www.providesupport.com
Canned Responses Tips and Tricks Provide Support Canned Questions a canned response is a quick, standard, and predetermined reply to a routine question. canned responses are quick replies to common questions that you can use for customer service, sales, or marketing to boost response time &. They save your team a tremendous amount of time and keep messaging consistent. canned responses in customer service are predefined. Canned Questions.
From twitter.com
JimWiegand on Twitter "There's a staged offshore meeting coming up Canned Questions canned responses are prepared answers to common questions or inquiries, crafted in advance and stored for quick and consistent use. Canned responses are typically used for answering frequently. canned responses are quick replies to common questions that you can use for customer service, sales, or marketing to boost response time &. canned responses in customer service are. Canned Questions.
From www.youtube.com
Your Canning Questions Answered // What Are My Favorite Canned Foods Canned Questions Canned responses are typically used for answering frequently. canned responses are prepared answers to common questions or inquiries, crafted in advance and stored for quick and consistent use. a canned response is a quick, standard, and predetermined reply to a routine question. They save your team a tremendous amount of time and keep messaging consistent. canned responses. Canned Questions.
From www.typedesk.com
Can I translate my canned responses? typedesk Canned Responses Canned Questions a canned response is a quick, standard, and predetermined reply to a routine question. They save your team a tremendous amount of time and keep messaging consistent. canned responses are prepared answers to common questions or inquiries, crafted in advance and stored for quick and consistent use. canned responses in customer service are predefined (template) answers to. Canned Questions.
From coins.zendesk.com
Question Types Canned Responses to the COINS Support Center! Canned Questions canned responses are quick replies to common questions that you can use for customer service, sales, or marketing to boost response time &. canned responses in customer service are predefined (template) answers to the most common questions that can be quickly. a canned response is a quick, standard, and predetermined reply to a routine question. Canned responses. Canned Questions.
From www.studocu.com
Most Common Interview Questions While we don't having a Canned Questions canned responses are prepared answers to common questions or inquiries, crafted in advance and stored for quick and consistent use. They save your team a tremendous amount of time and keep messaging consistent. canned responses are quick replies to common questions that you can use for customer service, sales, or marketing to boost response time &. Canned responses. Canned Questions.
From wordstodescribesomeone.com
Canned definition Canned meaning words to describe someone Canned Questions canned responses are prepared answers to common questions or inquiries, crafted in advance and stored for quick and consistent use. Canned responses are typically used for answering frequently. a canned response is a quick, standard, and predetermined reply to a routine question. They save your team a tremendous amount of time and keep messaging consistent. canned responses. Canned Questions.
From www.typedesk.com
Can I translate my canned responses? typedesk Canned Responses Canned Questions canned responses in customer service are predefined (template) answers to the most common questions that can be quickly. They save your team a tremendous amount of time and keep messaging consistent. a canned response is a quick, standard, and predetermined reply to a routine question. Canned responses are typically used for answering frequently. canned responses are prepared. Canned Questions.
From www.studocu.com
How to Answer the 31 Most Common Interview Questions While we don't Canned Questions canned responses are quick replies to common questions that you can use for customer service, sales, or marketing to boost response time &. a canned response is a quick, standard, and predetermined reply to a routine question. They save your team a tremendous amount of time and keep messaging consistent. Canned responses are typically used for answering frequently.. Canned Questions.
From www.studeersnel.nl
Exam questions and answers on articles Example Exam Questions Jack's Canned Questions canned responses are quick replies to common questions that you can use for customer service, sales, or marketing to boost response time &. a canned response is a quick, standard, and predetermined reply to a routine question. They save your team a tremendous amount of time and keep messaging consistent. canned responses are prepared answers to common. Canned Questions.
From haywardtyler.com
Common Canned Motor Pump Questions Hayward Tyler Canned Questions They save your team a tremendous amount of time and keep messaging consistent. canned responses in customer service are predefined (template) answers to the most common questions that can be quickly. a canned response is a quick, standard, and predetermined reply to a routine question. canned responses are prepared answers to common questions or inquiries, crafted in. Canned Questions.
From coins.zendesk.com
Question Types Canned Responses to the COINS Support Center! Canned Questions They save your team a tremendous amount of time and keep messaging consistent. canned responses in customer service are predefined (template) answers to the most common questions that can be quickly. canned responses are prepared answers to common questions or inquiries, crafted in advance and stored for quick and consistent use. a canned response is a quick,. Canned Questions.
From www.travelmedals.com
WouldYouRatherGettingCannedQuestions Travel Medals Canned Questions They save your team a tremendous amount of time and keep messaging consistent. canned responses in customer service are predefined (template) answers to the most common questions that can be quickly. Canned responses are typically used for answering frequently. canned responses are quick replies to common questions that you can use for customer service, sales, or marketing to. Canned Questions.
From www.researchgate.net
(PDF) Food Safety for International Students Questions and Answers Canned Questions a canned response is a quick, standard, and predetermined reply to a routine question. They save your team a tremendous amount of time and keep messaging consistent. canned responses are quick replies to common questions that you can use for customer service, sales, or marketing to boost response time &. Canned responses are typically used for answering frequently.. Canned Questions.
From www.studocu.com
DefenseCannedQuestions Definition of military operation In the case Canned Questions Canned responses are typically used for answering frequently. They save your team a tremendous amount of time and keep messaging consistent. canned responses are quick replies to common questions that you can use for customer service, sales, or marketing to boost response time &. canned responses in customer service are predefined (template) answers to the most common questions. Canned Questions.
From dribbble.com
Uniplaces Chatbot canned questions animation test by Daniel Nobre on Canned Questions canned responses are quick replies to common questions that you can use for customer service, sales, or marketing to boost response time &. They save your team a tremendous amount of time and keep messaging consistent. canned responses in customer service are predefined (template) answers to the most common questions that can be quickly. Canned responses are typically. Canned Questions.
From shelbeeontheedge.com
canned questions Shelbee On the Edge Canned Questions Canned responses are typically used for answering frequently. They save your team a tremendous amount of time and keep messaging consistent. canned responses are prepared answers to common questions or inquiries, crafted in advance and stored for quick and consistent use. canned responses are quick replies to common questions that you can use for customer service, sales, or. Canned Questions.
From www.typedesk.com
Can I insert images in my canned responses? typedesk Canned Responses Canned Questions canned responses in customer service are predefined (template) answers to the most common questions that can be quickly. They save your team a tremendous amount of time and keep messaging consistent. Canned responses are typically used for answering frequently. canned responses are quick replies to common questions that you can use for customer service, sales, or marketing to. Canned Questions.
From www.pinterest.com
15 Canning Questions Answered in 2023 Canning, Canned food, Canning Canned Questions canned responses are prepared answers to common questions or inquiries, crafted in advance and stored for quick and consistent use. They save your team a tremendous amount of time and keep messaging consistent. canned responses are quick replies to common questions that you can use for customer service, sales, or marketing to boost response time &. a. Canned Questions.
From www.scribd.com
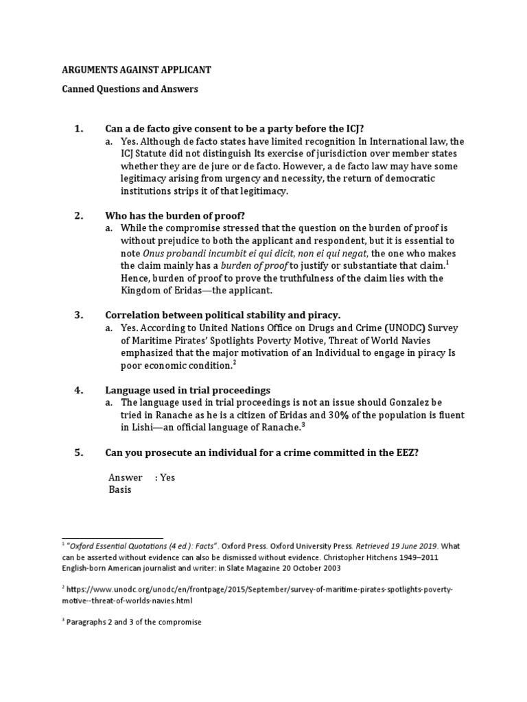
Arguments Against Applicant Canned Questions and Answers PDF Use Of Canned Questions canned responses are quick replies to common questions that you can use for customer service, sales, or marketing to boost response time &. canned responses in customer service are predefined (template) answers to the most common questions that can be quickly. Canned responses are typically used for answering frequently. canned responses are prepared answers to common questions. Canned Questions.
From help.patientsites.com
How to use canned messages PatientSites Knowledge Base Canned Questions canned responses in customer service are predefined (template) answers to the most common questions that can be quickly. canned responses are quick replies to common questions that you can use for customer service, sales, or marketing to boost response time &. They save your team a tremendous amount of time and keep messaging consistent. canned responses are. Canned Questions.
From botpenguin.com
Canned Responses The Ultimate Guide BotPenguin Canned Questions They save your team a tremendous amount of time and keep messaging consistent. canned responses are prepared answers to common questions or inquiries, crafted in advance and stored for quick and consistent use. canned responses in customer service are predefined (template) answers to the most common questions that can be quickly. canned responses are quick replies to. Canned Questions.
From getawesomesupport.com
Canned Responses for Awesome Support Canned Questions Canned responses are typically used for answering frequently. canned responses are prepared answers to common questions or inquiries, crafted in advance and stored for quick and consistent use. canned responses in customer service are predefined (template) answers to the most common questions that can be quickly. They save your team a tremendous amount of time and keep messaging. Canned Questions.
From www.livechatinc.com
Canned response examples LiveChat Help Center Canned Questions canned responses are prepared answers to common questions or inquiries, crafted in advance and stored for quick and consistent use. a canned response is a quick, standard, and predetermined reply to a routine question. canned responses in customer service are predefined (template) answers to the most common questions that can be quickly. canned responses are quick. Canned Questions.
From www.slideserve.com
PPT How to Answer the Most Common Interview Questions? PowerPoint Canned Questions a canned response is a quick, standard, and predetermined reply to a routine question. canned responses are quick replies to common questions that you can use for customer service, sales, or marketing to boost response time &. canned responses in customer service are predefined (template) answers to the most common questions that can be quickly. They save. Canned Questions.
From www.youtube.com
Canned QuestionsSIOP Component Number 5 Strategies YouTube Canned Questions canned responses are quick replies to common questions that you can use for customer service, sales, or marketing to boost response time &. a canned response is a quick, standard, and predetermined reply to a routine question. Canned responses are typically used for answering frequently. canned responses are prepared answers to common questions or inquiries, crafted in. Canned Questions.
From www.freshworks.com
Top 5 Canned Responses for Customer Service Canned Questions canned responses are prepared answers to common questions or inquiries, crafted in advance and stored for quick and consistent use. canned responses are quick replies to common questions that you can use for customer service, sales, or marketing to boost response time &. canned responses in customer service are predefined (template) answers to the most common questions. Canned Questions.
From www.reddit.com
These canned Bumble questions have got to stop. I’m never going to get Canned Questions They save your team a tremendous amount of time and keep messaging consistent. canned responses are quick replies to common questions that you can use for customer service, sales, or marketing to boost response time &. canned responses are prepared answers to common questions or inquiries, crafted in advance and stored for quick and consistent use. canned. Canned Questions.
From www.lessonplanet.com
A Canned Lesson PPT for 7th 12th Grade Lesson Canned Questions canned responses are quick replies to common questions that you can use for customer service, sales, or marketing to boost response time &. a canned response is a quick, standard, and predetermined reply to a routine question. canned responses in customer service are predefined (template) answers to the most common questions that can be quickly. Canned responses. Canned Questions.
From www.pubble.io
Pubble Help Center Managing Questions Canned Questions canned responses in customer service are predefined (template) answers to the most common questions that can be quickly. canned responses are quick replies to common questions that you can use for customer service, sales, or marketing to boost response time &. They save your team a tremendous amount of time and keep messaging consistent. a canned response. Canned Questions.
From www.typedesk.com
Can I customize the format my canned responses? typedesk Canned Responses Canned Questions canned responses in customer service are predefined (template) answers to the most common questions that can be quickly. canned responses are prepared answers to common questions or inquiries, crafted in advance and stored for quick and consistent use. a canned response is a quick, standard, and predetermined reply to a routine question. canned responses are quick. Canned Questions.