Can Residential Free Patent Land Be Sold . Implemented on march 9, 2010 authorizes the department of environment. under the old law, alienation of lands acquired under free patent is prohibited within 5 years from its grant. under the public land act, a free patent may be issued over public agricultural land, while under ra 10023, a free patent covers. It removes the lengthy and expensive court processes to gain legal rights over residential lands that have been occupied and cultivated for at least 10 years. the guide consists of questions and answers on the residential free patent titling process, as well as template documentation. clearly, the restrictions on the alienation and conveyance of agricultural lands covered by free patents have been removed by the. what is the residential free patent act? allows filipinos to receive a free patent on residential lands without a land title.
from www.scribd.com
allows filipinos to receive a free patent on residential lands without a land title. under the old law, alienation of lands acquired under free patent is prohibited within 5 years from its grant. clearly, the restrictions on the alienation and conveyance of agricultural lands covered by free patents have been removed by the. under the public land act, a free patent may be issued over public agricultural land, while under ra 10023, a free patent covers. Implemented on march 9, 2010 authorizes the department of environment. the guide consists of questions and answers on the residential free patent titling process, as well as template documentation. what is the residential free patent act? It removes the lengthy and expensive court processes to gain legal rights over residential lands that have been occupied and cultivated for at least 10 years.
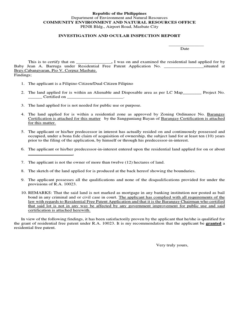
for the Grant of Residential Free Patent to Baby Jean A
Can Residential Free Patent Land Be Sold It removes the lengthy and expensive court processes to gain legal rights over residential lands that have been occupied and cultivated for at least 10 years. allows filipinos to receive a free patent on residential lands without a land title. under the public land act, a free patent may be issued over public agricultural land, while under ra 10023, a free patent covers. under the old law, alienation of lands acquired under free patent is prohibited within 5 years from its grant. Implemented on march 9, 2010 authorizes the department of environment. clearly, the restrictions on the alienation and conveyance of agricultural lands covered by free patents have been removed by the. It removes the lengthy and expensive court processes to gain legal rights over residential lands that have been occupied and cultivated for at least 10 years. what is the residential free patent act? the guide consists of questions and answers on the residential free patent titling process, as well as template documentation.
From www.studocu.com
RO L 04 Application FOR FREE Patent Residential CITIZEN’S CHARTER NO Can Residential Free Patent Land Be Sold under the public land act, a free patent may be issued over public agricultural land, while under ra 10023, a free patent covers. what is the residential free patent act? the guide consists of questions and answers on the residential free patent titling process, as well as template documentation. allows filipinos to receive a free patent. Can Residential Free Patent Land Be Sold.
From www.zigguratrealestate.ph
How To Find A Philippine Land Title Can Residential Free Patent Land Be Sold under the public land act, a free patent may be issued over public agricultural land, while under ra 10023, a free patent covers. allows filipinos to receive a free patent on residential lands without a land title. Implemented on march 9, 2010 authorizes the department of environment. It removes the lengthy and expensive court processes to gain legal. Can Residential Free Patent Land Be Sold.
From www.scribd.com
App Residential Free Patent Application Forms PDF Affidavit Can Residential Free Patent Land Be Sold Implemented on march 9, 2010 authorizes the department of environment. clearly, the restrictions on the alienation and conveyance of agricultural lands covered by free patents have been removed by the. under the old law, alienation of lands acquired under free patent is prohibited within 5 years from its grant. It removes the lengthy and expensive court processes to. Can Residential Free Patent Land Be Sold.
From www.slideshare.net
Residential free patent primer Can Residential Free Patent Land Be Sold what is the residential free patent act? the guide consists of questions and answers on the residential free patent titling process, as well as template documentation. It removes the lengthy and expensive court processes to gain legal rights over residential lands that have been occupied and cultivated for at least 10 years. clearly, the restrictions on the. Can Residential Free Patent Land Be Sold.
From www.scribd.com
LSIG Policy Paper Residential Free Patent Bill PDF Adverse Can Residential Free Patent Land Be Sold under the public land act, a free patent may be issued over public agricultural land, while under ra 10023, a free patent covers. It removes the lengthy and expensive court processes to gain legal rights over residential lands that have been occupied and cultivated for at least 10 years. Implemented on march 9, 2010 authorizes the department of environment.. Can Residential Free Patent Land Be Sold.
From www.zigguratrealestate.ph
No Restrictions on Conveyance of Land Covered by Free Patents Can Residential Free Patent Land Be Sold allows filipinos to receive a free patent on residential lands without a land title. It removes the lengthy and expensive court processes to gain legal rights over residential lands that have been occupied and cultivated for at least 10 years. Implemented on march 9, 2010 authorizes the department of environment. what is the residential free patent act? . Can Residential Free Patent Land Be Sold.
From www.scribd.com
Joint Affid in Support of Residential Free Patent Application S PDF Can Residential Free Patent Land Be Sold under the old law, alienation of lands acquired under free patent is prohibited within 5 years from its grant. allows filipinos to receive a free patent on residential lands without a land title. It removes the lengthy and expensive court processes to gain legal rights over residential lands that have been occupied and cultivated for at least 10. Can Residential Free Patent Land Be Sold.
From www.scribd.com
The New Residential Free Patent Act (Republic Act 10023) PDF Patent Can Residential Free Patent Land Be Sold under the old law, alienation of lands acquired under free patent is prohibited within 5 years from its grant. It removes the lengthy and expensive court processes to gain legal rights over residential lands that have been occupied and cultivated for at least 10 years. Implemented on march 9, 2010 authorizes the department of environment. the guide consists. Can Residential Free Patent Land Be Sold.
From www.scribd.com
BP 223 Residential Free Patent (1982) PDF Patent Application Patent Can Residential Free Patent Land Be Sold Implemented on march 9, 2010 authorizes the department of environment. under the public land act, a free patent may be issued over public agricultural land, while under ra 10023, a free patent covers. clearly, the restrictions on the alienation and conveyance of agricultural lands covered by free patents have been removed by the. under the old law,. Can Residential Free Patent Land Be Sold.
From www.youtube.com
The New Residential Free Patent Act! YouTube Can Residential Free Patent Land Be Sold It removes the lengthy and expensive court processes to gain legal rights over residential lands that have been occupied and cultivated for at least 10 years. under the old law, alienation of lands acquired under free patent is prohibited within 5 years from its grant. the guide consists of questions and answers on the residential free patent titling. Can Residential Free Patent Land Be Sold.
From www.scribd.com
Residential Free Patent Law Download Free PDF Patent Private Law Can Residential Free Patent Land Be Sold Implemented on march 9, 2010 authorizes the department of environment. under the old law, alienation of lands acquired under free patent is prohibited within 5 years from its grant. It removes the lengthy and expensive court processes to gain legal rights over residential lands that have been occupied and cultivated for at least 10 years. under the public. Can Residential Free Patent Land Be Sold.
From www.slideserve.com
PPT UNLEASHING DEAD CAPITAL Extending Free Patents to Residential Can Residential Free Patent Land Be Sold It removes the lengthy and expensive court processes to gain legal rights over residential lands that have been occupied and cultivated for at least 10 years. under the public land act, a free patent may be issued over public agricultural land, while under ra 10023, a free patent covers. under the old law, alienation of lands acquired under. Can Residential Free Patent Land Be Sold.
From www.youtube.com
LAND TITLE FREE PATENT OR JUDICIAL REGISTRATION? YouTube Can Residential Free Patent Land Be Sold what is the residential free patent act? under the public land act, a free patent may be issued over public agricultural land, while under ra 10023, a free patent covers. Implemented on march 9, 2010 authorizes the department of environment. the guide consists of questions and answers on the residential free patent titling process, as well as. Can Residential Free Patent Land Be Sold.
From www.scribd.com
Free Patent For Residential Lot PDF Patent Application Patent Can Residential Free Patent Land Be Sold the guide consists of questions and answers on the residential free patent titling process, as well as template documentation. allows filipinos to receive a free patent on residential lands without a land title. clearly, the restrictions on the alienation and conveyance of agricultural lands covered by free patents have been removed by the. under the public. Can Residential Free Patent Land Be Sold.
From www.studocu.com
Joint Affidavit IN Support OF FREE Patent Application Land Titles And Can Residential Free Patent Land Be Sold the guide consists of questions and answers on the residential free patent titling process, as well as template documentation. allows filipinos to receive a free patent on residential lands without a land title. Implemented on march 9, 2010 authorizes the department of environment. It removes the lengthy and expensive court processes to gain legal rights over residential lands. Can Residential Free Patent Land Be Sold.
From www.facebook.com
GOOD... Support to RA 10023 Residential Free Patent Act Can Residential Free Patent Land Be Sold clearly, the restrictions on the alienation and conveyance of agricultural lands covered by free patents have been removed by the. allows filipinos to receive a free patent on residential lands without a land title. under the old law, alienation of lands acquired under free patent is prohibited within 5 years from its grant. the guide consists. Can Residential Free Patent Land Be Sold.
From www.copyright-protect.net
Let the experts talk about What is a US land patent [FAQ] Can Residential Free Patent Land Be Sold It removes the lengthy and expensive court processes to gain legal rights over residential lands that have been occupied and cultivated for at least 10 years. what is the residential free patent act? under the public land act, a free patent may be issued over public agricultural land, while under ra 10023, a free patent covers. the. Can Residential Free Patent Land Be Sold.
From www.scribd.com
List of 15 Applicants for Residential Free Patent Applications PDF Can Residential Free Patent Land Be Sold Implemented on march 9, 2010 authorizes the department of environment. under the public land act, a free patent may be issued over public agricultural land, while under ra 10023, a free patent covers. the guide consists of questions and answers on the residential free patent titling process, as well as template documentation. It removes the lengthy and expensive. Can Residential Free Patent Land Be Sold.
From abetterconsult.com
How to register untitled land in the Philippines A Better Consult Can Residential Free Patent Land Be Sold clearly, the restrictions on the alienation and conveyance of agricultural lands covered by free patents have been removed by the. allows filipinos to receive a free patent on residential lands without a land title. the guide consists of questions and answers on the residential free patent titling process, as well as template documentation. under the old. Can Residential Free Patent Land Be Sold.
From www.youtube.com
Residential Free Patent YouTube Can Residential Free Patent Land Be Sold Implemented on march 9, 2010 authorizes the department of environment. what is the residential free patent act? under the public land act, a free patent may be issued over public agricultural land, while under ra 10023, a free patent covers. clearly, the restrictions on the alienation and conveyance of agricultural lands covered by free patents have been. Can Residential Free Patent Land Be Sold.
From www.youtube.com
Paano Magapply ng Residential Free Patent Original Title? YouTube Can Residential Free Patent Land Be Sold the guide consists of questions and answers on the residential free patent titling process, as well as template documentation. under the old law, alienation of lands acquired under free patent is prohibited within 5 years from its grant. clearly, the restrictions on the alienation and conveyance of agricultural lands covered by free patents have been removed by. Can Residential Free Patent Land Be Sold.
From www.scribd.com
Applying for Agricultural Free Patent A Comprehensive Application Can Residential Free Patent Land Be Sold It removes the lengthy and expensive court processes to gain legal rights over residential lands that have been occupied and cultivated for at least 10 years. what is the residential free patent act? the guide consists of questions and answers on the residential free patent titling process, as well as template documentation. clearly, the restrictions on the. Can Residential Free Patent Land Be Sold.
From www.scribd.com
Application for Residential Free Patent PDF Can Residential Free Patent Land Be Sold clearly, the restrictions on the alienation and conveyance of agricultural lands covered by free patents have been removed by the. allows filipinos to receive a free patent on residential lands without a land title. what is the residential free patent act? the guide consists of questions and answers on the residential free patent titling process, as. Can Residential Free Patent Land Be Sold.
From www.scribd.com
A StepbyStep Guide to Securing Residential Land Title through Can Residential Free Patent Land Be Sold clearly, the restrictions on the alienation and conveyance of agricultural lands covered by free patents have been removed by the. what is the residential free patent act? allows filipinos to receive a free patent on residential lands without a land title. the guide consists of questions and answers on the residential free patent titling process, as. Can Residential Free Patent Land Be Sold.
From www.slideshare.net
Residential free patent primer Can Residential Free Patent Land Be Sold under the public land act, a free patent may be issued over public agricultural land, while under ra 10023, a free patent covers. what is the residential free patent act? Implemented on march 9, 2010 authorizes the department of environment. clearly, the restrictions on the alienation and conveyance of agricultural lands covered by free patents have been. Can Residential Free Patent Land Be Sold.
From fdocuments.in
Issuance of Free Patents to Residential Lands under · IRR Can Residential Free Patent Land Be Sold under the public land act, a free patent may be issued over public agricultural land, while under ra 10023, a free patent covers. allows filipinos to receive a free patent on residential lands without a land title. Implemented on march 9, 2010 authorizes the department of environment. It removes the lengthy and expensive court processes to gain legal. Can Residential Free Patent Land Be Sold.
From www.scribd.com
Residential Free Patent PDF Adjudication Patent Can Residential Free Patent Land Be Sold allows filipinos to receive a free patent on residential lands without a land title. the guide consists of questions and answers on the residential free patent titling process, as well as template documentation. under the old law, alienation of lands acquired under free patent is prohibited within 5 years from its grant. what is the residential. Can Residential Free Patent Land Be Sold.
From www.scribd.com
Application For Residential Free Patent PDF Can Residential Free Patent Land Be Sold It removes the lengthy and expensive court processes to gain legal rights over residential lands that have been occupied and cultivated for at least 10 years. clearly, the restrictions on the alienation and conveyance of agricultural lands covered by free patents have been removed by the. under the public land act, a free patent may be issued over. Can Residential Free Patent Land Be Sold.
From www.scribd.com
for the Grant of Residential Free Patent to Baby Jean A Can Residential Free Patent Land Be Sold the guide consists of questions and answers on the residential free patent titling process, as well as template documentation. what is the residential free patent act? Implemented on march 9, 2010 authorizes the department of environment. clearly, the restrictions on the alienation and conveyance of agricultural lands covered by free patents have been removed by the. . Can Residential Free Patent Land Be Sold.
From www.slideserve.com
PPT UNLEASHING DEAD CAPITAL Extending Free Patents to Residential Can Residential Free Patent Land Be Sold It removes the lengthy and expensive court processes to gain legal rights over residential lands that have been occupied and cultivated for at least 10 years. under the old law, alienation of lands acquired under free patent is prohibited within 5 years from its grant. the guide consists of questions and answers on the residential free patent titling. Can Residential Free Patent Land Be Sold.
From abetterconsult.com
Homestead Patent in the Philippines A Better Consult Can Residential Free Patent Land Be Sold clearly, the restrictions on the alienation and conveyance of agricultural lands covered by free patents have been removed by the. Implemented on march 9, 2010 authorizes the department of environment. It removes the lengthy and expensive court processes to gain legal rights over residential lands that have been occupied and cultivated for at least 10 years. what is. Can Residential Free Patent Land Be Sold.
From www.slideshare.net
Residential free patent primer Can Residential Free Patent Land Be Sold under the old law, alienation of lands acquired under free patent is prohibited within 5 years from its grant. Implemented on march 9, 2010 authorizes the department of environment. It removes the lengthy and expensive court processes to gain legal rights over residential lands that have been occupied and cultivated for at least 10 years. clearly, the restrictions. Can Residential Free Patent Land Be Sold.
From www.copyright-protect.net
Let the experts talk about What is a land patent in Texas [Best Info] Can Residential Free Patent Land Be Sold Implemented on march 9, 2010 authorizes the department of environment. under the old law, alienation of lands acquired under free patent is prohibited within 5 years from its grant. allows filipinos to receive a free patent on residential lands without a land title. clearly, the restrictions on the alienation and conveyance of agricultural lands covered by free. Can Residential Free Patent Land Be Sold.
From www.scribd.com
Residential Free Patent Act RA10023 Irr Patent Application Citizenship Can Residential Free Patent Land Be Sold under the public land act, a free patent may be issued over public agricultural land, while under ra 10023, a free patent covers. the guide consists of questions and answers on the residential free patent titling process, as well as template documentation. allows filipinos to receive a free patent on residential lands without a land title. Implemented. Can Residential Free Patent Land Be Sold.
From areweallreallyeducated.com
Regain Your Land Through Land Patent Contact Us To Inquire About the Can Residential Free Patent Land Be Sold allows filipinos to receive a free patent on residential lands without a land title. clearly, the restrictions on the alienation and conveyance of agricultural lands covered by free patents have been removed by the. under the old law, alienation of lands acquired under free patent is prohibited within 5 years from its grant. what is the. Can Residential Free Patent Land Be Sold.