Differential Calculus On Normed Spaces Cartan Pdf . Unlike most similar texts, which usually develop the theory. This classic and long out of print text by the famous french mathematician henri cartan, has finally been retitled and reissued as. It provides a concise and beautifully written course on rigorous analysis. In this chapter we will review some of the important results of the differential calculus on normed linear spaces. The introductory section provides an overview of the algebra and. In this chapter, we will review some of the important results of the differential calculus on normed linear spaces. The first develops the abstract differential calculus. Ant by its derivative (if it. In its attempt to show how calculus on normed vector spaces extends the basic calculus of functions of several variables, this book is one. Differential calculus on normed spaces a course in analysis by henri cartan, karo maestro, moore, john, and dale husemoller.
from www.scribd.com
The first develops the abstract differential calculus. In this chapter, we will review some of the important results of the differential calculus on normed linear spaces. This classic and long out of print text by the famous french mathematician henri cartan, has finally been retitled and reissued as. Unlike most similar texts, which usually develop the theory. Differential calculus on normed spaces a course in analysis by henri cartan, karo maestro, moore, john, and dale husemoller. The introductory section provides an overview of the algebra and. Ant by its derivative (if it. In its attempt to show how calculus on normed vector spaces extends the basic calculus of functions of several variables, this book is one. It provides a concise and beautifully written course on rigorous analysis. In this chapter we will review some of the important results of the differential calculus on normed linear spaces.
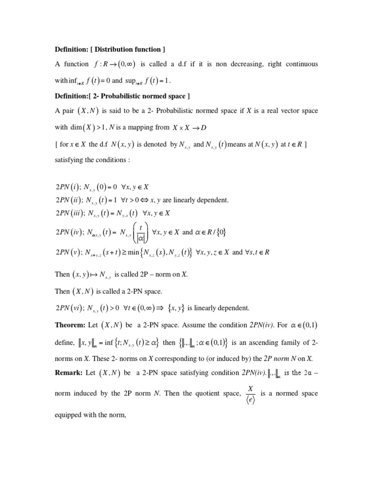
Defining 2Probabilistic Normed Spaces and Proving Properties of 2Norms Induced by 2PNorms
Differential Calculus On Normed Spaces Cartan Pdf The introductory section provides an overview of the algebra and. The introductory section provides an overview of the algebra and. This classic and long out of print text by the famous french mathematician henri cartan, has finally been retitled and reissued as. In this chapter we will review some of the important results of the differential calculus on normed linear spaces. Ant by its derivative (if it. Unlike most similar texts, which usually develop the theory. Differential calculus on normed spaces a course in analysis by henri cartan, karo maestro, moore, john, and dale husemoller. The first develops the abstract differential calculus. It provides a concise and beautifully written course on rigorous analysis. In this chapter, we will review some of the important results of the differential calculus on normed linear spaces. In its attempt to show how calculus on normed vector spaces extends the basic calculus of functions of several variables, this book is one.
From www.researchgate.net
(PDF) Integral and differential calculus in Riesz spaces and applications Differential Calculus On Normed Spaces Cartan Pdf In its attempt to show how calculus on normed vector spaces extends the basic calculus of functions of several variables, this book is one. The first develops the abstract differential calculus. Differential calculus on normed spaces a course in analysis by henri cartan, karo maestro, moore, john, and dale husemoller. Ant by its derivative (if it. It provides a concise. Differential Calculus On Normed Spaces Cartan Pdf.
From www.templateroller.com
Differential Calculus Cheat Sheet Paul a. Jargowsky Download Printable PDF Templateroller Differential Calculus On Normed Spaces Cartan Pdf In its attempt to show how calculus on normed vector spaces extends the basic calculus of functions of several variables, this book is one. This classic and long out of print text by the famous french mathematician henri cartan, has finally been retitled and reissued as. In this chapter, we will review some of the important results of the differential. Differential Calculus On Normed Spaces Cartan Pdf.
From www.researchgate.net
Introduction to Cartan numbers and some geometric applications Request PDF Differential Calculus On Normed Spaces Cartan Pdf The first develops the abstract differential calculus. In this chapter we will review some of the important results of the differential calculus on normed linear spaces. This classic and long out of print text by the famous french mathematician henri cartan, has finally been retitled and reissued as. Ant by its derivative (if it. It provides a concise and beautifully. Differential Calculus On Normed Spaces Cartan Pdf.
From www.researchgate.net
(PDF) Cartan calculus in string topology Differential Calculus On Normed Spaces Cartan Pdf Unlike most similar texts, which usually develop the theory. It provides a concise and beautifully written course on rigorous analysis. In this chapter, we will review some of the important results of the differential calculus on normed linear spaces. In its attempt to show how calculus on normed vector spaces extends the basic calculus of functions of several variables, this. Differential Calculus On Normed Spaces Cartan Pdf.
From www.scribd.com
Differential Calculus Limits and Continuity, Derivatives, Integration PDF Function Differential Calculus On Normed Spaces Cartan Pdf The first develops the abstract differential calculus. Ant by its derivative (if it. It provides a concise and beautifully written course on rigorous analysis. In this chapter, we will review some of the important results of the differential calculus on normed linear spaces. Unlike most similar texts, which usually develop the theory. This classic and long out of print text. Differential Calculus On Normed Spaces Cartan Pdf.
From www.studypool.com
SOLUTION Differential calculus review outline tangents and normal critical points and Differential Calculus On Normed Spaces Cartan Pdf The introductory section provides an overview of the algebra and. Ant by its derivative (if it. It provides a concise and beautifully written course on rigorous analysis. In this chapter we will review some of the important results of the differential calculus on normed linear spaces. The first develops the abstract differential calculus. In this chapter, we will review some. Differential Calculus On Normed Spaces Cartan Pdf.
From www.scribd.com
MaurerCartan Methods in Deformation Theory The Twisting Procedure PDF Differential Differential Calculus On Normed Spaces Cartan Pdf Unlike most similar texts, which usually develop the theory. Differential calculus on normed spaces a course in analysis by henri cartan, karo maestro, moore, john, and dale husemoller. In this chapter we will review some of the important results of the differential calculus on normed linear spaces. This classic and long out of print text by the famous french mathematician. Differential Calculus On Normed Spaces Cartan Pdf.
From www.researchgate.net
(PDF) Differential and integral calculus in Riesz spaces Differential Calculus On Normed Spaces Cartan Pdf Ant by its derivative (if it. The first develops the abstract differential calculus. Differential calculus on normed spaces a course in analysis by henri cartan, karo maestro, moore, john, and dale husemoller. In this chapter, we will review some of the important results of the differential calculus on normed linear spaces. The introductory section provides an overview of the algebra. Differential Calculus On Normed Spaces Cartan Pdf.
From www.researchgate.net
(PDF) Differentiable Functions on Normed Linear Spaces Differential Calculus On Normed Spaces Cartan Pdf It provides a concise and beautifully written course on rigorous analysis. Unlike most similar texts, which usually develop the theory. The first develops the abstract differential calculus. The introductory section provides an overview of the algebra and. Differential calculus on normed spaces a course in analysis by henri cartan, karo maestro, moore, john, and dale husemoller. In this chapter we. Differential Calculus On Normed Spaces Cartan Pdf.
From dokumen.tips
(PDF) Normed Spaces homepages.math.uic.eduhomepages.math.uic.edu/shvydkoy/math539 Differential Calculus On Normed Spaces Cartan Pdf Unlike most similar texts, which usually develop the theory. The introductory section provides an overview of the algebra and. The first develops the abstract differential calculus. In this chapter, we will review some of the important results of the differential calculus on normed linear spaces. It provides a concise and beautifully written course on rigorous analysis. In this chapter we. Differential Calculus On Normed Spaces Cartan Pdf.
From www.bol.com
Differential Calculas in Normed Linear Spaces 9788185931760 Kalyan Mukherjea Boeken Differential Calculus On Normed Spaces Cartan Pdf This classic and long out of print text by the famous french mathematician henri cartan, has finally been retitled and reissued as. In its attempt to show how calculus on normed vector spaces extends the basic calculus of functions of several variables, this book is one. In this chapter we will review some of the important results of the differential. Differential Calculus On Normed Spaces Cartan Pdf.
From www.studypool.com
SOLUTION 20 examples of differential calculus Studypool Differential Calculus On Normed Spaces Cartan Pdf In this chapter we will review some of the important results of the differential calculus on normed linear spaces. This classic and long out of print text by the famous french mathematician henri cartan, has finally been retitled and reissued as. Differential calculus on normed spaces a course in analysis by henri cartan, karo maestro, moore, john, and dale husemoller.. Differential Calculus On Normed Spaces Cartan Pdf.
From www.researchgate.net
(PDF) Probabilistic Normed Spaces Differential Calculus On Normed Spaces Cartan Pdf This classic and long out of print text by the famous french mathematician henri cartan, has finally been retitled and reissued as. The first develops the abstract differential calculus. Differential calculus on normed spaces a course in analysis by henri cartan, karo maestro, moore, john, and dale husemoller. Ant by its derivative (if it. In its attempt to show how. Differential Calculus On Normed Spaces Cartan Pdf.
From dokumen.tips
(PDF) unituebingen.de › › manifolds.pdf1. Calculus on normed vector spaces We introduce and Differential Calculus On Normed Spaces Cartan Pdf In this chapter, we will review some of the important results of the differential calculus on normed linear spaces. In its attempt to show how calculus on normed vector spaces extends the basic calculus of functions of several variables, this book is one. It provides a concise and beautifully written course on rigorous analysis. In this chapter we will review. Differential Calculus On Normed Spaces Cartan Pdf.
From www.scribd.com
Lec. 2 Metric and Normed Spaces PDF Norm (Mathematics) Metric Space Differential Calculus On Normed Spaces Cartan Pdf The first develops the abstract differential calculus. In this chapter, we will review some of the important results of the differential calculus on normed linear spaces. This classic and long out of print text by the famous french mathematician henri cartan, has finally been retitled and reissued as. The introductory section provides an overview of the algebra and. Differential calculus. Differential Calculus On Normed Spaces Cartan Pdf.
From www.amazon.com
Differential Calculas in Normed Linear Spaces (Texts and Readings in Mathematics Book 26) 2 Differential Calculus On Normed Spaces Cartan Pdf Differential calculus on normed spaces a course in analysis by henri cartan, karo maestro, moore, john, and dale husemoller. The first develops the abstract differential calculus. This classic and long out of print text by the famous french mathematician henri cartan, has finally been retitled and reissued as. In this chapter we will review some of the important results of. Differential Calculus On Normed Spaces Cartan Pdf.
From www.researchgate.net
(PDF) On Cartan Spaces with the mth Root Metric K(x,p)=\sqrt[m]{a^{i_{1}i_{2}...i_{m}}(x)p Differential Calculus On Normed Spaces Cartan Pdf The first develops the abstract differential calculus. In its attempt to show how calculus on normed vector spaces extends the basic calculus of functions of several variables, this book is one. The introductory section provides an overview of the algebra and. This classic and long out of print text by the famous french mathematician henri cartan, has finally been retitled. Differential Calculus On Normed Spaces Cartan Pdf.
From www.researchgate.net
(PDF) Quantum Regge Calculus of EinsteinCartan theory Differential Calculus On Normed Spaces Cartan Pdf The introductory section provides an overview of the algebra and. The first develops the abstract differential calculus. In this chapter we will review some of the important results of the differential calculus on normed linear spaces. This classic and long out of print text by the famous french mathematician henri cartan, has finally been retitled and reissued as. In its. Differential Calculus On Normed Spaces Cartan Pdf.
From www.goodreads.com
Differential Calculus on Normed Spaces A Course in Analysis by Henri Cartan Differential Calculus On Normed Spaces Cartan Pdf Unlike most similar texts, which usually develop the theory. Differential calculus on normed spaces a course in analysis by henri cartan, karo maestro, moore, john, and dale husemoller. In this chapter we will review some of the important results of the differential calculus on normed linear spaces. In its attempt to show how calculus on normed vector spaces extends the. Differential Calculus On Normed Spaces Cartan Pdf.
From www.researchgate.net
(PDF) Some applications of firstorder differential subordinations for holomorphic functions in Differential Calculus On Normed Spaces Cartan Pdf It provides a concise and beautifully written course on rigorous analysis. Unlike most similar texts, which usually develop the theory. This classic and long out of print text by the famous french mathematician henri cartan, has finally been retitled and reissued as. In this chapter, we will review some of the important results of the differential calculus on normed linear. Differential Calculus On Normed Spaces Cartan Pdf.
From www.pinterest.com
Cartan for beginners differential geometry via moving frames and exterior differential systems Differential Calculus On Normed Spaces Cartan Pdf It provides a concise and beautifully written course on rigorous analysis. This classic and long out of print text by the famous french mathematician henri cartan, has finally been retitled and reissued as. Differential calculus on normed spaces a course in analysis by henri cartan, karo maestro, moore, john, and dale husemoller. Ant by its derivative (if it. In this. Differential Calculus On Normed Spaces Cartan Pdf.
From www.researchgate.net
(PDF) Cartan calculi on the free loop spaces Differential Calculus On Normed Spaces Cartan Pdf The first develops the abstract differential calculus. Differential calculus on normed spaces a course in analysis by henri cartan, karo maestro, moore, john, and dale husemoller. In its attempt to show how calculus on normed vector spaces extends the basic calculus of functions of several variables, this book is one. In this chapter, we will review some of the important. Differential Calculus On Normed Spaces Cartan Pdf.
From www.scribd.com
Almost Periodic Solutions of Differential Equations Normed Spaces PDF Banach Space Differential Calculus On Normed Spaces Cartan Pdf Unlike most similar texts, which usually develop the theory. The introductory section provides an overview of the algebra and. It provides a concise and beautifully written course on rigorous analysis. In its attempt to show how calculus on normed vector spaces extends the basic calculus of functions of several variables, this book is one. In this chapter we will review. Differential Calculus On Normed Spaces Cartan Pdf.
From shop.handwrittennotes.in
Differential Calculus Handwritten Notes PDF Shop Handwritten Notes (SHN) Differential Calculus On Normed Spaces Cartan Pdf In this chapter, we will review some of the important results of the differential calculus on normed linear spaces. In this chapter we will review some of the important results of the differential calculus on normed linear spaces. The first develops the abstract differential calculus. This classic and long out of print text by the famous french mathematician henri cartan,. Differential Calculus On Normed Spaces Cartan Pdf.
From www.scribd.com
Defining 2Probabilistic Normed Spaces and Proving Properties of 2Norms Induced by 2PNorms Differential Calculus On Normed Spaces Cartan Pdf In this chapter, we will review some of the important results of the differential calculus on normed linear spaces. In its attempt to show how calculus on normed vector spaces extends the basic calculus of functions of several variables, this book is one. The introductory section provides an overview of the algebra and. The first develops the abstract differential calculus.. Differential Calculus On Normed Spaces Cartan Pdf.
From www.researchgate.net
(PDF) Differential Calculus and Discrete Structures Differential Calculus On Normed Spaces Cartan Pdf Ant by its derivative (if it. Unlike most similar texts, which usually develop the theory. In its attempt to show how calculus on normed vector spaces extends the basic calculus of functions of several variables, this book is one. It provides a concise and beautifully written course on rigorous analysis. This classic and long out of print text by the. Differential Calculus On Normed Spaces Cartan Pdf.
From www.scribd.com
20 1 Normed Vector Spaces PDF Vector Space Scalar (Mathematics) Differential Calculus On Normed Spaces Cartan Pdf In this chapter we will review some of the important results of the differential calculus on normed linear spaces. It provides a concise and beautifully written course on rigorous analysis. In its attempt to show how calculus on normed vector spaces extends the basic calculus of functions of several variables, this book is one. Unlike most similar texts, which usually. Differential Calculus On Normed Spaces Cartan Pdf.
From www.scribd.com
H. Cartan Differential CalculusHoughton Mifflin (1971) PDF Differential Calculus On Normed Spaces Cartan Pdf Ant by its derivative (if it. Unlike most similar texts, which usually develop the theory. In this chapter we will review some of the important results of the differential calculus on normed linear spaces. In its attempt to show how calculus on normed vector spaces extends the basic calculus of functions of several variables, this book is one. Differential calculus. Differential Calculus On Normed Spaces Cartan Pdf.
From dokumen.tips
(PDF) Vector Calculus, Linear Algebra and Differential Forms.pdf DOKUMEN.TIPS Differential Calculus On Normed Spaces Cartan Pdf It provides a concise and beautifully written course on rigorous analysis. In its attempt to show how calculus on normed vector spaces extends the basic calculus of functions of several variables, this book is one. Ant by its derivative (if it. Unlike most similar texts, which usually develop the theory. The introductory section provides an overview of the algebra and.. Differential Calculus On Normed Spaces Cartan Pdf.
From fyomiwrtt.blob.core.windows.net
Differential Calculus On Normed Spaces at Sonja Gonzales blog Differential Calculus On Normed Spaces Cartan Pdf In this chapter we will review some of the important results of the differential calculus on normed linear spaces. Ant by its derivative (if it. The introductory section provides an overview of the algebra and. In this chapter, we will review some of the important results of the differential calculus on normed linear spaces. It provides a concise and beautifully. Differential Calculus On Normed Spaces Cartan Pdf.
From www.amazon.com
Differential Calculus On Normed Spaces A Course In Analysis eBook Henri, Cartan Differential Calculus On Normed Spaces Cartan Pdf The first develops the abstract differential calculus. The introductory section provides an overview of the algebra and. It provides a concise and beautifully written course on rigorous analysis. This classic and long out of print text by the famous french mathematician henri cartan, has finally been retitled and reissued as. In its attempt to show how calculus on normed vector. Differential Calculus On Normed Spaces Cartan Pdf.
From www.youtube.com
M3302 Differential Calculus in Banach spaces Section1.1 Review of normed and Banach spaces Differential Calculus On Normed Spaces Cartan Pdf The introductory section provides an overview of the algebra and. Ant by its derivative (if it. This classic and long out of print text by the famous french mathematician henri cartan, has finally been retitled and reissued as. The first develops the abstract differential calculus. Differential calculus on normed spaces a course in analysis by henri cartan, karo maestro, moore,. Differential Calculus On Normed Spaces Cartan Pdf.
From fyomiwrtt.blob.core.windows.net
Differential Calculus On Normed Spaces at Sonja Gonzales blog Differential Calculus On Normed Spaces Cartan Pdf In this chapter we will review some of the important results of the differential calculus on normed linear spaces. The introductory section provides an overview of the algebra and. In this chapter, we will review some of the important results of the differential calculus on normed linear spaces. This classic and long out of print text by the famous french. Differential Calculus On Normed Spaces Cartan Pdf.
From www.researchgate.net
(PDF) Strongly Summable Double Sequence Spaces in nNormed Spaces Defined by Ideal Convergence Differential Calculus On Normed Spaces Cartan Pdf It provides a concise and beautifully written course on rigorous analysis. Ant by its derivative (if it. This classic and long out of print text by the famous french mathematician henri cartan, has finally been retitled and reissued as. In its attempt to show how calculus on normed vector spaces extends the basic calculus of functions of several variables, this. Differential Calculus On Normed Spaces Cartan Pdf.
From www.scribd.com
Week 4 CHAPTER 2. Differential Calculus in R 2.1 The Normed Space of Linear Mappings PDF Differential Calculus On Normed Spaces Cartan Pdf In its attempt to show how calculus on normed vector spaces extends the basic calculus of functions of several variables, this book is one. Differential calculus on normed spaces a course in analysis by henri cartan, karo maestro, moore, john, and dale husemoller. In this chapter, we will review some of the important results of the differential calculus on normed. Differential Calculus On Normed Spaces Cartan Pdf.