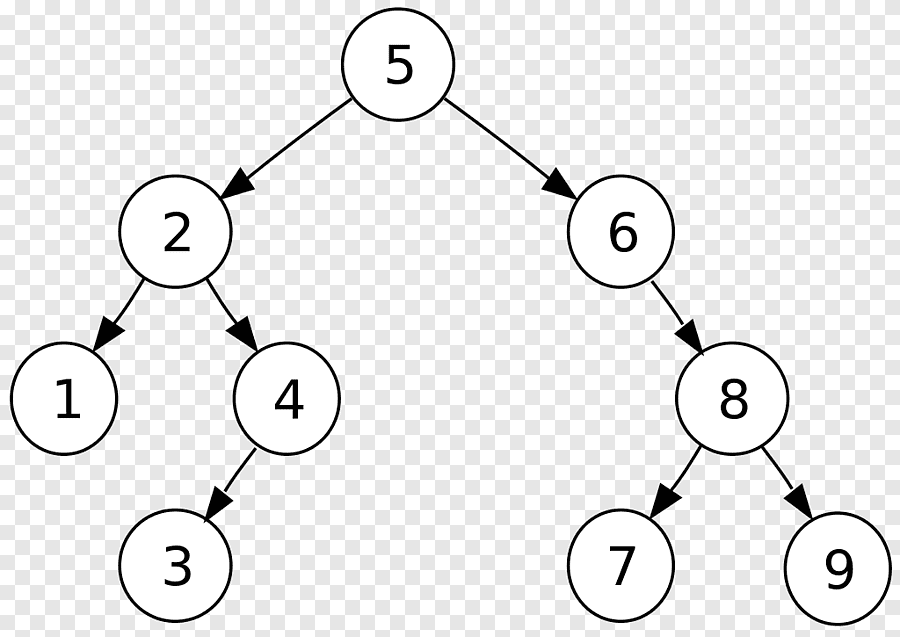
What Are Trees Used For In Computer Science . This tutorial covers several key. It is commonly used in. A binary tree is either an external node or an internal node attached to an ordered pair of binary trees called the left subtree and the right subtree of that node. Trees are a fundamental data structure in computer science, used to represent hierarchical relationships. Its representation, importance, types, operations, implementation, applications,. They don’t store data in a linear way. Trees are used in many facets of development including use in: Learn the fundamentals of tree data structure: A binary tree data structure is a hierarchical data structure in which each node has at most two children, referred to as the left child and the right child. At this point you may be wondering what trees are used for.
from ibrahimhasnat.com
Its representation, importance, types, operations, implementation, applications,. Trees are used in many facets of development including use in: Trees are a fundamental data structure in computer science, used to represent hierarchical relationships. A binary tree is either an external node or an internal node attached to an ordered pair of binary trees called the left subtree and the right subtree of that node. A binary tree data structure is a hierarchical data structure in which each node has at most two children, referred to as the left child and the right child. At this point you may be wondering what trees are used for. They don’t store data in a linear way. Learn the fundamentals of tree data structure: It is commonly used in. This tutorial covers several key.
Overview of Tree Data Structure Ibrahim Hasnat
What Are Trees Used For In Computer Science Learn the fundamentals of tree data structure: Learn the fundamentals of tree data structure: Trees are a fundamental data structure in computer science, used to represent hierarchical relationships. A binary tree is either an external node or an internal node attached to an ordered pair of binary trees called the left subtree and the right subtree of that node. At this point you may be wondering what trees are used for. This tutorial covers several key. Trees are used in many facets of development including use in: A binary tree data structure is a hierarchical data structure in which each node has at most two children, referred to as the left child and the right child. Its representation, importance, types, operations, implementation, applications,. It is commonly used in. They don’t store data in a linear way.
From blog.equinix.com
Equinix to Pilot AI of Forests Interconnections The Equinix Blog What Are Trees Used For In Computer Science A binary tree data structure is a hierarchical data structure in which each node has at most two children, referred to as the left child and the right child. Trees are used in many facets of development including use in: At this point you may be wondering what trees are used for. Trees are a fundamental data structure in computer. What Are Trees Used For In Computer Science.
From computersciencewiki.org
Operating system Computer Science Wiki What Are Trees Used For In Computer Science At this point you may be wondering what trees are used for. Learn the fundamentals of tree data structure: This tutorial covers several key. A binary tree is either an external node or an internal node attached to an ordered pair of binary trees called the left subtree and the right subtree of that node. Trees are used in many. What Are Trees Used For In Computer Science.
From www.reddit.com
Computer Science Courses Tree r/CarletonU What Are Trees Used For In Computer Science This tutorial covers several key. They don’t store data in a linear way. Its representation, importance, types, operations, implementation, applications,. Trees are used in many facets of development including use in: Trees are a fundamental data structure in computer science, used to represent hierarchical relationships. Learn the fundamentals of tree data structure: A binary tree data structure is a hierarchical. What Are Trees Used For In Computer Science.
From www.pinterest.com
A database index creates a Btree that points to the original data file How do databases work What Are Trees Used For In Computer Science A binary tree is either an external node or an internal node attached to an ordered pair of binary trees called the left subtree and the right subtree of that node. This tutorial covers several key. Learn the fundamentals of tree data structure: Its representation, importance, types, operations, implementation, applications,. Trees are used in many facets of development including use. What Are Trees Used For In Computer Science.
From www.kindpng.com
Tree Diagram Computer Science, HD Png Download kindpng What Are Trees Used For In Computer Science Trees are used in many facets of development including use in: A binary tree is either an external node or an internal node attached to an ordered pair of binary trees called the left subtree and the right subtree of that node. Trees are a fundamental data structure in computer science, used to represent hierarchical relationships. It is commonly used. What Are Trees Used For In Computer Science.
From medium.com
The Computer Science Skills Tree. What is a “Skill Tree”? by Branden Kim Medium What Are Trees Used For In Computer Science This tutorial covers several key. Trees are a fundamental data structure in computer science, used to represent hierarchical relationships. Trees are used in many facets of development including use in: A binary tree is either an external node or an internal node attached to an ordered pair of binary trees called the left subtree and the right subtree of that. What Are Trees Used For In Computer Science.
From sciencewows.ie
A Simple Slice of Science Why do trees grow? Dr. How's Science Wows What Are Trees Used For In Computer Science This tutorial covers several key. They don’t store data in a linear way. It is commonly used in. Its representation, importance, types, operations, implementation, applications,. Trees are used in many facets of development including use in: Trees are a fundamental data structure in computer science, used to represent hierarchical relationships. Learn the fundamentals of tree data structure: A binary tree. What Are Trees Used For In Computer Science.
From www.youtube.com
Data structures Introduction to Trees YouTube What Are Trees Used For In Computer Science They don’t store data in a linear way. At this point you may be wondering what trees are used for. This tutorial covers several key. A binary tree data structure is a hierarchical data structure in which each node has at most two children, referred to as the left child and the right child. A binary tree is either an. What Are Trees Used For In Computer Science.
From www.crystaltenn.com
Crystal Tenn What Are Trees Used For In Computer Science A binary tree is either an external node or an internal node attached to an ordered pair of binary trees called the left subtree and the right subtree of that node. Trees are used in many facets of development including use in: Trees are a fundamental data structure in computer science, used to represent hierarchical relationships. They don’t store data. What Are Trees Used For In Computer Science.
From juudy.heroinewarrior.com
Introduction to Tree Data Structure and Algorithm Tutorials What Are Trees Used For In Computer Science This tutorial covers several key. Trees are used in many facets of development including use in: Learn the fundamentals of tree data structure: A binary tree data structure is a hierarchical data structure in which each node has at most two children, referred to as the left child and the right child. A binary tree is either an external node. What Are Trees Used For In Computer Science.
From dreamstime.com
Computer Tree Royalty Free Stock Images Image 10954309 What Are Trees Used For In Computer Science Trees are a fundamental data structure in computer science, used to represent hierarchical relationships. They don’t store data in a linear way. This tutorial covers several key. At this point you may be wondering what trees are used for. Trees are used in many facets of development including use in: A binary tree data structure is a hierarchical data structure. What Are Trees Used For In Computer Science.
From www.slidestalk.com
Decision Trees Cornell Computer Science What Are Trees Used For In Computer Science At this point you may be wondering what trees are used for. Learn the fundamentals of tree data structure: Its representation, importance, types, operations, implementation, applications,. A binary tree data structure is a hierarchical data structure in which each node has at most two children, referred to as the left child and the right child. Trees are a fundamental data. What Are Trees Used For In Computer Science.
From isaaccomputerscience.org
Isaac Computer Science What Are Trees Used For In Computer Science They don’t store data in a linear way. Learn the fundamentals of tree data structure: Trees are a fundamental data structure in computer science, used to represent hierarchical relationships. A binary tree is either an external node or an internal node attached to an ordered pair of binary trees called the left subtree and the right subtree of that node.. What Are Trees Used For In Computer Science.
From www.ianswer4u.com
Tree Topology Advantages and Disadvantages I Answer 4 U What Are Trees Used For In Computer Science Trees are a fundamental data structure in computer science, used to represent hierarchical relationships. A binary tree is either an external node or an internal node attached to an ordered pair of binary trees called the left subtree and the right subtree of that node. Trees are used in many facets of development including use in: It is commonly used. What Are Trees Used For In Computer Science.
From ibrahimhasnat.com
Overview of Tree Data Structure Ibrahim Hasnat What Are Trees Used For In Computer Science It is commonly used in. At this point you may be wondering what trees are used for. Trees are a fundamental data structure in computer science, used to represent hierarchical relationships. A binary tree data structure is a hierarchical data structure in which each node has at most two children, referred to as the left child and the right child.. What Are Trees Used For In Computer Science.
From www.pinterest.com
msLaura presents Science Enrichment Trees 01 What is science? What is a tr Roots What Are Trees Used For In Computer Science Learn the fundamentals of tree data structure: Its representation, importance, types, operations, implementation, applications,. Trees are used in many facets of development including use in: At this point you may be wondering what trees are used for. A binary tree data structure is a hierarchical data structure in which each node has at most two children, referred to as the. What Are Trees Used For In Computer Science.
From ftmuser.blogspot.com
Family Tree Maker User FTM2014 and Multiple Computers (TreeSync™ feature) What Are Trees Used For In Computer Science A binary tree is either an external node or an internal node attached to an ordered pair of binary trees called the left subtree and the right subtree of that node. This tutorial covers several key. At this point you may be wondering what trees are used for. They don’t store data in a linear way. It is commonly used. What Are Trees Used For In Computer Science.
From www.slideserve.com
PPT Chapter 1 PowerPoint Presentation, free download ID6528186 What Are Trees Used For In Computer Science A binary tree is either an external node or an internal node attached to an ordered pair of binary trees called the left subtree and the right subtree of that node. At this point you may be wondering what trees are used for. Trees are a fundamental data structure in computer science, used to represent hierarchical relationships. A binary tree. What Are Trees Used For In Computer Science.
From towardsdatascience.com
8 Useful Tree Data Structures Worth Knowing Towards Data Science What Are Trees Used For In Computer Science This tutorial covers several key. Learn the fundamentals of tree data structure: A binary tree data structure is a hierarchical data structure in which each node has at most two children, referred to as the left child and the right child. A binary tree is either an external node or an internal node attached to an ordered pair of binary. What Are Trees Used For In Computer Science.
From www.pngegg.com
Free download Computer Science Tree traversal Binary tree Binary search tree, binary number What Are Trees Used For In Computer Science They don’t store data in a linear way. Trees are a fundamental data structure in computer science, used to represent hierarchical relationships. A binary tree is either an external node or an internal node attached to an ordered pair of binary trees called the left subtree and the right subtree of that node. Its representation, importance, types, operations, implementation, applications,.. What Are Trees Used For In Computer Science.
From www.dreamstime.com
Tree Tree on a Computer Chip. Created with Generative Ai Technology Stock Illustration What Are Trees Used For In Computer Science At this point you may be wondering what trees are used for. A binary tree data structure is a hierarchical data structure in which each node has at most two children, referred to as the left child and the right child. Trees are used in many facets of development including use in: They don’t store data in a linear way.. What Are Trees Used For In Computer Science.
From www.csee.umbc.edu
Course Dependency Tree Department of Computer Science and Electrical Engineering UMBC What Are Trees Used For In Computer Science Trees are used in many facets of development including use in: Its representation, importance, types, operations, implementation, applications,. It is commonly used in. Trees are a fundamental data structure in computer science, used to represent hierarchical relationships. This tutorial covers several key. A binary tree data structure is a hierarchical data structure in which each node has at most two. What Are Trees Used For In Computer Science.
From loeliaumh.blob.core.windows.net
Tree Definition Computer Science at Marilyn Snyder blog What Are Trees Used For In Computer Science A binary tree is either an external node or an internal node attached to an ordered pair of binary trees called the left subtree and the right subtree of that node. Learn the fundamentals of tree data structure: A binary tree data structure is a hierarchical data structure in which each node has at most two children, referred to as. What Are Trees Used For In Computer Science.
From eduinput.com
Introduction To Computer ScienceHistory, Scope, Branches and uses EDUInput An online What Are Trees Used For In Computer Science A binary tree is either an external node or an internal node attached to an ordered pair of binary trees called the left subtree and the right subtree of that node. This tutorial covers several key. It is commonly used in. A binary tree data structure is a hierarchical data structure in which each node has at most two children,. What Are Trees Used For In Computer Science.
From blog.finxter.com
[2min CS Concepts] A Rapid Introduction to Decision Trees for Machine Learning Finxter What Are Trees Used For In Computer Science This tutorial covers several key. They don’t store data in a linear way. Learn the fundamentals of tree data structure: A binary tree is either an external node or an internal node attached to an ordered pair of binary trees called the left subtree and the right subtree of that node. A binary tree data structure is a hierarchical data. What Are Trees Used For In Computer Science.
From chargedmagazine.org
Trees in Computer Science?!?! Charged Magazine What Are Trees Used For In Computer Science This tutorial covers several key. A binary tree data structure is a hierarchical data structure in which each node has at most two children, referred to as the left child and the right child. Its representation, importance, types, operations, implementation, applications,. It is commonly used in. Learn the fundamentals of tree data structure: They don’t store data in a linear. What Are Trees Used For In Computer Science.
From www.ed-thelen.org
Computer Trees What Are Trees Used For In Computer Science It is commonly used in. A binary tree is either an external node or an internal node attached to an ordered pair of binary trees called the left subtree and the right subtree of that node. This tutorial covers several key. Trees are a fundamental data structure in computer science, used to represent hierarchical relationships. Learn the fundamentals of tree. What Are Trees Used For In Computer Science.
From observer.globe.gov
Trees Science GLOBE Observer GLOBE.gov What Are Trees Used For In Computer Science At this point you may be wondering what trees are used for. Learn the fundamentals of tree data structure: This tutorial covers several key. Its representation, importance, types, operations, implementation, applications,. Trees are a fundamental data structure in computer science, used to represent hierarchical relationships. Trees are used in many facets of development including use in: It is commonly used. What Are Trees Used For In Computer Science.
From www.vectorstock.com
Tree with computers Royalty Free Vector Image VectorStock What Are Trees Used For In Computer Science This tutorial covers several key. A binary tree is either an external node or an internal node attached to an ordered pair of binary trees called the left subtree and the right subtree of that node. Its representation, importance, types, operations, implementation, applications,. A binary tree data structure is a hierarchical data structure in which each node has at most. What Are Trees Used For In Computer Science.
From www.treeofscience.com
Tree of Science a pioneering startup in science 2.0 and Open Science What Are Trees Used For In Computer Science Trees are used in many facets of development including use in: Trees are a fundamental data structure in computer science, used to represent hierarchical relationships. They don’t store data in a linear way. Learn the fundamentals of tree data structure: It is commonly used in. Its representation, importance, types, operations, implementation, applications,. This tutorial covers several key. A binary tree. What Are Trees Used For In Computer Science.
From www.geeksforgeeks.org
Introduction to Tree Data Structure and Algorithm Tutorials What Are Trees Used For In Computer Science A binary tree data structure is a hierarchical data structure in which each node has at most two children, referred to as the left child and the right child. It is commonly used in. This tutorial covers several key. At this point you may be wondering what trees are used for. Its representation, importance, types, operations, implementation, applications,. They don’t. What Are Trees Used For In Computer Science.
From www.pinterest.de
Illustration of network topology computer network connection ring, bus, tree, mesh, star What Are Trees Used For In Computer Science Trees are a fundamental data structure in computer science, used to represent hierarchical relationships. This tutorial covers several key. It is commonly used in. Learn the fundamentals of tree data structure: A binary tree data structure is a hierarchical data structure in which each node has at most two children, referred to as the left child and the right child.. What Are Trees Used For In Computer Science.
From www.tes.com
Trees Science Bundle Teaching Resources What Are Trees Used For In Computer Science Trees are used in many facets of development including use in: A binary tree is either an external node or an internal node attached to an ordered pair of binary trees called the left subtree and the right subtree of that node. At this point you may be wondering what trees are used for. A binary tree data structure is. What Are Trees Used For In Computer Science.
From devbalanced.github.io
CS Fundamentals I Introduction to Computer Science DevBalanced What Are Trees Used For In Computer Science Trees are a fundamental data structure in computer science, used to represent hierarchical relationships. They don’t store data in a linear way. Trees are used in many facets of development including use in: A binary tree data structure is a hierarchical data structure in which each node has at most two children, referred to as the left child and the. What Are Trees Used For In Computer Science.
From prepinsta.com
Types of Trees in Data Structures » PREP INSTA What Are Trees Used For In Computer Science Learn the fundamentals of tree data structure: At this point you may be wondering what trees are used for. Its representation, importance, types, operations, implementation, applications,. A binary tree data structure is a hierarchical data structure in which each node has at most two children, referred to as the left child and the right child. They don’t store data in. What Are Trees Used For In Computer Science.