Dishwasher Flow Rate . It took me 2.5 seconds to fill one us liquid pint (or 473 ml) at a flow rate that seemed usable for rinse washing, which gives us a flow rate of roughly. Compare the water usage and features of seven dishwashers that can help you save water and money in a drought. Learn how many gallons per minute (gpm) different fixtures in your house use, such as toilets, showers, faucets, dishwashers, and washing machines. Learn about the latest updates to part g of the building regulations 2010, which cover water efficiency, hot water safety, rainwater and greywater use, and compost toilets. Learn how much water a dishwasher uses and how to save it with some easy tips. The average dishwasher now uses about 6 gallons per load of dishes, but older models require as much as 10 gallons per load.4 watersense does.
from multimeterinfo.com
It took me 2.5 seconds to fill one us liquid pint (or 473 ml) at a flow rate that seemed usable for rinse washing, which gives us a flow rate of roughly. Learn about the latest updates to part g of the building regulations 2010, which cover water efficiency, hot water safety, rainwater and greywater use, and compost toilets. Compare the water usage and features of seven dishwashers that can help you save water and money in a drought. Learn how much water a dishwasher uses and how to save it with some easy tips. The average dishwasher now uses about 6 gallons per load of dishes, but older models require as much as 10 gallons per load.4 watersense does. Learn how many gallons per minute (gpm) different fixtures in your house use, such as toilets, showers, faucets, dishwashers, and washing machines.
How To Test Dishwasher Circulation Pump With Multimeter 2023
Dishwasher Flow Rate Learn about the latest updates to part g of the building regulations 2010, which cover water efficiency, hot water safety, rainwater and greywater use, and compost toilets. Learn about the latest updates to part g of the building regulations 2010, which cover water efficiency, hot water safety, rainwater and greywater use, and compost toilets. Learn how many gallons per minute (gpm) different fixtures in your house use, such as toilets, showers, faucets, dishwashers, and washing machines. Learn how much water a dishwasher uses and how to save it with some easy tips. It took me 2.5 seconds to fill one us liquid pint (or 473 ml) at a flow rate that seemed usable for rinse washing, which gives us a flow rate of roughly. The average dishwasher now uses about 6 gallons per load of dishes, but older models require as much as 10 gallons per load.4 watersense does. Compare the water usage and features of seven dishwashers that can help you save water and money in a drought.
From blog.constellation.com
How Long Does a Dishwasher Run and Why? Constellation Dishwasher Flow Rate Learn about the latest updates to part g of the building regulations 2010, which cover water efficiency, hot water safety, rainwater and greywater use, and compost toilets. Learn how much water a dishwasher uses and how to save it with some easy tips. It took me 2.5 seconds to fill one us liquid pint (or 473 ml) at a flow. Dishwasher Flow Rate.
From wwspares.com.au
BEKO DISHWASHER FLOW METER 2879400100 Dishwasher Flow Rate Compare the water usage and features of seven dishwashers that can help you save water and money in a drought. The average dishwasher now uses about 6 gallons per load of dishes, but older models require as much as 10 gallons per load.4 watersense does. It took me 2.5 seconds to fill one us liquid pint (or 473 ml) at. Dishwasher Flow Rate.
From www.expresssewer.com
6 Signs Your Dishwasher is Clogged and How to Fix Dishwasher Problems Dishwasher Flow Rate Learn about the latest updates to part g of the building regulations 2010, which cover water efficiency, hot water safety, rainwater and greywater use, and compost toilets. Compare the water usage and features of seven dishwashers that can help you save water and money in a drought. The average dishwasher now uses about 6 gallons per load of dishes, but. Dishwasher Flow Rate.
From shop.ukwhitegoods.co.uk
769290113 Smeg Dishwasher Flow Meter Dishwasher Flow Rate It took me 2.5 seconds to fill one us liquid pint (or 473 ml) at a flow rate that seemed usable for rinse washing, which gives us a flow rate of roughly. Learn how many gallons per minute (gpm) different fixtures in your house use, such as toilets, showers, faucets, dishwashers, and washing machines. Compare the water usage and features. Dishwasher Flow Rate.
From www.redbubble.com
"Flowchart how to use the office dishwasher" by garykemble Redbubble Dishwasher Flow Rate Compare the water usage and features of seven dishwashers that can help you save water and money in a drought. Learn how much water a dishwasher uses and how to save it with some easy tips. The average dishwasher now uses about 6 gallons per load of dishes, but older models require as much as 10 gallons per load.4 watersense. Dishwasher Flow Rate.
From removeandreplace.com
Best Helpful DIY Tips To Keep Your Dishwasher Running Smooth And Dishwasher Flow Rate It took me 2.5 seconds to fill one us liquid pint (or 473 ml) at a flow rate that seemed usable for rinse washing, which gives us a flow rate of roughly. Learn how much water a dishwasher uses and how to save it with some easy tips. The average dishwasher now uses about 6 gallons per load of dishes,. Dishwasher Flow Rate.
From tanklesswaterheaterexpress.com
What Size Tankless Water Heater Do I Need? [5 Factors Explained] 🔥 Dishwasher Flow Rate Compare the water usage and features of seven dishwashers that can help you save water and money in a drought. It took me 2.5 seconds to fill one us liquid pint (or 473 ml) at a flow rate that seemed usable for rinse washing, which gives us a flow rate of roughly. Learn about the latest updates to part g. Dishwasher Flow Rate.
From handymantips.org
Common Dishwasher Faults and How to Fix Them? Dishwasher Flow Rate The average dishwasher now uses about 6 gallons per load of dishes, but older models require as much as 10 gallons per load.4 watersense does. Learn how many gallons per minute (gpm) different fixtures in your house use, such as toilets, showers, faucets, dishwashers, and washing machines. Learn about the latest updates to part g of the building regulations 2010,. Dishwasher Flow Rate.
From www.twindis.com
Bosch/Siemens Dishwasher Flow Meter Twindis Dishwasher Flow Rate It took me 2.5 seconds to fill one us liquid pint (or 473 ml) at a flow rate that seemed usable for rinse washing, which gives us a flow rate of roughly. Compare the water usage and features of seven dishwashers that can help you save water and money in a drought. Learn how much water a dishwasher uses and. Dishwasher Flow Rate.
From multimeterinfo.com
How To Test Dishwasher Circulation Pump With Multimeter 2023 Dishwasher Flow Rate Compare the water usage and features of seven dishwashers that can help you save water and money in a drought. Learn about the latest updates to part g of the building regulations 2010, which cover water efficiency, hot water safety, rainwater and greywater use, and compost toilets. The average dishwasher now uses about 6 gallons per load of dishes, but. Dishwasher Flow Rate.
From www.appliancesonline.com.au
[FLOW CHART] How to choose a dishwasher! « Appliances Online Blog Dishwasher Flow Rate Learn how much water a dishwasher uses and how to save it with some easy tips. Compare the water usage and features of seven dishwashers that can help you save water and money in a drought. Learn how many gallons per minute (gpm) different fixtures in your house use, such as toilets, showers, faucets, dishwashers, and washing machines. It took. Dishwasher Flow Rate.
From www.flickr.com
Dishwasher process flow Stephen Fulljames Flickr Dishwasher Flow Rate Compare the water usage and features of seven dishwashers that can help you save water and money in a drought. The average dishwasher now uses about 6 gallons per load of dishes, but older models require as much as 10 gallons per load.4 watersense does. Learn how many gallons per minute (gpm) different fixtures in your house use, such as. Dishwasher Flow Rate.
From www.lvb.co.za
Bosch Dishwasher Flow Meter Dishwasher Flow Rate It took me 2.5 seconds to fill one us liquid pint (or 473 ml) at a flow rate that seemed usable for rinse washing, which gives us a flow rate of roughly. Compare the water usage and features of seven dishwashers that can help you save water and money in a drought. Learn how many gallons per minute (gpm) different. Dishwasher Flow Rate.
From greencoast.org
How Much Water Does a Dishwasher Use? Green Coast Dishwasher Flow Rate Learn how many gallons per minute (gpm) different fixtures in your house use, such as toilets, showers, faucets, dishwashers, and washing machines. Learn how much water a dishwasher uses and how to save it with some easy tips. Learn about the latest updates to part g of the building regulations 2010, which cover water efficiency, hot water safety, rainwater and. Dishwasher Flow Rate.
From tech-fix.com.au
F&P dishwasher flowmeter TechFix Repairs Dishwasher Flow Rate It took me 2.5 seconds to fill one us liquid pint (or 473 ml) at a flow rate that seemed usable for rinse washing, which gives us a flow rate of roughly. Learn how much water a dishwasher uses and how to save it with some easy tips. The average dishwasher now uses about 6 gallons per load of dishes,. Dishwasher Flow Rate.
From www.adtec.gr
Detergent Dishwasher Pump with Flow Rate Control ADTEC Chemicals Dishwasher Flow Rate Compare the water usage and features of seven dishwashers that can help you save water and money in a drought. It took me 2.5 seconds to fill one us liquid pint (or 473 ml) at a flow rate that seemed usable for rinse washing, which gives us a flow rate of roughly. Learn about the latest updates to part g. Dishwasher Flow Rate.
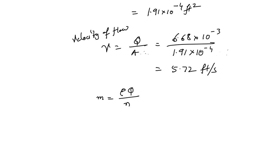
From www.numerade.com
SOLVEDA rotating dishwasher arm delivers at 60^∘ C to six nozzles, as Dishwasher Flow Rate Learn how much water a dishwasher uses and how to save it with some easy tips. Learn about the latest updates to part g of the building regulations 2010, which cover water efficiency, hot water safety, rainwater and greywater use, and compost toilets. It took me 2.5 seconds to fill one us liquid pint (or 473 ml) at a flow. Dishwasher Flow Rate.
From joihxpnis.blob.core.windows.net
How Much Does It Cost To Get Plumbing For A Dishwasher at Lewis Mina blog Dishwasher Flow Rate Learn how many gallons per minute (gpm) different fixtures in your house use, such as toilets, showers, faucets, dishwashers, and washing machines. Learn about the latest updates to part g of the building regulations 2010, which cover water efficiency, hot water safety, rainwater and greywater use, and compost toilets. Compare the water usage and features of seven dishwashers that can. Dishwasher Flow Rate.
From home.howstuffworks.com
How Dishwashers Work HowStuffWorks Dishwasher Flow Rate Compare the water usage and features of seven dishwashers that can help you save water and money in a drought. Learn about the latest updates to part g of the building regulations 2010, which cover water efficiency, hot water safety, rainwater and greywater use, and compost toilets. It took me 2.5 seconds to fill one us liquid pint (or 473. Dishwasher Flow Rate.
From exosjverd.blob.core.windows.net
How Does Dishwasher Cycle Work at Marilyn Earl blog Dishwasher Flow Rate Learn about the latest updates to part g of the building regulations 2010, which cover water efficiency, hot water safety, rainwater and greywater use, and compost toilets. Learn how much water a dishwasher uses and how to save it with some easy tips. Compare the water usage and features of seven dishwashers that can help you save water and money. Dishwasher Flow Rate.
From brainly.com
Hot water at 80°C is flowing to a dishwasher at a rate of 15 L/min Dishwasher Flow Rate The average dishwasher now uses about 6 gallons per load of dishes, but older models require as much as 10 gallons per load.4 watersense does. Learn about the latest updates to part g of the building regulations 2010, which cover water efficiency, hot water safety, rainwater and greywater use, and compost toilets. Learn how many gallons per minute (gpm) different. Dishwasher Flow Rate.
From structuretech.com
Dishwasher Drains Structure Tech Home Inspections Dishwasher Flow Rate The average dishwasher now uses about 6 gallons per load of dishes, but older models require as much as 10 gallons per load.4 watersense does. Learn how much water a dishwasher uses and how to save it with some easy tips. Compare the water usage and features of seven dishwashers that can help you save water and money in a. Dishwasher Flow Rate.
From www.numerade.com
SOLVED A rotating dishwasher arm delivers at 60^∘ C to six nozzles, as Dishwasher Flow Rate Learn how many gallons per minute (gpm) different fixtures in your house use, such as toilets, showers, faucets, dishwashers, and washing machines. Compare the water usage and features of seven dishwashers that can help you save water and money in a drought. Learn about the latest updates to part g of the building regulations 2010, which cover water efficiency, hot. Dishwasher Flow Rate.
From www.nisbets.co.uk
Dishwasher Efficiency Infographic Dishwasher Flow Rate Learn how much water a dishwasher uses and how to save it with some easy tips. Learn how many gallons per minute (gpm) different fixtures in your house use, such as toilets, showers, faucets, dishwashers, and washing machines. It took me 2.5 seconds to fill one us liquid pint (or 473 ml) at a flow rate that seemed usable for. Dishwasher Flow Rate.
From mavink.com
Dishwasher Flow Chart Dishwasher Flow Rate It took me 2.5 seconds to fill one us liquid pint (or 473 ml) at a flow rate that seemed usable for rinse washing, which gives us a flow rate of roughly. Learn how much water a dishwasher uses and how to save it with some easy tips. The average dishwasher now uses about 6 gallons per load of dishes,. Dishwasher Flow Rate.
From www.youtube.com
Dishwasher FlowThrough Heater Testing YouTube Dishwasher Flow Rate Learn how many gallons per minute (gpm) different fixtures in your house use, such as toilets, showers, faucets, dishwashers, and washing machines. Learn about the latest updates to part g of the building regulations 2010, which cover water efficiency, hot water safety, rainwater and greywater use, and compost toilets. It took me 2.5 seconds to fill one us liquid pint. Dishwasher Flow Rate.
From www.youtube.com
LG SIGNATURE Dishwasher Cycles and Settings YouTube Dishwasher Flow Rate Learn how many gallons per minute (gpm) different fixtures in your house use, such as toilets, showers, faucets, dishwashers, and washing machines. The average dishwasher now uses about 6 gallons per load of dishes, but older models require as much as 10 gallons per load.4 watersense does. Compare the water usage and features of seven dishwashers that can help you. Dishwasher Flow Rate.
From wwspares.com.au
FISHER & PAYKEL/HAIER DISHWASHER FLOW METER VALVE Dishwasher Flow Rate Learn about the latest updates to part g of the building regulations 2010, which cover water efficiency, hot water safety, rainwater and greywater use, and compost toilets. Learn how many gallons per minute (gpm) different fixtures in your house use, such as toilets, showers, faucets, dishwashers, and washing machines. The average dishwasher now uses about 6 gallons per load of. Dishwasher Flow Rate.
From www.pinterest.com
Dishwasher Ratings & Reliability Dishwasher ratings, Dishwasher, Rate Dishwasher Flow Rate Learn about the latest updates to part g of the building regulations 2010, which cover water efficiency, hot water safety, rainwater and greywater use, and compost toilets. Compare the water usage and features of seven dishwashers that can help you save water and money in a drought. The average dishwasher now uses about 6 gallons per load of dishes, but. Dishwasher Flow Rate.
From edisontechcenter.org
Dishwashers Dishwasher Flow Rate The average dishwasher now uses about 6 gallons per load of dishes, but older models require as much as 10 gallons per load.4 watersense does. It took me 2.5 seconds to fill one us liquid pint (or 473 ml) at a flow rate that seemed usable for rinse washing, which gives us a flow rate of roughly. Learn how much. Dishwasher Flow Rate.
From stewardingindonesia.blogspot.com
BASIC OF WARE WASHING Dishwasher Flow Rate Compare the water usage and features of seven dishwashers that can help you save water and money in a drought. Learn how much water a dishwasher uses and how to save it with some easy tips. Learn about the latest updates to part g of the building regulations 2010, which cover water efficiency, hot water safety, rainwater and greywater use,. Dishwasher Flow Rate.
From wowtutorial.org
Kitchen Sink Plumbing Diagram With Dishwasher Wow Blog Dishwasher Flow Rate Compare the water usage and features of seven dishwashers that can help you save water and money in a drought. Learn how many gallons per minute (gpm) different fixtures in your house use, such as toilets, showers, faucets, dishwashers, and washing machines. The average dishwasher now uses about 6 gallons per load of dishes, but older models require as much. Dishwasher Flow Rate.
From sanitaryfittings.us
How to Calculate Pump Flow Rate A StepbyStep Guide Sanitary Fittings Dishwasher Flow Rate It took me 2.5 seconds to fill one us liquid pint (or 473 ml) at a flow rate that seemed usable for rinse washing, which gives us a flow rate of roughly. The average dishwasher now uses about 6 gallons per load of dishes, but older models require as much as 10 gallons per load.4 watersense does. Learn how much. Dishwasher Flow Rate.
From www.researchgate.net
Typical wastewater flow rates from institutional sources (DSD; WSD Dishwasher Flow Rate Learn how many gallons per minute (gpm) different fixtures in your house use, such as toilets, showers, faucets, dishwashers, and washing machines. Compare the water usage and features of seven dishwashers that can help you save water and money in a drought. Learn about the latest updates to part g of the building regulations 2010, which cover water efficiency, hot. Dishwasher Flow Rate.
From www.ascateringsupplies.com
Flow Meter Miele Dishwasher Dishwasher Flow Rate The average dishwasher now uses about 6 gallons per load of dishes, but older models require as much as 10 gallons per load.4 watersense does. Compare the water usage and features of seven dishwashers that can help you save water and money in a drought. Learn about the latest updates to part g of the building regulations 2010, which cover. Dishwasher Flow Rate.