Aluminum Chloride Molar Mass Formula . The solid has a low melting and boiling point, and is covalently. The first step to finding the. Count the number of each atom. There are 4 easy steps to find the molar mass of al (cl3) based on its chemical formula. The aluminum chloride formula is {eq}alcl_3 {/eq}; Molar mass of alcl3 = 133.340538 g/mol. Aluminium chloride (alcl 3) is a compound of aluminium and chlorine. Convert grams aluminium chloride to moles. It is composed of the metal cation aluminum and.
from slideplayer.com
The first step to finding the. The solid has a low melting and boiling point, and is covalently. The aluminum chloride formula is {eq}alcl_3 {/eq}; It is composed of the metal cation aluminum and. There are 4 easy steps to find the molar mass of al (cl3) based on its chemical formula. Count the number of each atom. Convert grams aluminium chloride to moles. Molar mass of alcl3 = 133.340538 g/mol. Aluminium chloride (alcl 3) is a compound of aluminium and chlorine.
Ch.10 part 2 Warm up 35 Youtube What I notice What I wonder. ppt
Aluminum Chloride Molar Mass Formula Convert grams aluminium chloride to moles. The solid has a low melting and boiling point, and is covalently. It is composed of the metal cation aluminum and. Aluminium chloride (alcl 3) is a compound of aluminium and chlorine. Molar mass of alcl3 = 133.340538 g/mol. Convert grams aluminium chloride to moles. The aluminum chloride formula is {eq}alcl_3 {/eq}; The first step to finding the. Count the number of each atom. There are 4 easy steps to find the molar mass of al (cl3) based on its chemical formula.
From www.adda247.com
Aluminium Chloride FormulaDefinition, Structure, Uses, Properties Aluminum Chloride Molar Mass Formula Count the number of each atom. Convert grams aluminium chloride to moles. It is composed of the metal cation aluminum and. The solid has a low melting and boiling point, and is covalently. There are 4 easy steps to find the molar mass of al (cl3) based on its chemical formula. The aluminum chloride formula is {eq}alcl_3 {/eq}; The first. Aluminum Chloride Molar Mass Formula.
From www.greatassignmenthelp.com
Simple Steps to Calculate Molar Mass of Aluminum Aluminum Chloride Molar Mass Formula The first step to finding the. There are 4 easy steps to find the molar mass of al (cl3) based on its chemical formula. It is composed of the metal cation aluminum and. Convert grams aluminium chloride to moles. The solid has a low melting and boiling point, and is covalently. Aluminium chloride (alcl 3) is a compound of aluminium. Aluminum Chloride Molar Mass Formula.
From www.youtube.com
How to write Molecular formula of Aluminium chloride Chemical formula Aluminum Chloride Molar Mass Formula Count the number of each atom. The aluminum chloride formula is {eq}alcl_3 {/eq}; Aluminium chloride (alcl 3) is a compound of aluminium and chlorine. It is composed of the metal cation aluminum and. Convert grams aluminium chloride to moles. Molar mass of alcl3 = 133.340538 g/mol. The first step to finding the. There are 4 easy steps to find the. Aluminum Chloride Molar Mass Formula.
From www.coursehero.com
[Solved] Silver nitrate reacts with aluminum chloride to form the Aluminum Chloride Molar Mass Formula Convert grams aluminium chloride to moles. It is composed of the metal cation aluminum and. There are 4 easy steps to find the molar mass of al (cl3) based on its chemical formula. The first step to finding the. The solid has a low melting and boiling point, and is covalently. Count the number of each atom. Aluminium chloride (alcl. Aluminum Chloride Molar Mass Formula.
From www.youtube.com
Molar Mass / Molecular Weight of Al(ClO3)3 Aluminum Chlorate YouTube Aluminum Chloride Molar Mass Formula There are 4 easy steps to find the molar mass of al (cl3) based on its chemical formula. Count the number of each atom. The aluminum chloride formula is {eq}alcl_3 {/eq}; Convert grams aluminium chloride to moles. Molar mass of alcl3 = 133.340538 g/mol. The solid has a low melting and boiling point, and is covalently. Aluminium chloride (alcl 3). Aluminum Chloride Molar Mass Formula.
From www.youtube.com
How to find the molecular mass of AlCl3 (Aluminum Chloride) YouTube Aluminum Chloride Molar Mass Formula Count the number of each atom. There are 4 easy steps to find the molar mass of al (cl3) based on its chemical formula. The solid has a low melting and boiling point, and is covalently. The first step to finding the. Aluminium chloride (alcl 3) is a compound of aluminium and chlorine. Convert grams aluminium chloride to moles. Molar. Aluminum Chloride Molar Mass Formula.
From poindexterdwellied.blogspot.com
Molar Mass Of Aluminum Chloride Poindexter Dwellied Aluminum Chloride Molar Mass Formula It is composed of the metal cation aluminum and. Count the number of each atom. Molar mass of alcl3 = 133.340538 g/mol. The solid has a low melting and boiling point, and is covalently. The aluminum chloride formula is {eq}alcl_3 {/eq}; Aluminium chloride (alcl 3) is a compound of aluminium and chlorine. There are 4 easy steps to find the. Aluminum Chloride Molar Mass Formula.
From www.gauthmath.com
Solved 2Al+3Cl_2to 2AlCl_3 How many grams of aluminum are required to Aluminum Chloride Molar Mass Formula Molar mass of alcl3 = 133.340538 g/mol. Count the number of each atom. It is composed of the metal cation aluminum and. The first step to finding the. Aluminium chloride (alcl 3) is a compound of aluminium and chlorine. Convert grams aluminium chloride to moles. The aluminum chloride formula is {eq}alcl_3 {/eq}; The solid has a low melting and boiling. Aluminum Chloride Molar Mass Formula.
From www.youtube.com
Molar mass of aluminum YouTube Aluminum Chloride Molar Mass Formula The first step to finding the. Molar mass of alcl3 = 133.340538 g/mol. The solid has a low melting and boiling point, and is covalently. Convert grams aluminium chloride to moles. Aluminium chloride (alcl 3) is a compound of aluminium and chlorine. Count the number of each atom. The aluminum chloride formula is {eq}alcl_3 {/eq}; There are 4 easy steps. Aluminum Chloride Molar Mass Formula.
From www.chegg.com
Solved Silver nitrate reacts with aluminum chloride to form Aluminum Chloride Molar Mass Formula There are 4 easy steps to find the molar mass of al (cl3) based on its chemical formula. Convert grams aluminium chloride to moles. The first step to finding the. The aluminum chloride formula is {eq}alcl_3 {/eq}; The solid has a low melting and boiling point, and is covalently. Count the number of each atom. It is composed of the. Aluminum Chloride Molar Mass Formula.
From slideplayer.com
Ch.10 part 2 Warm up 35 Youtube What I notice What I wonder. ppt Aluminum Chloride Molar Mass Formula The first step to finding the. It is composed of the metal cation aluminum and. Molar mass of alcl3 = 133.340538 g/mol. Convert grams aluminium chloride to moles. Count the number of each atom. The aluminum chloride formula is {eq}alcl_3 {/eq}; The solid has a low melting and boiling point, and is covalently. There are 4 easy steps to find. Aluminum Chloride Molar Mass Formula.
From www.museoinclusivo.com
Exploring the Molar Mass of Aluminum Chloride Aluminum Profile Blog Aluminum Chloride Molar Mass Formula It is composed of the metal cation aluminum and. There are 4 easy steps to find the molar mass of al (cl3) based on its chemical formula. Convert grams aluminium chloride to moles. Aluminium chloride (alcl 3) is a compound of aluminium and chlorine. The solid has a low melting and boiling point, and is covalently. Count the number of. Aluminum Chloride Molar Mass Formula.
From www.numerade.com
SOLVED Write the chemical formula for aluminum chloride Answer Use Aluminum Chloride Molar Mass Formula Count the number of each atom. There are 4 easy steps to find the molar mass of al (cl3) based on its chemical formula. The aluminum chloride formula is {eq}alcl_3 {/eq}; It is composed of the metal cation aluminum and. The first step to finding the. Molar mass of alcl3 = 133.340538 g/mol. Convert grams aluminium chloride to moles. Aluminium. Aluminum Chloride Molar Mass Formula.
From stock.adobe.com
Stylized molecule model/structural formula of aluminum chloride. Stock Aluminum Chloride Molar Mass Formula Count the number of each atom. There are 4 easy steps to find the molar mass of al (cl3) based on its chemical formula. Aluminium chloride (alcl 3) is a compound of aluminium and chlorine. Molar mass of alcl3 = 133.340538 g/mol. Convert grams aluminium chloride to moles. The first step to finding the. The solid has a low melting. Aluminum Chloride Molar Mass Formula.
From www.numerade.com
SOLVEDWrite the formula and calculate the molar mass for each of the Aluminum Chloride Molar Mass Formula There are 4 easy steps to find the molar mass of al (cl3) based on its chemical formula. The aluminum chloride formula is {eq}alcl_3 {/eq}; The solid has a low melting and boiling point, and is covalently. It is composed of the metal cation aluminum and. Count the number of each atom. Convert grams aluminium chloride to moles. Aluminium chloride. Aluminum Chloride Molar Mass Formula.
From www.youtube.com
How to write chemical formula of Aluminium ChlorideMolecular formula Aluminum Chloride Molar Mass Formula There are 4 easy steps to find the molar mass of al (cl3) based on its chemical formula. Count the number of each atom. Aluminium chloride (alcl 3) is a compound of aluminium and chlorine. It is composed of the metal cation aluminum and. Convert grams aluminium chloride to moles. Molar mass of alcl3 = 133.340538 g/mol. The first step. Aluminum Chloride Molar Mass Formula.
From www.youtube.com
Molar Mass of Aluminum using Ideal gas equation PV= nRT. YouTube Aluminum Chloride Molar Mass Formula Molar mass of alcl3 = 133.340538 g/mol. Count the number of each atom. The aluminum chloride formula is {eq}alcl_3 {/eq}; It is composed of the metal cation aluminum and. The first step to finding the. There are 4 easy steps to find the molar mass of al (cl3) based on its chemical formula. Convert grams aluminium chloride to moles. The. Aluminum Chloride Molar Mass Formula.
From www.fity.club
Chlorine Molar Mass Aluminum Chloride Molar Mass Formula Aluminium chloride (alcl 3) is a compound of aluminium and chlorine. Molar mass of alcl3 = 133.340538 g/mol. It is composed of the metal cation aluminum and. Count the number of each atom. The aluminum chloride formula is {eq}alcl_3 {/eq}; The first step to finding the. Convert grams aluminium chloride to moles. The solid has a low melting and boiling. Aluminum Chloride Molar Mass Formula.
From jordenfersvargas.blogspot.com
Molar Mass of Aluminum Aluminum Chloride Molar Mass Formula Aluminium chloride (alcl 3) is a compound of aluminium and chlorine. Convert grams aluminium chloride to moles. The solid has a low melting and boiling point, and is covalently. The first step to finding the. Count the number of each atom. Molar mass of alcl3 = 133.340538 g/mol. It is composed of the metal cation aluminum and. The aluminum chloride. Aluminum Chloride Molar Mass Formula.
From www.wikihow.com
How to Calculate Molar Mass 7 Steps (with Pictures) wikiHow Aluminum Chloride Molar Mass Formula Count the number of each atom. Convert grams aluminium chloride to moles. Molar mass of alcl3 = 133.340538 g/mol. There are 4 easy steps to find the molar mass of al (cl3) based on its chemical formula. Aluminium chloride (alcl 3) is a compound of aluminium and chlorine. The aluminum chloride formula is {eq}alcl_3 {/eq}; It is composed of the. Aluminum Chloride Molar Mass Formula.
From www.wikihow.it
Come Calcolare la Massa Molare 7 Passaggi (Illustrato) Aluminum Chloride Molar Mass Formula The solid has a low melting and boiling point, and is covalently. Molar mass of alcl3 = 133.340538 g/mol. The aluminum chloride formula is {eq}alcl_3 {/eq}; It is composed of the metal cation aluminum and. The first step to finding the. Aluminium chloride (alcl 3) is a compound of aluminium and chlorine. There are 4 easy steps to find the. Aluminum Chloride Molar Mass Formula.
From www.slideserve.com
PPT Molar Mass and Formulas PowerPoint Presentation, free download Aluminum Chloride Molar Mass Formula Molar mass of alcl3 = 133.340538 g/mol. Aluminium chloride (alcl 3) is a compound of aluminium and chlorine. Convert grams aluminium chloride to moles. It is composed of the metal cation aluminum and. Count the number of each atom. The first step to finding the. The solid has a low melting and boiling point, and is covalently. There are 4. Aluminum Chloride Molar Mass Formula.
From www.youtube.com
Aluminium reacts with chlorine gas to form aluminium chloride via the Aluminum Chloride Molar Mass Formula The first step to finding the. The aluminum chloride formula is {eq}alcl_3 {/eq}; There are 4 easy steps to find the molar mass of al (cl3) based on its chemical formula. The solid has a low melting and boiling point, and is covalently. Convert grams aluminium chloride to moles. It is composed of the metal cation aluminum and. Molar mass. Aluminum Chloride Molar Mass Formula.
From portal.dzp.pl
Massa Molecular Do Aluminio ENSINO Aluminum Chloride Molar Mass Formula The solid has a low melting and boiling point, and is covalently. Convert grams aluminium chloride to moles. It is composed of the metal cation aluminum and. Aluminium chloride (alcl 3) is a compound of aluminium and chlorine. Molar mass of alcl3 = 133.340538 g/mol. The aluminum chloride formula is {eq}alcl_3 {/eq}; The first step to finding the. Count the. Aluminum Chloride Molar Mass Formula.
From www.numerade.com
SOLVEDTo one decimal place, what is the molar mass of aluminum Aluminum Chloride Molar Mass Formula There are 4 easy steps to find the molar mass of al (cl3) based on its chemical formula. The first step to finding the. It is composed of the metal cation aluminum and. The aluminum chloride formula is {eq}alcl_3 {/eq}; Convert grams aluminium chloride to moles. The solid has a low melting and boiling point, and is covalently. Count the. Aluminum Chloride Molar Mass Formula.
From study.com
Aluminum Chloride Formula, Molar Mass & Lewis Structure Lesson Aluminum Chloride Molar Mass Formula Molar mass of alcl3 = 133.340538 g/mol. The solid has a low melting and boiling point, and is covalently. The aluminum chloride formula is {eq}alcl_3 {/eq}; There are 4 easy steps to find the molar mass of al (cl3) based on its chemical formula. Count the number of each atom. It is composed of the metal cation aluminum and. Aluminium. Aluminum Chloride Molar Mass Formula.
From www.numerade.com
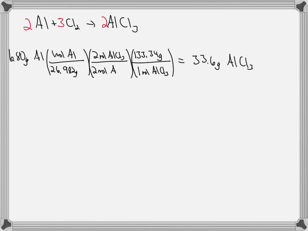
SOLVED What mass (in g) of aluminum chloride (AlCl3) is produced when Aluminum Chloride Molar Mass Formula There are 4 easy steps to find the molar mass of al (cl3) based on its chemical formula. The first step to finding the. Convert grams aluminium chloride to moles. It is composed of the metal cation aluminum and. Molar mass of alcl3 = 133.340538 g/mol. Aluminium chloride (alcl 3) is a compound of aluminium and chlorine. The solid has. Aluminum Chloride Molar Mass Formula.
From www.studocu.com
Chemistry assignment hess's law, moles 60. The relative molecular Aluminum Chloride Molar Mass Formula The aluminum chloride formula is {eq}alcl_3 {/eq}; Aluminium chloride (alcl 3) is a compound of aluminium and chlorine. Molar mass of alcl3 = 133.340538 g/mol. Count the number of each atom. The solid has a low melting and boiling point, and is covalently. The first step to finding the. Convert grams aluminium chloride to moles. There are 4 easy steps. Aluminum Chloride Molar Mass Formula.
From www.wikihow.com
3 Ways to Calculate Molar Mass wikiHow Aluminum Chloride Molar Mass Formula The solid has a low melting and boiling point, and is covalently. Aluminium chloride (alcl 3) is a compound of aluminium and chlorine. It is composed of the metal cation aluminum and. Convert grams aluminium chloride to moles. The first step to finding the. Molar mass of alcl3 = 133.340538 g/mol. Count the number of each atom. The aluminum chloride. Aluminum Chloride Molar Mass Formula.
From www.slideserve.com
PPT Chapter 10 Worksheet Examples PowerPoint Presentation, free Aluminum Chloride Molar Mass Formula Aluminium chloride (alcl 3) is a compound of aluminium and chlorine. Molar mass of alcl3 = 133.340538 g/mol. There are 4 easy steps to find the molar mass of al (cl3) based on its chemical formula. The first step to finding the. Convert grams aluminium chloride to moles. The solid has a low melting and boiling point, and is covalently.. Aluminum Chloride Molar Mass Formula.
From mungfali.com
Aluminum Chloride Lewis Structure Aluminum Chloride Molar Mass Formula Aluminium chloride (alcl 3) is a compound of aluminium and chlorine. The first step to finding the. Count the number of each atom. There are 4 easy steps to find the molar mass of al (cl3) based on its chemical formula. It is composed of the metal cation aluminum and. Convert grams aluminium chloride to moles. The solid has a. Aluminum Chloride Molar Mass Formula.
From www.pinterest.com
Molar Mass of Aluminum & Properties of Substance Molar mass, Molars, Mass Aluminum Chloride Molar Mass Formula The aluminum chloride formula is {eq}alcl_3 {/eq}; Convert grams aluminium chloride to moles. Aluminium chloride (alcl 3) is a compound of aluminium and chlorine. Count the number of each atom. It is composed of the metal cation aluminum and. Molar mass of alcl3 = 133.340538 g/mol. There are 4 easy steps to find the molar mass of al (cl3) based. Aluminum Chloride Molar Mass Formula.
From www.numerade.com
SOLVED Calculate the mass of aluminium chloride (molar mass = 133.33 g Aluminum Chloride Molar Mass Formula Convert grams aluminium chloride to moles. Count the number of each atom. The aluminum chloride formula is {eq}alcl_3 {/eq}; The solid has a low melting and boiling point, and is covalently. Aluminium chloride (alcl 3) is a compound of aluminium and chlorine. Molar mass of alcl3 = 133.340538 g/mol. It is composed of the metal cation aluminum and. There are. Aluminum Chloride Molar Mass Formula.
From www.fity.club
Chlorine Molar Mass Aluminum Chloride Molar Mass Formula Count the number of each atom. The aluminum chloride formula is {eq}alcl_3 {/eq}; Convert grams aluminium chloride to moles. The solid has a low melting and boiling point, and is covalently. Molar mass of alcl3 = 133.340538 g/mol. It is composed of the metal cation aluminum and. Aluminium chloride (alcl 3) is a compound of aluminium and chlorine. There are. Aluminum Chloride Molar Mass Formula.
From www.museoinclusivo.com
Exploring the Molar Mass of Aluminum Chloride Aluminum Profile Blog Aluminum Chloride Molar Mass Formula There are 4 easy steps to find the molar mass of al (cl3) based on its chemical formula. The aluminum chloride formula is {eq}alcl_3 {/eq}; Convert grams aluminium chloride to moles. Molar mass of alcl3 = 133.340538 g/mol. The solid has a low melting and boiling point, and is covalently. The first step to finding the. Count the number of. Aluminum Chloride Molar Mass Formula.