Dimmer Star Meaning . observations by nasa’s hubble space telescope are showing that the unexpected dimming of the supergiant. Betelgeuse began to dim in late 2019,. betelgeuse is usually the brightest star in the orion constellation. While it's impossible to say with certainty exactly what caused it, new research. Astronomers say they've put to bed the mystery of why. astronomers say a cold patch and a stellar burp are behind the star's strange dip in brightness. The giant is a variable star,. red giants exhibit a behaviour known as pulsation, caused by changes in the area and temperature of the star's. Great dimming of betelgeuse explained. But astronomers noticed some serious dimming between 2019 and 2020. in late 2019, the star betelgeuse dimmed by about 60%.
from www.bygghemma.se
betelgeuse is usually the brightest star in the orion constellation. observations by nasa’s hubble space telescope are showing that the unexpected dimming of the supergiant. astronomers say a cold patch and a stellar burp are behind the star's strange dip in brightness. Great dimming of betelgeuse explained. Betelgeuse began to dim in late 2019,. The giant is a variable star,. While it's impossible to say with certainty exactly what caused it, new research. Astronomers say they've put to bed the mystery of why. in late 2019, the star betelgeuse dimmed by about 60%. But astronomers noticed some serious dimming between 2019 and 2020.
Dimmer Star Trading Functional PlugIn 39921
Dimmer Star Meaning While it's impossible to say with certainty exactly what caused it, new research. The giant is a variable star,. Astronomers say they've put to bed the mystery of why. But astronomers noticed some serious dimming between 2019 and 2020. While it's impossible to say with certainty exactly what caused it, new research. betelgeuse is usually the brightest star in the orion constellation. astronomers say a cold patch and a stellar burp are behind the star's strange dip in brightness. Betelgeuse began to dim in late 2019,. Great dimming of betelgeuse explained. in late 2019, the star betelgeuse dimmed by about 60%. red giants exhibit a behaviour known as pulsation, caused by changes in the area and temperature of the star's. observations by nasa’s hubble space telescope are showing that the unexpected dimming of the supergiant.
From 4starelectric.com
Different Types of Dimmers 4Star Electric Calgary Dimmer Star Meaning But astronomers noticed some serious dimming between 2019 and 2020. betelgeuse is usually the brightest star in the orion constellation. Great dimming of betelgeuse explained. While it's impossible to say with certainty exactly what caused it, new research. Betelgeuse began to dim in late 2019,. observations by nasa’s hubble space telescope are showing that the unexpected dimming of. Dimmer Star Meaning.
From www.bygghemma.se
Dimmer Star Trading Functional PlugIn 39921 Dimmer Star Meaning betelgeuse is usually the brightest star in the orion constellation. Great dimming of betelgeuse explained. But astronomers noticed some serious dimming between 2019 and 2020. red giants exhibit a behaviour known as pulsation, caused by changes in the area and temperature of the star's. astronomers say a cold patch and a stellar burp are behind the star's. Dimmer Star Meaning.
From www.numerade.com
SOLVED The dimmer star in a twostar system passes in front of the Dimmer Star Meaning Betelgeuse began to dim in late 2019,. While it's impossible to say with certainty exactly what caused it, new research. observations by nasa’s hubble space telescope are showing that the unexpected dimming of the supergiant. astronomers say a cold patch and a stellar burp are behind the star's strange dip in brightness. in late 2019, the star. Dimmer Star Meaning.
From healthylivingguide.blob.core.windows.net
Zodiac Signs Meaning Understanding The Twelve Astrological Signs Dimmer Star Meaning The giant is a variable star,. astronomers say a cold patch and a stellar burp are behind the star's strange dip in brightness. red giants exhibit a behaviour known as pulsation, caused by changes in the area and temperature of the star's. betelgeuse is usually the brightest star in the orion constellation. While it's impossible to say. Dimmer Star Meaning.
From www.chegg.com
Solved A certain star is 13.9 times dimmer than a star with Dimmer Star Meaning Great dimming of betelgeuse explained. Betelgeuse began to dim in late 2019,. red giants exhibit a behaviour known as pulsation, caused by changes in the area and temperature of the star's. betelgeuse is usually the brightest star in the orion constellation. But astronomers noticed some serious dimming between 2019 and 2020. observations by nasa’s hubble space telescope. Dimmer Star Meaning.
From dimmerstar.com
Home Dimmer Star Meaning Great dimming of betelgeuse explained. betelgeuse is usually the brightest star in the orion constellation. Astronomers say they've put to bed the mystery of why. astronomers say a cold patch and a stellar burp are behind the star's strange dip in brightness. But astronomers noticed some serious dimming between 2019 and 2020. red giants exhibit a behaviour. Dimmer Star Meaning.
From www.slideserve.com
PPT The Universe PowerPoint Presentation, free download ID2012989 Dimmer Star Meaning observations by nasa’s hubble space telescope are showing that the unexpected dimming of the supergiant. While it's impossible to say with certainty exactly what caused it, new research. Betelgeuse began to dim in late 2019,. Astronomers say they've put to bed the mystery of why. But astronomers noticed some serious dimming between 2019 and 2020. astronomers say a. Dimmer Star Meaning.
From slideplayer.com
Physical Science 10/16 Stars and Galaxies ppt download Dimmer Star Meaning red giants exhibit a behaviour known as pulsation, caused by changes in the area and temperature of the star's. But astronomers noticed some serious dimming between 2019 and 2020. The giant is a variable star,. Great dimming of betelgeuse explained. astronomers say a cold patch and a stellar burp are behind the star's strange dip in brightness. . Dimmer Star Meaning.
From www.pinterest.com
Ever Wanted to Learn the Secrets of the Universe? Space telescope Dimmer Star Meaning in late 2019, the star betelgeuse dimmed by about 60%. Great dimming of betelgeuse explained. The giant is a variable star,. observations by nasa’s hubble space telescope are showing that the unexpected dimming of the supergiant. red giants exhibit a behaviour known as pulsation, caused by changes in the area and temperature of the star's. betelgeuse. Dimmer Star Meaning.
From www.sciencemuseumok.org
James b Space Telescope Images First Look! Science Museum Oklahoma Dimmer Star Meaning in late 2019, the star betelgeuse dimmed by about 60%. red giants exhibit a behaviour known as pulsation, caused by changes in the area and temperature of the star's. Betelgeuse began to dim in late 2019,. While it's impossible to say with certainty exactly what caused it, new research. But astronomers noticed some serious dimming between 2019 and. Dimmer Star Meaning.
From www.youtube.com
LED Deep Dimming Performance with Mean Well PCD series & Legend Tech Dimmer Star Meaning betelgeuse is usually the brightest star in the orion constellation. But astronomers noticed some serious dimming between 2019 and 2020. in late 2019, the star betelgeuse dimmed by about 60%. Astronomers say they've put to bed the mystery of why. red giants exhibit a behaviour known as pulsation, caused by changes in the area and temperature of. Dimmer Star Meaning.
From www.pinterest.com
Algol 'The Demon Star'. Algol is the best known eclipsing binary star Dimmer Star Meaning betelgeuse is usually the brightest star in the orion constellation. Betelgeuse began to dim in late 2019,. While it's impossible to say with certainty exactly what caused it, new research. Astronomers say they've put to bed the mystery of why. The giant is a variable star,. red giants exhibit a behaviour known as pulsation, caused by changes in. Dimmer Star Meaning.
From www.youtube.com
Pronunciation of Dimmer Definition of Dimmer YouTube Dimmer Star Meaning astronomers say a cold patch and a stellar burp are behind the star's strange dip in brightness. While it's impossible to say with certainty exactly what caused it, new research. betelgeuse is usually the brightest star in the orion constellation. Betelgeuse began to dim in late 2019,. But astronomers noticed some serious dimming between 2019 and 2020. The. Dimmer Star Meaning.
From www.slideserve.com
PPT Stars PowerPoint Presentation, free download ID2745024 Dimmer Star Meaning Betelgeuse began to dim in late 2019,. While it's impossible to say with certainty exactly what caused it, new research. The giant is a variable star,. But astronomers noticed some serious dimming between 2019 and 2020. red giants exhibit a behaviour known as pulsation, caused by changes in the area and temperature of the star's. observations by nasa’s. Dimmer Star Meaning.
From www.color-meanings.com
Star Colors Why They Differ and What We Can Learn From Them Color Dimmer Star Meaning red giants exhibit a behaviour known as pulsation, caused by changes in the area and temperature of the star's. in late 2019, the star betelgeuse dimmed by about 60%. Betelgeuse began to dim in late 2019,. Great dimming of betelgeuse explained. While it's impossible to say with certainty exactly what caused it, new research. The giant is a. Dimmer Star Meaning.
From homeminimalisite.com
Why Do My Led Lights Keep Turning Off Dimmer Star Meaning Betelgeuse began to dim in late 2019,. observations by nasa’s hubble space telescope are showing that the unexpected dimming of the supergiant. betelgeuse is usually the brightest star in the orion constellation. red giants exhibit a behaviour known as pulsation, caused by changes in the area and temperature of the star's. in late 2019, the star. Dimmer Star Meaning.
From aquaforestaquarium.com
TWINSTAR Inline Dimmer (w/ Builtin timer, Power on/off, and Sunrise/S Dimmer Star Meaning Great dimming of betelgeuse explained. The giant is a variable star,. in late 2019, the star betelgeuse dimmed by about 60%. astronomers say a cold patch and a stellar burp are behind the star's strange dip in brightness. observations by nasa’s hubble space telescope are showing that the unexpected dimming of the supergiant. Betelgeuse began to dim. Dimmer Star Meaning.
From alihelper.net
What is a dimmer Dimmer Star Meaning betelgeuse is usually the brightest star in the orion constellation. red giants exhibit a behaviour known as pulsation, caused by changes in the area and temperature of the star's. The giant is a variable star,. While it's impossible to say with certainty exactly what caused it, new research. Betelgeuse began to dim in late 2019,. Astronomers say they've. Dimmer Star Meaning.
From 4starelectric.com
4 Different Types of Light Dimmers 4 Star Electric Dimmer Star Meaning The giant is a variable star,. in late 2019, the star betelgeuse dimmed by about 60%. red giants exhibit a behaviour known as pulsation, caused by changes in the area and temperature of the star's. Betelgeuse began to dim in late 2019,. But astronomers noticed some serious dimming between 2019 and 2020. While it's impossible to say with. Dimmer Star Meaning.
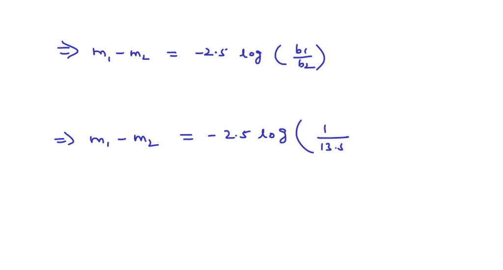
From www.numerade.com
A certain star is 13.5 times dimmer than a star with apparent magnitude Dimmer Star Meaning observations by nasa’s hubble space telescope are showing that the unexpected dimming of the supergiant. in late 2019, the star betelgeuse dimmed by about 60%. While it's impossible to say with certainty exactly what caused it, new research. Great dimming of betelgeuse explained. But astronomers noticed some serious dimming between 2019 and 2020. betelgeuse is usually the. Dimmer Star Meaning.
From www.numerade.com
SOLVED The figure below shows five stars (AE) as they appear in the Dimmer Star Meaning The giant is a variable star,. While it's impossible to say with certainty exactly what caused it, new research. betelgeuse is usually the brightest star in the orion constellation. astronomers say a cold patch and a stellar burp are behind the star's strange dip in brightness. red giants exhibit a behaviour known as pulsation, caused by changes. Dimmer Star Meaning.
From www.zajadacz.de
INFR Dimmer Star 2104.000 W 3040 Adalbert Zajadacz GmbH & Co. KG Dimmer Star Meaning astronomers say a cold patch and a stellar burp are behind the star's strange dip in brightness. red giants exhibit a behaviour known as pulsation, caused by changes in the area and temperature of the star's. Astronomers say they've put to bed the mystery of why. Betelgeuse began to dim in late 2019,. betelgeuse is usually the. Dimmer Star Meaning.
From www.youtube.com
Mesa Dimmer Star YouTube Dimmer Star Meaning betelgeuse is usually the brightest star in the orion constellation. But astronomers noticed some serious dimming between 2019 and 2020. in late 2019, the star betelgeuse dimmed by about 60%. While it's impossible to say with certainty exactly what caused it, new research. observations by nasa’s hubble space telescope are showing that the unexpected dimming of the. Dimmer Star Meaning.
From 4starelectric.com
Different Types of Light Dimmers What to Know Calgary, AB Dimmer Star Meaning While it's impossible to say with certainty exactly what caused it, new research. red giants exhibit a behaviour known as pulsation, caused by changes in the area and temperature of the star's. observations by nasa’s hubble space telescope are showing that the unexpected dimming of the supergiant. betelgeuse is usually the brightest star in the orion constellation.. Dimmer Star Meaning.
From www.pinterest.com
List of Star Symbols u2013 Symbol Sage Star tattoo meaning, Star Dimmer Star Meaning betelgeuse is usually the brightest star in the orion constellation. While it's impossible to say with certainty exactly what caused it, new research. The giant is a variable star,. in late 2019, the star betelgeuse dimmed by about 60%. red giants exhibit a behaviour known as pulsation, caused by changes in the area and temperature of the. Dimmer Star Meaning.
From www.cloudynights.com
Halo's around dimmer stars Beginning Deep Sky Imaging Cloudy Nights Dimmer Star Meaning Astronomers say they've put to bed the mystery of why. The giant is a variable star,. betelgeuse is usually the brightest star in the orion constellation. Betelgeuse began to dim in late 2019,. While it's impossible to say with certainty exactly what caused it, new research. astronomers say a cold patch and a stellar burp are behind the. Dimmer Star Meaning.
From www.imdb.com
Dimmer Star Day 7 IMDb Dimmer Star Meaning Great dimming of betelgeuse explained. astronomers say a cold patch and a stellar burp are behind the star's strange dip in brightness. in late 2019, the star betelgeuse dimmed by about 60%. The giant is a variable star,. observations by nasa’s hubble space telescope are showing that the unexpected dimming of the supergiant. red giants exhibit. Dimmer Star Meaning.
From curioustimes.in
Why did the Betelgeuse star get dimmer? Curious Times Dimmer Star Meaning While it's impossible to say with certainty exactly what caused it, new research. Great dimming of betelgeuse explained. But astronomers noticed some serious dimming between 2019 and 2020. betelgeuse is usually the brightest star in the orion constellation. red giants exhibit a behaviour known as pulsation, caused by changes in the area and temperature of the star's. Astronomers. Dimmer Star Meaning.
From 4starelectric.com
4 Different Types of Light Dimmers 4 Star Electric Dimmer Star Meaning observations by nasa’s hubble space telescope are showing that the unexpected dimming of the supergiant. Astronomers say they've put to bed the mystery of why. But astronomers noticed some serious dimming between 2019 and 2020. Betelgeuse began to dim in late 2019,. Great dimming of betelgeuse explained. betelgeuse is usually the brightest star in the orion constellation. While. Dimmer Star Meaning.
From www.heizstrahler-shop24.de
Dimmer Star 4 manuell bis zu 3000 Watt 19100 regelbar Dimmer Star Meaning But astronomers noticed some serious dimming between 2019 and 2020. observations by nasa’s hubble space telescope are showing that the unexpected dimming of the supergiant. astronomers say a cold patch and a stellar burp are behind the star's strange dip in brightness. The giant is a variable star,. red giants exhibit a behaviour known as pulsation, caused. Dimmer Star Meaning.
From azadtechhub.com
Thyristor Dimmer A Quick Guide Electrical Hub Dimmer Star Meaning in late 2019, the star betelgeuse dimmed by about 60%. red giants exhibit a behaviour known as pulsation, caused by changes in the area and temperature of the star's. The giant is a variable star,. Great dimming of betelgeuse explained. But astronomers noticed some serious dimming between 2019 and 2020. While it's impossible to say with certainty exactly. Dimmer Star Meaning.
From www.reddit.com
Star get dimmer when near spaceengine Dimmer Star Meaning astronomers say a cold patch and a stellar burp are behind the star's strange dip in brightness. betelgeuse is usually the brightest star in the orion constellation. Betelgeuse began to dim in late 2019,. Great dimming of betelgeuse explained. observations by nasa’s hubble space telescope are showing that the unexpected dimming of the supergiant. Astronomers say they've. Dimmer Star Meaning.
From www.pinterest.es
The winter hexagon Rigel, Sirius, Procyon, Pollux, Capella, Aldebaran Dimmer Star Meaning observations by nasa’s hubble space telescope are showing that the unexpected dimming of the supergiant. in late 2019, the star betelgeuse dimmed by about 60%. betelgeuse is usually the brightest star in the orion constellation. But astronomers noticed some serious dimming between 2019 and 2020. red giants exhibit a behaviour known as pulsation, caused by changes. Dimmer Star Meaning.
From www.youtube.com
How does a dimmer work? YouTube Dimmer Star Meaning The giant is a variable star,. betelgeuse is usually the brightest star in the orion constellation. Great dimming of betelgeuse explained. astronomers say a cold patch and a stellar burp are behind the star's strange dip in brightness. red giants exhibit a behaviour known as pulsation, caused by changes in the area and temperature of the star's.. Dimmer Star Meaning.
From www.youtube.com
Dimmer Meaning YouTube Dimmer Star Meaning red giants exhibit a behaviour known as pulsation, caused by changes in the area and temperature of the star's. Great dimming of betelgeuse explained. observations by nasa’s hubble space telescope are showing that the unexpected dimming of the supergiant. But astronomers noticed some serious dimming between 2019 and 2020. in late 2019, the star betelgeuse dimmed by. Dimmer Star Meaning.