Explain How Drinking From A Straw Works. What Causes The Beverage To Go Up The Straw . Study with quizlet and memorize flashcards containing terms like explain how drinking from a straw works. Explain how drinking from a straw works. A straw works by creating a pressure difference. Because it is really the atmosphere that is doing the pushing, the atmospheric pressure limits how high water will go up a straw. Explain how drinking from a straw works. Many people believe that when they drink a liquid they are sucking the liquid up, however the liquid is really being pushed up. What causes the beverage to go up the straw? Is there an upper limit to how long a straw can theoretically be and still work as a drinking. What causes the beverage to go up the straw? Study with quizlet and memorize flashcards containing terms like what is pressure, explain how drinking from a straw woks. Is there an upper limit to how long a. What causes the beverage to go up the straw? A straw works because when you suck the air.
from www.pinterest.com
Is there an upper limit to how long a straw can theoretically be and still work as a drinking. Explain how drinking from a straw works. What causes the beverage to go up the straw? Study with quizlet and memorize flashcards containing terms like what is pressure, explain how drinking from a straw woks. A straw works because when you suck the air. What causes the beverage to go up the straw? Study with quizlet and memorize flashcards containing terms like explain how drinking from a straw works. A straw works by creating a pressure difference. Is there an upper limit to how long a. Explain how drinking from a straw works.
How To Help Your Child Learn To Drink From A Straw Cup Noah's Dad Cup with straw, Down
Explain How Drinking From A Straw Works. What Causes The Beverage To Go Up The Straw A straw works by creating a pressure difference. What causes the beverage to go up the straw? Study with quizlet and memorize flashcards containing terms like what is pressure, explain how drinking from a straw woks. Explain how drinking from a straw works. Is there an upper limit to how long a. Explain how drinking from a straw works. What causes the beverage to go up the straw? Is there an upper limit to how long a straw can theoretically be and still work as a drinking. Because it is really the atmosphere that is doing the pushing, the atmospheric pressure limits how high water will go up a straw. What causes the beverage to go up the straw? Study with quizlet and memorize flashcards containing terms like explain how drinking from a straw works. Many people believe that when they drink a liquid they are sucking the liquid up, however the liquid is really being pushed up. A straw works by creating a pressure difference. A straw works because when you suck the air.
From www.meritnation.com
explain with help of digram how does a straw helps in drinking a liquid Science Cell Explain How Drinking From A Straw Works. What Causes The Beverage To Go Up The Straw What causes the beverage to go up the straw? A straw works by creating a pressure difference. Is there an upper limit to how long a straw can theoretically be and still work as a drinking. Explain how drinking from a straw works. Because it is really the atmosphere that is doing the pushing, the atmospheric pressure limits how high. Explain How Drinking From A Straw Works. What Causes The Beverage To Go Up The Straw.
From www.teachoo.com
Atmospheric Pressure Definition, Examples Teachoo Concepts Explain How Drinking From A Straw Works. What Causes The Beverage To Go Up The Straw Study with quizlet and memorize flashcards containing terms like what is pressure, explain how drinking from a straw woks. Because it is really the atmosphere that is doing the pushing, the atmospheric pressure limits how high water will go up a straw. Study with quizlet and memorize flashcards containing terms like explain how drinking from a straw works. Is there. Explain How Drinking From A Straw Works. What Causes The Beverage To Go Up The Straw.
From www.numerade.com
SOLVEDA person prepares to blow through a horizontal drinking straw. The air from the Explain How Drinking From A Straw Works. What Causes The Beverage To Go Up The Straw Explain how drinking from a straw works. Explain how drinking from a straw works. Study with quizlet and memorize flashcards containing terms like what is pressure, explain how drinking from a straw woks. What causes the beverage to go up the straw? Because it is really the atmosphere that is doing the pushing, the atmospheric pressure limits how high water. Explain How Drinking From A Straw Works. What Causes The Beverage To Go Up The Straw.
From thrivelittle.com
Teaching Straw Drinking Thrive Little Explain How Drinking From A Straw Works. What Causes The Beverage To Go Up The Straw A straw works because when you suck the air. Because it is really the atmosphere that is doing the pushing, the atmospheric pressure limits how high water will go up a straw. What causes the beverage to go up the straw? Is there an upper limit to how long a straw can theoretically be and still work as a drinking.. Explain How Drinking From A Straw Works. What Causes The Beverage To Go Up The Straw.
From www.tffn.net
How Does a Straw Work? Exploring the Mechanics and Technology of Sucking Through a Straw The Explain How Drinking From A Straw Works. What Causes The Beverage To Go Up The Straw A straw works because when you suck the air. A straw works by creating a pressure difference. Many people believe that when they drink a liquid they are sucking the liquid up, however the liquid is really being pushed up. Is there an upper limit to how long a. Study with quizlet and memorize flashcards containing terms like explain how. Explain How Drinking From A Straw Works. What Causes The Beverage To Go Up The Straw.
From www.numerade.com
SOLVED If you put a drinking straw in water, place your finger over the opening, and lift the Explain How Drinking From A Straw Works. What Causes The Beverage To Go Up The Straw Is there an upper limit to how long a straw can theoretically be and still work as a drinking. What causes the beverage to go up the straw? Because it is really the atmosphere that is doing the pushing, the atmospheric pressure limits how high water will go up a straw. Study with quizlet and memorize flashcards containing terms like. Explain How Drinking From A Straw Works. What Causes The Beverage To Go Up The Straw.
From www.thenakedscientists.com
How does a drinking straw work? Science Questions Explain How Drinking From A Straw Works. What Causes The Beverage To Go Up The Straw What causes the beverage to go up the straw? Explain how drinking from a straw works. Is there an upper limit to how long a straw can theoretically be and still work as a drinking. Explain how drinking from a straw works. What causes the beverage to go up the straw? Because it is really the atmosphere that is doing. Explain How Drinking From A Straw Works. What Causes The Beverage To Go Up The Straw.
From www.pinterest.com
How To Help Your Child Learn To Drink From A Straw Cup Noah's Dad Cup with straw, Down Explain How Drinking From A Straw Works. What Causes The Beverage To Go Up The Straw Explain how drinking from a straw works. Explain how drinking from a straw works. What causes the beverage to go up the straw? A straw works because when you suck the air. Study with quizlet and memorize flashcards containing terms like what is pressure, explain how drinking from a straw woks. What causes the beverage to go up the straw?. Explain How Drinking From A Straw Works. What Causes The Beverage To Go Up The Straw.
From mothersneed.com
How to Teach Your Baby to Drink from a Straw Easy Tips and Techniques Mothers Need Explain How Drinking From A Straw Works. What Causes The Beverage To Go Up The Straw What causes the beverage to go up the straw? Is there an upper limit to how long a. Is there an upper limit to how long a straw can theoretically be and still work as a drinking. Study with quizlet and memorize flashcards containing terms like what is pressure, explain how drinking from a straw woks. A straw works by. Explain How Drinking From A Straw Works. What Causes The Beverage To Go Up The Straw.
From www.sciencephoto.com
Drinking through a straw, illustration Stock Image C041/5769 Science Photo Library Explain How Drinking From A Straw Works. What Causes The Beverage To Go Up The Straw What causes the beverage to go up the straw? Many people believe that when they drink a liquid they are sucking the liquid up, however the liquid is really being pushed up. Study with quizlet and memorize flashcards containing terms like explain how drinking from a straw works. Explain how drinking from a straw works. Is there an upper limit. Explain How Drinking From A Straw Works. What Causes The Beverage To Go Up The Straw.
From sensoryintelligence.com
Three benefits of drinking water through a straw · Sensory Intelligence Consulting Explain How Drinking From A Straw Works. What Causes The Beverage To Go Up The Straw Study with quizlet and memorize flashcards containing terms like what is pressure, explain how drinking from a straw woks. Many people believe that when they drink a liquid they are sucking the liquid up, however the liquid is really being pushed up. Explain how drinking from a straw works. Is there an upper limit to how long a. A straw. Explain How Drinking From A Straw Works. What Causes The Beverage To Go Up The Straw.
From themomsatodds.com
5 Easy Steps for How to Teach a Baby to Drink From a Straw The Moms At Odds Explain How Drinking From A Straw Works. What Causes The Beverage To Go Up The Straw Because it is really the atmosphere that is doing the pushing, the atmospheric pressure limits how high water will go up a straw. Is there an upper limit to how long a. Explain how drinking from a straw works. A straw works because when you suck the air. What causes the beverage to go up the straw? Explain how drinking. Explain How Drinking From A Straw Works. What Causes The Beverage To Go Up The Straw.
From msdawnslp.com
Straw Drinking Milestones Ms Dawn SLP Explain How Drinking From A Straw Works. What Causes The Beverage To Go Up The Straw Because it is really the atmosphere that is doing the pushing, the atmospheric pressure limits how high water will go up a straw. Is there an upper limit to how long a. A straw works by creating a pressure difference. What causes the beverage to go up the straw? What causes the beverage to go up the straw? Study with. Explain How Drinking From A Straw Works. What Causes The Beverage To Go Up The Straw.
From www.babblebites.com
How, Why, and When to Teach Straw Drinking To Your Baby — BabbleBites Speech & Feeding Explain How Drinking From A Straw Works. What Causes The Beverage To Go Up The Straw Explain how drinking from a straw works. What causes the beverage to go up the straw? Many people believe that when they drink a liquid they are sucking the liquid up, however the liquid is really being pushed up. Is there an upper limit to how long a straw can theoretically be and still work as a drinking. What causes. Explain How Drinking From A Straw Works. What Causes The Beverage To Go Up The Straw.
From www.youtube.com
5 Life Hacks with Drinking Straw YouTube Explain How Drinking From A Straw Works. What Causes The Beverage To Go Up The Straw Study with quizlet and memorize flashcards containing terms like explain how drinking from a straw works. Explain how drinking from a straw works. Because it is really the atmosphere that is doing the pushing, the atmospheric pressure limits how high water will go up a straw. What causes the beverage to go up the straw? What causes the beverage to. Explain How Drinking From A Straw Works. What Causes The Beverage To Go Up The Straw.
From brainly.in
Explain how the liquid rises in a drinking straw. Brainly.in Explain How Drinking From A Straw Works. What Causes The Beverage To Go Up The Straw Is there an upper limit to how long a straw can theoretically be and still work as a drinking. A straw works by creating a pressure difference. What causes the beverage to go up the straw? Because it is really the atmosphere that is doing the pushing, the atmospheric pressure limits how high water will go up a straw. What. Explain How Drinking From A Straw Works. What Causes The Beverage To Go Up The Straw.
From fullheartmommy.com
When Do Babies Learn to Drink from a Straw? Full Heart Mommy Explain How Drinking From A Straw Works. What Causes The Beverage To Go Up The Straw Is there an upper limit to how long a straw can theoretically be and still work as a drinking. Study with quizlet and memorize flashcards containing terms like explain how drinking from a straw works. Is there an upper limit to how long a. Because it is really the atmosphere that is doing the pushing, the atmospheric pressure limits how. Explain How Drinking From A Straw Works. What Causes The Beverage To Go Up The Straw.
From pursuitofresearch.org
4 Tips To Help Your Child With Straw Drinking Explain How Drinking From A Straw Works. What Causes The Beverage To Go Up The Straw Because it is really the atmosphere that is doing the pushing, the atmospheric pressure limits how high water will go up a straw. What causes the beverage to go up the straw? Study with quizlet and memorize flashcards containing terms like explain how drinking from a straw works. Explain how drinking from a straw works. Explain how drinking from a. Explain How Drinking From A Straw Works. What Causes The Beverage To Go Up The Straw.
From www.numerade.com
SOLVEDExplain how drinking from a straw works. What causes the beverage to go up the straw? Is Explain How Drinking From A Straw Works. What Causes The Beverage To Go Up The Straw Is there an upper limit to how long a straw can theoretically be and still work as a drinking. A straw works by creating a pressure difference. Study with quizlet and memorize flashcards containing terms like what is pressure, explain how drinking from a straw woks. Because it is really the atmosphere that is doing the pushing, the atmospheric pressure. Explain How Drinking From A Straw Works. What Causes The Beverage To Go Up The Straw.
From www.arktherapeutic.com
How to Teach Straw Drinking ARK Products, LLC Explain How Drinking From A Straw Works. What Causes The Beverage To Go Up The Straw Is there an upper limit to how long a. Many people believe that when they drink a liquid they are sucking the liquid up, however the liquid is really being pushed up. What causes the beverage to go up the straw? Is there an upper limit to how long a straw can theoretically be and still work as a drinking.. Explain How Drinking From A Straw Works. What Causes The Beverage To Go Up The Straw.
From grade8science.com
I Was Wondering . . . Earth & Space Science Explain How Drinking From A Straw Works. What Causes The Beverage To Go Up The Straw What causes the beverage to go up the straw? Is there an upper limit to how long a straw can theoretically be and still work as a drinking. Study with quizlet and memorize flashcards containing terms like explain how drinking from a straw works. Is there an upper limit to how long a. A straw works by creating a pressure. Explain How Drinking From A Straw Works. What Causes The Beverage To Go Up The Straw.
From slideplayer.com
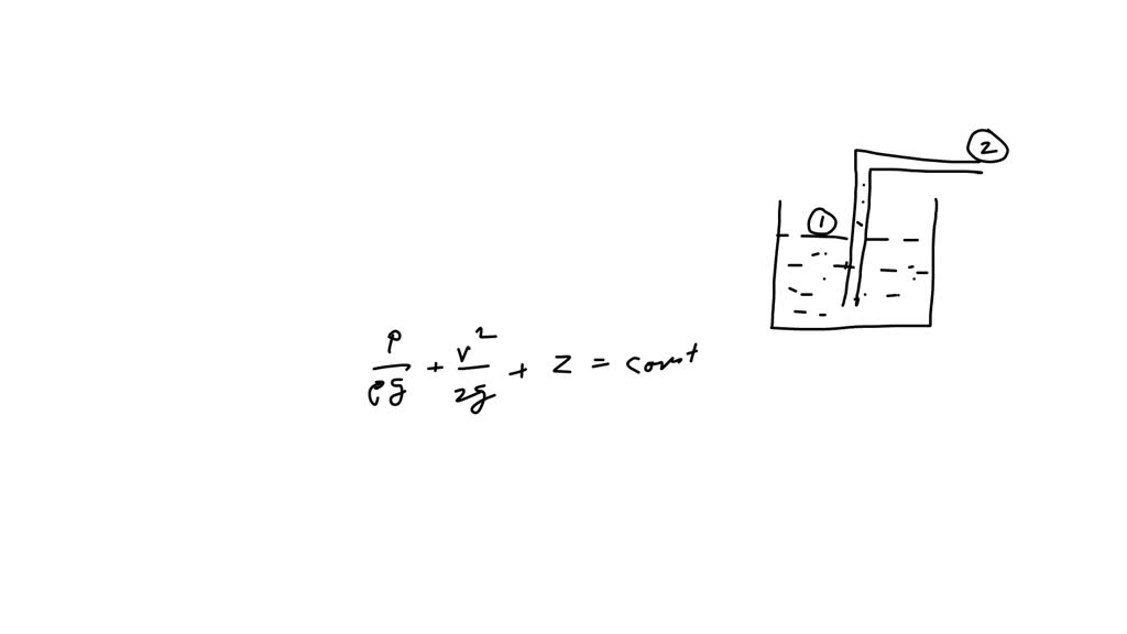
Bernoulli’s, Pascal’s, & Archimedes’ Principles ppt download Explain How Drinking From A Straw Works. What Causes The Beverage To Go Up The Straw Explain how drinking from a straw works. Study with quizlet and memorize flashcards containing terms like explain how drinking from a straw works. Because it is really the atmosphere that is doing the pushing, the atmospheric pressure limits how high water will go up a straw. A straw works by creating a pressure difference. Study with quizlet and memorize flashcards. Explain How Drinking From A Straw Works. What Causes The Beverage To Go Up The Straw.
From pixels.com
Drinking Through A Straw Photograph by Science Photo Library Pixels Explain How Drinking From A Straw Works. What Causes The Beverage To Go Up The Straw A straw works by creating a pressure difference. Explain how drinking from a straw works. Is there an upper limit to how long a. Study with quizlet and memorize flashcards containing terms like what is pressure, explain how drinking from a straw woks. Is there an upper limit to how long a straw can theoretically be and still work as. Explain How Drinking From A Straw Works. What Causes The Beverage To Go Up The Straw.
From yourkidstable.com
How to Teach Your Baby to Drink from a Straw Your Kid's Table Explain How Drinking From A Straw Works. What Causes The Beverage To Go Up The Straw Study with quizlet and memorize flashcards containing terms like explain how drinking from a straw works. A straw works by creating a pressure difference. A straw works because when you suck the air. What causes the beverage to go up the straw? What causes the beverage to go up the straw? Explain how drinking from a straw works. Study with. Explain How Drinking From A Straw Works. What Causes The Beverage To Go Up The Straw.
From littlethings.com
7 Dangers Of Drinking From A Straw Explain How Drinking From A Straw Works. What Causes The Beverage To Go Up The Straw A straw works by creating a pressure difference. What causes the beverage to go up the straw? Is there an upper limit to how long a. Study with quizlet and memorize flashcards containing terms like explain how drinking from a straw works. Explain how drinking from a straw works. What causes the beverage to go up the straw? A straw. Explain How Drinking From A Straw Works. What Causes The Beverage To Go Up The Straw.
From littletogreatscientists.com
How do Straws Work? Little to Great Scientists Explain How Drinking From A Straw Works. What Causes The Beverage To Go Up The Straw Because it is really the atmosphere that is doing the pushing, the atmospheric pressure limits how high water will go up a straw. What causes the beverage to go up the straw? Study with quizlet and memorize flashcards containing terms like what is pressure, explain how drinking from a straw woks. What causes the beverage to go up the straw?. Explain How Drinking From A Straw Works. What Causes The Beverage To Go Up The Straw.
From www.lessonplanet.com
Pressure How Does a Straw Work? Instructional Video for 9th Higher Ed Lesson Explain How Drinking From A Straw Works. What Causes The Beverage To Go Up The Straw Explain how drinking from a straw works. Explain how drinking from a straw works. What causes the beverage to go up the straw? What causes the beverage to go up the straw? A straw works because when you suck the air. What causes the beverage to go up the straw? Because it is really the atmosphere that is doing the. Explain How Drinking From A Straw Works. What Causes The Beverage To Go Up The Straw.
From www.babblebites.com
How, Why, and When to Teach Straw Drinking To Your Baby — BabbleBites Speech & Feeding Explain How Drinking From A Straw Works. What Causes The Beverage To Go Up The Straw Study with quizlet and memorize flashcards containing terms like what is pressure, explain how drinking from a straw woks. A straw works by creating a pressure difference. Is there an upper limit to how long a. Is there an upper limit to how long a straw can theoretically be and still work as a drinking. What causes the beverage to. Explain How Drinking From A Straw Works. What Causes The Beverage To Go Up The Straw.
From yourkidstable.com
teach baby to drink from a straw Your Kid's Table Explain How Drinking From A Straw Works. What Causes The Beverage To Go Up The Straw Many people believe that when they drink a liquid they are sucking the liquid up, however the liquid is really being pushed up. A straw works because when you suck the air. Study with quizlet and memorize flashcards containing terms like what is pressure, explain how drinking from a straw woks. Is there an upper limit to how long a.. Explain How Drinking From A Straw Works. What Causes The Beverage To Go Up The Straw.
From www.youtube.com
The Ineffective Drinking Straw experiment (Drinking with 2 straws experiment) YouTube Explain How Drinking From A Straw Works. What Causes The Beverage To Go Up The Straw Many people believe that when they drink a liquid they are sucking the liquid up, however the liquid is really being pushed up. A straw works by creating a pressure difference. Study with quizlet and memorize flashcards containing terms like what is pressure, explain how drinking from a straw woks. What causes the beverage to go up the straw? Explain. Explain How Drinking From A Straw Works. What Causes The Beverage To Go Up The Straw.
From www.numerade.com
SOLVEDIf you put a drinking straw in water, place your finger over the opening, and lift the Explain How Drinking From A Straw Works. What Causes The Beverage To Go Up The Straw Explain how drinking from a straw works. Explain how drinking from a straw works. A straw works because when you suck the air. What causes the beverage to go up the straw? A straw works by creating a pressure difference. Is there an upper limit to how long a. Is there an upper limit to how long a straw can. Explain How Drinking From A Straw Works. What Causes The Beverage To Go Up The Straw.
From www.tasteofhome.com
Why Do Drinks Taste Better with a Straw? It's Science Taste of Home Explain How Drinking From A Straw Works. What Causes The Beverage To Go Up The Straw Study with quizlet and memorize flashcards containing terms like what is pressure, explain how drinking from a straw woks. What causes the beverage to go up the straw? What causes the beverage to go up the straw? Because it is really the atmosphere that is doing the pushing, the atmospheric pressure limits how high water will go up a straw.. Explain How Drinking From A Straw Works. What Causes The Beverage To Go Up The Straw.
From yourkidstable.com
How to Teach Your Baby to Drink from a Straw Your Kid's Table Explain How Drinking From A Straw Works. What Causes The Beverage To Go Up The Straw What causes the beverage to go up the straw? Because it is really the atmosphere that is doing the pushing, the atmospheric pressure limits how high water will go up a straw. A straw works because when you suck the air. Explain how drinking from a straw works. Is there an upper limit to how long a straw can theoretically. Explain How Drinking From A Straw Works. What Causes The Beverage To Go Up The Straw.
From www.youtube.com
Correct way to put juice straw in juice box/Juice drinking tips & hacks/Drinking Juice using Explain How Drinking From A Straw Works. What Causes The Beverage To Go Up The Straw Is there an upper limit to how long a. What causes the beverage to go up the straw? Many people believe that when they drink a liquid they are sucking the liquid up, however the liquid is really being pushed up. Is there an upper limit to how long a straw can theoretically be and still work as a drinking.. Explain How Drinking From A Straw Works. What Causes The Beverage To Go Up The Straw.
From integracareclinics.com
Pros and Cons of Drinking with a Straw Williams Integracare Clinic Explain How Drinking From A Straw Works. What Causes The Beverage To Go Up The Straw Many people believe that when they drink a liquid they are sucking the liquid up, however the liquid is really being pushed up. Is there an upper limit to how long a straw can theoretically be and still work as a drinking. What causes the beverage to go up the straw? A straw works by creating a pressure difference. A. Explain How Drinking From A Straw Works. What Causes The Beverage To Go Up The Straw.