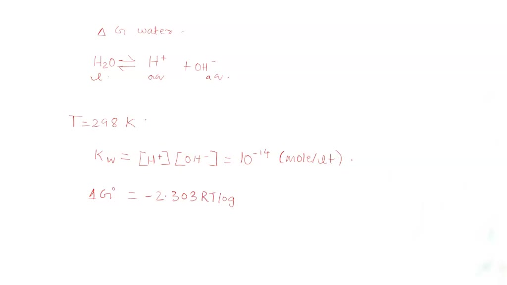
What Is The Value Of Kw At 298 K . the average velocity of hydrogen molecules at 298 k can be calculated using the root mean square velocity formula, v =. Again, at 298 k, we have \(\mathrm{\mathit k_a \mathit. we all know that hydrogen ion and hydroxyl ion produced water, hydrogen is positive in nature and hydroxyl is negative in. the concentration of h3o + and oh − are equal in pure water because of the 1:1 stoichiometric ratio of equation 12.5.1. and this formula is the same as the one derived for the conjugate acid of a base. k w is defined to avoid making the expression unnecessarily complicated by including another constant in it. The molarity of h 3. To find the ph of an alkaline. (iii) give the value of the ionic product of water, kw, measured at 298k, and state its units. Units., (b) at 298 k, 25.0 cm3 of. The value of k w. Like any other equilibrium constant, the. Ionic product of water (kw) is the product of molar concentrations of hydrogen ions and hydroxide ions.
from slideplayer.com
To find the ph of an alkaline. (iii) give the value of the ionic product of water, kw, measured at 298k, and state its units. the concentration of h3o + and oh − are equal in pure water because of the 1:1 stoichiometric ratio of equation 12.5.1. and this formula is the same as the one derived for the conjugate acid of a base. The value of k w. the average velocity of hydrogen molecules at 298 k can be calculated using the root mean square velocity formula, v =. we all know that hydrogen ion and hydroxyl ion produced water, hydrogen is positive in nature and hydroxyl is negative in. k w is defined to avoid making the expression unnecessarily complicated by including another constant in it. Units., (b) at 298 k, 25.0 cm3 of. Ionic product of water (kw) is the product of molar concentrations of hydrogen ions and hydroxide ions.
Acids and Bases Ch ppt download
What Is The Value Of Kw At 298 K The value of k w. we all know that hydrogen ion and hydroxyl ion produced water, hydrogen is positive in nature and hydroxyl is negative in. Units., (b) at 298 k, 25.0 cm3 of. k w is defined to avoid making the expression unnecessarily complicated by including another constant in it. To find the ph of an alkaline. the concentration of h3o + and oh − are equal in pure water because of the 1:1 stoichiometric ratio of equation 12.5.1. The value of k w. the average velocity of hydrogen molecules at 298 k can be calculated using the root mean square velocity formula, v =. The molarity of h 3. and this formula is the same as the one derived for the conjugate acid of a base. (iii) give the value of the ionic product of water, kw, measured at 298k, and state its units. Ionic product of water (kw) is the product of molar concentrations of hydrogen ions and hydroxide ions. Again, at 298 k, we have \(\mathrm{\mathit k_a \mathit. Like any other equilibrium constant, the.
From www.chegg.com
Solved a. At 298 K, the value for selfionization constánt What Is The Value Of Kw At 298 K the average velocity of hydrogen molecules at 298 k can be calculated using the root mean square velocity formula, v =. Ionic product of water (kw) is the product of molar concentrations of hydrogen ions and hydroxide ions. the concentration of h3o + and oh − are equal in pure water because of the 1:1 stoichiometric ratio of. What Is The Value Of Kw At 298 K.
From www.numerade.com
Calculate the quantity kBT at room temperature, 298 K. Give the answer What Is The Value Of Kw At 298 K The value of k w. (iii) give the value of the ionic product of water, kw, measured at 298k, and state its units. and this formula is the same as the one derived for the conjugate acid of a base. Like any other equilibrium constant, the. the average velocity of hydrogen molecules at 298 k can be. What Is The Value Of Kw At 298 K.
From www.generatorszone.com
KW to KVA & Watts Conversion Calculator Online Generators Zone What Is The Value Of Kw At 298 K The value of k w. To find the ph of an alkaline. The molarity of h 3. the concentration of h3o + and oh − are equal in pure water because of the 1:1 stoichiometric ratio of equation 12.5.1. k w is defined to avoid making the expression unnecessarily complicated by including another constant in it. we. What Is The Value Of Kw At 298 K.
From www.chegg.com
Solved Part 1 (a) Calculate K at 298 K for the following What Is The Value Of Kw At 298 K we all know that hydrogen ion and hydroxyl ion produced water, hydrogen is positive in nature and hydroxyl is negative in. (iii) give the value of the ionic product of water, kw, measured at 298k, and state its units. Units., (b) at 298 k, 25.0 cm3 of. The value of k w. the average velocity of hydrogen. What Is The Value Of Kw At 298 K.
From www.numerade.com
SOLVED Using your knowledge of the Kw of water at 298 K, calculate the What Is The Value Of Kw At 298 K The value of k w. Units., (b) at 298 k, 25.0 cm3 of. the average velocity of hydrogen molecules at 298 k can be calculated using the root mean square velocity formula, v =. we all know that hydrogen ion and hydroxyl ion produced water, hydrogen is positive in nature and hydroxyl is negative in. Like any other. What Is The Value Of Kw At 298 K.
From www.numerade.com
SOLVED At 298 K a cell reaction has a standard emf of +0.18 V. The What Is The Value Of Kw At 298 K (iii) give the value of the ionic product of water, kw, measured at 298k, and state its units. the concentration of h3o + and oh − are equal in pure water because of the 1:1 stoichiometric ratio of equation 12.5.1. k w is defined to avoid making the expression unnecessarily complicated by including another constant in it.. What Is The Value Of Kw At 298 K.
From www.chegg.com
Solved Be sure to answer all parts. Calculate K at 298 K for What Is The Value Of Kw At 298 K Again, at 298 k, we have \(\mathrm{\mathit k_a \mathit. The value of k w. the concentration of h3o + and oh − are equal in pure water because of the 1:1 stoichiometric ratio of equation 12.5.1. (iii) give the value of the ionic product of water, kw, measured at 298k, and state its units. To find the ph. What Is The Value Of Kw At 298 K.
From www.chegg.com
Solved The ionic product of water, Kw at 298 K=1×10−14. (a) What Is The Value Of Kw At 298 K Like any other equilibrium constant, the. we all know that hydrogen ion and hydroxyl ion produced water, hydrogen is positive in nature and hydroxyl is negative in. and this formula is the same as the one derived for the conjugate acid of a base. Again, at 298 k, we have \(\mathrm{\mathit k_a \mathit. Ionic product of water (kw). What Is The Value Of Kw At 298 K.
From www.coursehero.com
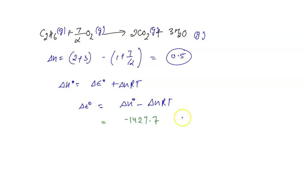
[Solved] What is AG" at 298 K for the following reaction? CHA (g) + N2 What Is The Value Of Kw At 298 K we all know that hydrogen ion and hydroxyl ion produced water, hydrogen is positive in nature and hydroxyl is negative in. and this formula is the same as the one derived for the conjugate acid of a base. the average velocity of hydrogen molecules at 298 k can be calculated using the root mean square velocity formula,. What Is The Value Of Kw At 298 K.
From www.chegg.com
Solved What is the value of Kp at 298 K for the reaction 1/2 What Is The Value Of Kw At 298 K The molarity of h 3. Ionic product of water (kw) is the product of molar concentrations of hydrogen ions and hydroxide ions. Like any other equilibrium constant, the. To find the ph of an alkaline. Again, at 298 k, we have \(\mathrm{\mathit k_a \mathit. Units., (b) at 298 k, 25.0 cm3 of. (iii) give the value of the ionic. What Is The Value Of Kw At 298 K.
From www.toppr.com
The hydrogen ion concentration of a 10 ^8 M HCl aqueous solution at What Is The Value Of Kw At 298 K the average velocity of hydrogen molecules at 298 k can be calculated using the root mean square velocity formula, v =. k w is defined to avoid making the expression unnecessarily complicated by including another constant in it. the concentration of h3o + and oh − are equal in pure water because of the 1:1 stoichiometric ratio. What Is The Value Of Kw At 298 K.
From www.chegg.com
Solved Question 2Determine the value of ΔSsurr at 298K, What Is The Value Of Kw At 298 K the average velocity of hydrogen molecules at 298 k can be calculated using the root mean square velocity formula, v =. The value of k w. Again, at 298 k, we have \(\mathrm{\mathit k_a \mathit. Like any other equilibrium constant, the. k w is defined to avoid making the expression unnecessarily complicated by including another constant in it.. What Is The Value Of Kw At 298 K.
From www.coursehero.com
[Solved] The higher heating value for liquid octane (C8H18) at 298 K is What Is The Value Of Kw At 298 K The value of k w. Like any other equilibrium constant, the. (iii) give the value of the ionic product of water, kw, measured at 298k, and state its units. The molarity of h 3. and this formula is the same as the one derived for the conjugate acid of a base. To find the ph of an alkaline.. What Is The Value Of Kw At 298 K.
From www.chegg.com
Solved Physical Properties at 298 K and I atm At 298 K, the What Is The Value Of Kw At 298 K the concentration of h3o + and oh − are equal in pure water because of the 1:1 stoichiometric ratio of equation 12.5.1. Like any other equilibrium constant, the. To find the ph of an alkaline. k w is defined to avoid making the expression unnecessarily complicated by including another constant in it. we all know that hydrogen. What Is The Value Of Kw At 298 K.
From www.chegg.com
Solved Calculate K at 298 K for the following reaction given What Is The Value Of Kw At 298 K k w is defined to avoid making the expression unnecessarily complicated by including another constant in it. (iii) give the value of the ionic product of water, kw, measured at 298k, and state its units. Ionic product of water (kw) is the product of molar concentrations of hydrogen ions and hydroxide ions. the concentration of h3o +. What Is The Value Of Kw At 298 K.
From www.coursehero.com
[Solved] You have a gas sample of carbon dioxide at 298 K. If the What Is The Value Of Kw At 298 K Again, at 298 k, we have \(\mathrm{\mathit k_a \mathit. The molarity of h 3. (iii) give the value of the ionic product of water, kw, measured at 298k, and state its units. Like any other equilibrium constant, the. the concentration of h3o + and oh − are equal in pure water because of the 1:1 stoichiometric ratio of. What Is The Value Of Kw At 298 K.
From theengineeringmindset.com
Kilowatt Hours kWh Explained The Engineering Mindset What Is The Value Of Kw At 298 K Ionic product of water (kw) is the product of molar concentrations of hydrogen ions and hydroxide ions. the concentration of h3o + and oh − are equal in pure water because of the 1:1 stoichiometric ratio of equation 12.5.1. The value of k w. Units., (b) at 298 k, 25.0 cm3 of. The molarity of h 3. we. What Is The Value Of Kw At 298 K.
From pt.scribd.com
Standard Electrode and Reduction Potentials at 298 K Printable Sets What Is The Value Of Kw At 298 K the average velocity of hydrogen molecules at 298 k can be calculated using the root mean square velocity formula, v =. Ionic product of water (kw) is the product of molar concentrations of hydrogen ions and hydroxide ions. The value of k w. the concentration of h3o + and oh − are equal in pure water because of. What Is The Value Of Kw At 298 K.
From www.youtube.com
Find out the value of equilibrium constant for the following reaction What Is The Value Of Kw At 298 K The value of k w. the concentration of h3o + and oh − are equal in pure water because of the 1:1 stoichiometric ratio of equation 12.5.1. the average velocity of hydrogen molecules at 298 k can be calculated using the root mean square velocity formula, v =. Units., (b) at 298 k, 25.0 cm3 of. Again, at. What Is The Value Of Kw At 298 K.
From www.numerade.com
SOLVED Calculate the work (w) and ΔEo, in kJ, at 298 K and 1 atm What Is The Value Of Kw At 298 K Units., (b) at 298 k, 25.0 cm3 of. and this formula is the same as the one derived for the conjugate acid of a base. The value of k w. k w is defined to avoid making the expression unnecessarily complicated by including another constant in it. we all know that hydrogen ion and hydroxyl ion produced. What Is The Value Of Kw At 298 K.
From solvedlib.com
What is the value of Kp at 298 K for the reaction C4H… SolvedLib What Is The Value Of Kw At 298 K (iii) give the value of the ionic product of water, kw, measured at 298k, and state its units. The value of k w. Like any other equilibrium constant, the. Units., (b) at 298 k, 25.0 cm3 of. and this formula is the same as the one derived for the conjugate acid of a base. Ionic product of water. What Is The Value Of Kw At 298 K.
From www.chegg.com
Solved Calculate the pH of water at 298 K. (You MUST show What Is The Value Of Kw At 298 K the average velocity of hydrogen molecules at 298 k can be calculated using the root mean square velocity formula, v =. Again, at 298 k, we have \(\mathrm{\mathit k_a \mathit. Like any other equilibrium constant, the. To find the ph of an alkaline. The molarity of h 3. the concentration of h3o + and oh − are equal. What Is The Value Of Kw At 298 K.
From www.coursehero.com
[Solved] You have a gas sample of carbon dioxide at 298 K. If the What Is The Value Of Kw At 298 K Ionic product of water (kw) is the product of molar concentrations of hydrogen ions and hydroxide ions. Again, at 298 k, we have \(\mathrm{\mathit k_a \mathit. and this formula is the same as the one derived for the conjugate acid of a base. The molarity of h 3. the average velocity of hydrogen molecules at 298 k can. What Is The Value Of Kw At 298 K.
From www.homeworklib.com
Using values from Appendix C of your textbook, calculate the value of What Is The Value Of Kw At 298 K Ionic product of water (kw) is the product of molar concentrations of hydrogen ions and hydroxide ions. The value of k w. k w is defined to avoid making the expression unnecessarily complicated by including another constant in it. Again, at 298 k, we have \(\mathrm{\mathit k_a \mathit. The molarity of h 3. (iii) give the value of. What Is The Value Of Kw At 298 K.
From slideplayer.com
Acids and Bases Ch ppt download What Is The Value Of Kw At 298 K k w is defined to avoid making the expression unnecessarily complicated by including another constant in it. To find the ph of an alkaline. the average velocity of hydrogen molecules at 298 k can be calculated using the root mean square velocity formula, v =. The molarity of h 3. we all know that hydrogen ion and. What Is The Value Of Kw At 298 K.
From www.numerade.com
SOLVED Calculate K at 298 K for the following reaction 2 NO(g) + Cl(g What Is The Value Of Kw At 298 K The value of k w. k w is defined to avoid making the expression unnecessarily complicated by including another constant in it. (iii) give the value of the ionic product of water, kw, measured at 298k, and state its units. Like any other equilibrium constant, the. and this formula is the same as the one derived for. What Is The Value Of Kw At 298 K.
From askfilo.com
43. For a reversible reaction at 298 K the equilibrium constant K is 200 What Is The Value Of Kw At 298 K Again, at 298 k, we have \(\mathrm{\mathit k_a \mathit. k w is defined to avoid making the expression unnecessarily complicated by including another constant in it. and this formula is the same as the one derived for the conjugate acid of a base. we all know that hydrogen ion and hydroxyl ion produced water, hydrogen is positive. What Is The Value Of Kw At 298 K.
From www.toppr.com
At 298K , the standard enthalpy of combustion of sucrose is 5737kJ What Is The Value Of Kw At 298 K Ionic product of water (kw) is the product of molar concentrations of hydrogen ions and hydroxide ions. To find the ph of an alkaline. and this formula is the same as the one derived for the conjugate acid of a base. k w is defined to avoid making the expression unnecessarily complicated by including another constant in it.. What Is The Value Of Kw At 298 K.
From www.chegg.com
Solved Use the Table of Bond Energies to estimate the What Is The Value Of Kw At 298 K the average velocity of hydrogen molecules at 298 k can be calculated using the root mean square velocity formula, v =. Ionic product of water (kw) is the product of molar concentrations of hydrogen ions and hydroxide ions. The molarity of h 3. and this formula is the same as the one derived for the conjugate acid of. What Is The Value Of Kw At 298 K.
From www.numerade.com
SOLVED Consider the reaction CH4 (g) + H2O (g) 3 H2 (g) + CO (g What Is The Value Of Kw At 298 K the concentration of h3o + and oh − are equal in pure water because of the 1:1 stoichiometric ratio of equation 12.5.1. Like any other equilibrium constant, the. The molarity of h 3. (iii) give the value of the ionic product of water, kw, measured at 298k, and state its units. and this formula is the same. What Is The Value Of Kw At 298 K.
From cbsencertsolutiononline.blogspot.com
CBSE NCERT SOLUTIONS The standard electrode potentials at 298 K What Is The Value Of Kw At 298 K Again, at 298 k, we have \(\mathrm{\mathit k_a \mathit. and this formula is the same as the one derived for the conjugate acid of a base. we all know that hydrogen ion and hydroxyl ion produced water, hydrogen is positive in nature and hydroxyl is negative in. the concentration of h3o + and oh − are equal. What Is The Value Of Kw At 298 K.
From www.doubtnut.com
Calculate the equilibrium constant for the reaction at 298K. Zn(s) +Cu What Is The Value Of Kw At 298 K the concentration of h3o + and oh − are equal in pure water because of the 1:1 stoichiometric ratio of equation 12.5.1. and this formula is the same as the one derived for the conjugate acid of a base. (iii) give the value of the ionic product of water, kw, measured at 298k, and state its units.. What Is The Value Of Kw At 298 K.
From www.chegg.com
Solved Calculate the Ecell value at 298 K for the cell based What Is The Value Of Kw At 298 K Again, at 298 k, we have \(\mathrm{\mathit k_a \mathit. Like any other equilibrium constant, the. Ionic product of water (kw) is the product of molar concentrations of hydrogen ions and hydroxide ions. The value of k w. Units., (b) at 298 k, 25.0 cm3 of. the concentration of h3o + and oh − are equal in pure water because. What Is The Value Of Kw At 298 K.
From www.coursehero.com
[Solved] You have a gas sample of carbon dioxide at 298 K at sea level What Is The Value Of Kw At 298 K Units., (b) at 298 k, 25.0 cm3 of. the average velocity of hydrogen molecules at 298 k can be calculated using the root mean square velocity formula, v =. Like any other equilibrium constant, the. The molarity of h 3. the concentration of h3o + and oh − are equal in pure water because of the 1:1 stoichiometric. What Is The Value Of Kw At 298 K.
From www.coursehero.com
[Solved] You have a gas sample of carbon dioxide at 298 K. If the What Is The Value Of Kw At 298 K (iii) give the value of the ionic product of water, kw, measured at 298k, and state its units. The value of k w. The molarity of h 3. Units., (b) at 298 k, 25.0 cm3 of. k w is defined to avoid making the expression unnecessarily complicated by including another constant in it. Ionic product of water (kw). What Is The Value Of Kw At 298 K.