House Wren Incubation Time . a familiar backyard bird, the house wren was named long ago for its tendency to nest around human homes or in birdhouses. a plain brown bird with an effervescent voice, the house wren is a common backyard bird over nearly the entire western. They are cavity nesting birds that have two broods of 2 to 6 eggs per clutch. the house wren is a fierce competitor for nest holes. house wrens have many nesting sites from potted plants and old shoes to neat nesting boxes and birdhouses! what time of year do house wrens nest? At the start of early spring, unpaired males begin scouting nesting sites to form basic. House wrens leave the nest after 17 days. Very active and inquisitive, bouncing about with its short tail held up in the air, pausing to sing a rich bubbling song, it adds a lively spark to gardens and city parks despite its lack of bright colors. after pair formation and nest building, females begin to lay eggs as early as the first week of may. They will harass and peck at much larger birds, sometimes dragging eggs and young out of a nest. Their eggs are less than an inch thick and are pinkish white in color.
from mother-natures-son.com
Their eggs are less than an inch thick and are pinkish white in color. a plain brown bird with an effervescent voice, the house wren is a common backyard bird over nearly the entire western. House wrens leave the nest after 17 days. They will harass and peck at much larger birds, sometimes dragging eggs and young out of a nest. what time of year do house wrens nest? Very active and inquisitive, bouncing about with its short tail held up in the air, pausing to sing a rich bubbling song, it adds a lively spark to gardens and city parks despite its lack of bright colors. a familiar backyard bird, the house wren was named long ago for its tendency to nest around human homes or in birdhouses. At the start of early spring, unpaired males begin scouting nesting sites to form basic. They are cavity nesting birds that have two broods of 2 to 6 eggs per clutch. after pair formation and nest building, females begin to lay eggs as early as the first week of may.
Update on the Second Wren Brood Mother Nature's Son
House Wren Incubation Time At the start of early spring, unpaired males begin scouting nesting sites to form basic. At the start of early spring, unpaired males begin scouting nesting sites to form basic. House wrens leave the nest after 17 days. They will harass and peck at much larger birds, sometimes dragging eggs and young out of a nest. what time of year do house wrens nest? a plain brown bird with an effervescent voice, the house wren is a common backyard bird over nearly the entire western. a familiar backyard bird, the house wren was named long ago for its tendency to nest around human homes or in birdhouses. Their eggs are less than an inch thick and are pinkish white in color. They are cavity nesting birds that have two broods of 2 to 6 eggs per clutch. the house wren is a fierce competitor for nest holes. after pair formation and nest building, females begin to lay eggs as early as the first week of may. Very active and inquisitive, bouncing about with its short tail held up in the air, pausing to sing a rich bubbling song, it adds a lively spark to gardens and city parks despite its lack of bright colors. house wrens have many nesting sites from potted plants and old shoes to neat nesting boxes and birdhouses!
From opticsmag.com
House Wren Field Guide, Pictures, Habitat & Info Optics Mag House Wren Incubation Time Their eggs are less than an inch thick and are pinkish white in color. a familiar backyard bird, the house wren was named long ago for its tendency to nest around human homes or in birdhouses. Very active and inquisitive, bouncing about with its short tail held up in the air, pausing to sing a rich bubbling song, it. House Wren Incubation Time.
From www.mangolinkcam.com
House Wren Nest in Pennsylvania Live Streaming cam Murrysville House Wren Incubation Time Their eggs are less than an inch thick and are pinkish white in color. house wrens have many nesting sites from potted plants and old shoes to neat nesting boxes and birdhouses! Very active and inquisitive, bouncing about with its short tail held up in the air, pausing to sing a rich bubbling song, it adds a lively spark. House Wren Incubation Time.
From jimmccormac.blogspot.com
Ohio Birds and Biodiversity House Wren production in the yard House Wren Incubation Time a plain brown bird with an effervescent voice, the house wren is a common backyard bird over nearly the entire western. after pair formation and nest building, females begin to lay eggs as early as the first week of may. They are cavity nesting birds that have two broods of 2 to 6 eggs per clutch. Their eggs. House Wren Incubation Time.
From edwardsplateaunatives.blogspot.com
Natives from the Edwards Plateau Wren Nestlings House Wren Incubation Time Their eggs are less than an inch thick and are pinkish white in color. They are cavity nesting birds that have two broods of 2 to 6 eggs per clutch. At the start of early spring, unpaired males begin scouting nesting sites to form basic. House wrens leave the nest after 17 days. They will harass and peck at much. House Wren Incubation Time.
From nestwatch.org
NestWatch House Wren NestWatch House Wren Incubation Time the house wren is a fierce competitor for nest holes. what time of year do house wrens nest? a plain brown bird with an effervescent voice, the house wren is a common backyard bird over nearly the entire western. house wrens have many nesting sites from potted plants and old shoes to neat nesting boxes and. House Wren Incubation Time.
From empressofdirt.net
Make a House Wren Nesting Box (Free Plans) House Wren Incubation Time a plain brown bird with an effervescent voice, the house wren is a common backyard bird over nearly the entire western. after pair formation and nest building, females begin to lay eggs as early as the first week of may. House wrens leave the nest after 17 days. a familiar backyard bird, the house wren was named. House Wren Incubation Time.
From www.youtube.com
Wren Eggs Hatching YouTube House Wren Incubation Time what time of year do house wrens nest? They are cavity nesting birds that have two broods of 2 to 6 eggs per clutch. They will harass and peck at much larger birds, sometimes dragging eggs and young out of a nest. a plain brown bird with an effervescent voice, the house wren is a common backyard bird. House Wren Incubation Time.
From nestwatch.org
NestWatch House Wren NestWatch House Wren Incubation Time house wrens have many nesting sites from potted plants and old shoes to neat nesting boxes and birdhouses! after pair formation and nest building, females begin to lay eggs as early as the first week of may. a plain brown bird with an effervescent voice, the house wren is a common backyard bird over nearly the entire. House Wren Incubation Time.
From birdfact.com
House Wren Nesting (Behavior, Eggs + Location) Birdfact House Wren Incubation Time house wrens have many nesting sites from potted plants and old shoes to neat nesting boxes and birdhouses! They will harass and peck at much larger birds, sometimes dragging eggs and young out of a nest. Their eggs are less than an inch thick and are pinkish white in color. At the start of early spring, unpaired males begin. House Wren Incubation Time.
From www.youtube.com
Incubation Day 10 Highlights / House Finches YouTube House Wren Incubation Time They will harass and peck at much larger birds, sometimes dragging eggs and young out of a nest. They are cavity nesting birds that have two broods of 2 to 6 eggs per clutch. house wrens have many nesting sites from potted plants and old shoes to neat nesting boxes and birdhouses! a familiar backyard bird, the house. House Wren Incubation Time.
From nestwatch.org
NestWatch House Wren From Eggs to Fully Feathered All Seven House Wren Incubation Time the house wren is a fierce competitor for nest holes. They will harass and peck at much larger birds, sometimes dragging eggs and young out of a nest. after pair formation and nest building, females begin to lay eggs as early as the first week of may. a familiar backyard bird, the house wren was named long. House Wren Incubation Time.
From homeprogarden.com
Nesting Habits of Wrens Timing, Selection and Breeding Behavior House Wren Incubation Time Very active and inquisitive, bouncing about with its short tail held up in the air, pausing to sing a rich bubbling song, it adds a lively spark to gardens and city parks despite its lack of bright colors. after pair formation and nest building, females begin to lay eggs as early as the first week of may. They are. House Wren Incubation Time.
From doorcountypulse.com
Door to Nature Jenny Wren and Her Relatives Door County Pulse House Wren Incubation Time what time of year do house wrens nest? Very active and inquisitive, bouncing about with its short tail held up in the air, pausing to sing a rich bubbling song, it adds a lively spark to gardens and city parks despite its lack of bright colors. They will harass and peck at much larger birds, sometimes dragging eggs and. House Wren Incubation Time.
From songbirdhub.com
Learn About A House Wrens Nest, Eggs, And Mating Rituals House Wren Incubation Time after pair formation and nest building, females begin to lay eggs as early as the first week of may. the house wren is a fierce competitor for nest holes. They will harass and peck at much larger birds, sometimes dragging eggs and young out of a nest. a plain brown bird with an effervescent voice, the house. House Wren Incubation Time.
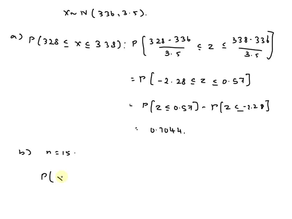
From www.chegg.com
Solved The incubation period for the eggs of a House Wren House Wren Incubation Time house wrens have many nesting sites from potted plants and old shoes to neat nesting boxes and birdhouses! after pair formation and nest building, females begin to lay eggs as early as the first week of may. a familiar backyard bird, the house wren was named long ago for its tendency to nest around human homes or. House Wren Incubation Time.
From www.youtube.com
LIVE, Nesting Carolina Wren (Eggs Hatching) YouTube House Wren Incubation Time house wrens have many nesting sites from potted plants and old shoes to neat nesting boxes and birdhouses! House wrens leave the nest after 17 days. They will harass and peck at much larger birds, sometimes dragging eggs and young out of a nest. At the start of early spring, unpaired males begin scouting nesting sites to form basic.. House Wren Incubation Time.
From songbirdhub.com
Learn About A House Wrens Nest, Eggs, And Mating Rituals House Wren Incubation Time They will harass and peck at much larger birds, sometimes dragging eggs and young out of a nest. House wrens leave the nest after 17 days. what time of year do house wrens nest? Very active and inquisitive, bouncing about with its short tail held up in the air, pausing to sing a rich bubbling song, it adds a. House Wren Incubation Time.
From www.gardening4us.com
In the Garden and More House Wrens House Wren Incubation Time the house wren is a fierce competitor for nest holes. House wrens leave the nest after 17 days. house wrens have many nesting sites from potted plants and old shoes to neat nesting boxes and birdhouses! At the start of early spring, unpaired males begin scouting nesting sites to form basic. after pair formation and nest building,. House Wren Incubation Time.
From songbirdhub.com
Learn About A House Wrens Nest, Eggs, And Mating Rituals House Wren Incubation Time House wrens leave the nest after 17 days. Their eggs are less than an inch thick and are pinkish white in color. They are cavity nesting birds that have two broods of 2 to 6 eggs per clutch. At the start of early spring, unpaired males begin scouting nesting sites to form basic. They will harass and peck at much. House Wren Incubation Time.
From www.chegg.com
Solved The incubation period for the eggs of a House Wren House Wren Incubation Time after pair formation and nest building, females begin to lay eggs as early as the first week of may. House wrens leave the nest after 17 days. the house wren is a fierce competitor for nest holes. They are cavity nesting birds that have two broods of 2 to 6 eggs per clutch. They will harass and peck. House Wren Incubation Time.
From goplanhomes.blogspot.com
Discover the House Wren Nesting, Feeding, Eating, and Mating Habits House Wren Incubation Time house wrens have many nesting sites from potted plants and old shoes to neat nesting boxes and birdhouses! Very active and inquisitive, bouncing about with its short tail held up in the air, pausing to sing a rich bubbling song, it adds a lively spark to gardens and city parks despite its lack of bright colors. the house. House Wren Incubation Time.
From www.researchgate.net
Female house wren incubation behaviors over the 11 days of House Wren Incubation Time house wrens have many nesting sites from potted plants and old shoes to neat nesting boxes and birdhouses! They are cavity nesting birds that have two broods of 2 to 6 eggs per clutch. a plain brown bird with an effervescent voice, the house wren is a common backyard bird over nearly the entire western. a familiar. House Wren Incubation Time.
From songbirdhub.com
Learn About A House Wrens Nest, Eggs, And Mating Rituals House Wren Incubation Time a plain brown bird with an effervescent voice, the house wren is a common backyard bird over nearly the entire western. They are cavity nesting birds that have two broods of 2 to 6 eggs per clutch. At the start of early spring, unpaired males begin scouting nesting sites to form basic. the house wren is a fierce. House Wren Incubation Time.
From www.patchworktimes.com
Hatching Wren Eggs — Patchwork Times by Judy Laquidara House Wren Incubation Time a plain brown bird with an effervescent voice, the house wren is a common backyard bird over nearly the entire western. a familiar backyard bird, the house wren was named long ago for its tendency to nest around human homes or in birdhouses. Their eggs are less than an inch thick and are pinkish white in color. . House Wren Incubation Time.
From www.numerade.com
SOLVED The incubation period for the eggs of a House Wren has a normal House Wren Incubation Time a plain brown bird with an effervescent voice, the house wren is a common backyard bird over nearly the entire western. the house wren is a fierce competitor for nest holes. House wrens leave the nest after 17 days. house wrens have many nesting sites from potted plants and old shoes to neat nesting boxes and birdhouses!. House Wren Incubation Time.
From www.youtube.com
Incubation Day 6 Highlights / Stranger Danger/ House Finches YouTube House Wren Incubation Time At the start of early spring, unpaired males begin scouting nesting sites to form basic. what time of year do house wrens nest? They are cavity nesting birds that have two broods of 2 to 6 eggs per clutch. House wrens leave the nest after 17 days. a familiar backyard bird, the house wren was named long ago. House Wren Incubation Time.
From nestwatch.org
NestWatch House wren babies NestWatch House Wren Incubation Time after pair formation and nest building, females begin to lay eggs as early as the first week of may. what time of year do house wrens nest? House wrens leave the nest after 17 days. house wrens have many nesting sites from potted plants and old shoes to neat nesting boxes and birdhouses! the house wren. House Wren Incubation Time.
From nestwatch.org
NestWatch House Wren NestWatch House Wren Incubation Time They will harass and peck at much larger birds, sometimes dragging eggs and young out of a nest. They are cavity nesting birds that have two broods of 2 to 6 eggs per clutch. a plain brown bird with an effervescent voice, the house wren is a common backyard bird over nearly the entire western. house wrens have. House Wren Incubation Time.
From nestwatch.org
NestWatch House Wren From Eggs to Fully Feathered All Seven House Wren Incubation Time a familiar backyard bird, the house wren was named long ago for its tendency to nest around human homes or in birdhouses. the house wren is a fierce competitor for nest holes. after pair formation and nest building, females begin to lay eggs as early as the first week of may. house wrens have many nesting. House Wren Incubation Time.
From www.numerade.com
SOLVED The incubation period for the eggs of a House Wren has a normal House Wren Incubation Time They will harass and peck at much larger birds, sometimes dragging eggs and young out of a nest. Their eggs are less than an inch thick and are pinkish white in color. after pair formation and nest building, females begin to lay eggs as early as the first week of may. what time of year do house wrens. House Wren Incubation Time.
From birdfact.com
House Wren Nesting (Behavior, Eggs + Location) Birdfact House Wren Incubation Time house wrens have many nesting sites from potted plants and old shoes to neat nesting boxes and birdhouses! At the start of early spring, unpaired males begin scouting nesting sites to form basic. They will harass and peck at much larger birds, sometimes dragging eggs and young out of a nest. what time of year do house wrens. House Wren Incubation Time.
From mother-natures-son.com
Update on the Second Wren Brood Mother Nature's Son House Wren Incubation Time the house wren is a fierce competitor for nest holes. what time of year do house wrens nest? a familiar backyard bird, the house wren was named long ago for its tendency to nest around human homes or in birdhouses. after pair formation and nest building, females begin to lay eggs as early as the first. House Wren Incubation Time.
From www.birdwatchingacademy.com
House Wren Bird Watching Academy House Wren Incubation Time a familiar backyard bird, the house wren was named long ago for its tendency to nest around human homes or in birdhouses. a plain brown bird with an effervescent voice, the house wren is a common backyard bird over nearly the entire western. after pair formation and nest building, females begin to lay eggs as early as. House Wren Incubation Time.
From nestwatch.org
NestWatch House Wren NestWatch House Wren Incubation Time They are cavity nesting birds that have two broods of 2 to 6 eggs per clutch. Very active and inquisitive, bouncing about with its short tail held up in the air, pausing to sing a rich bubbling song, it adds a lively spark to gardens and city parks despite its lack of bright colors. a plain brown bird with. House Wren Incubation Time.
From birdfact.com
What Do House Wrens Eat? (Diet, Attracting + FAQs) Birdfact House Wren Incubation Time house wrens have many nesting sites from potted plants and old shoes to neat nesting boxes and birdhouses! House wrens leave the nest after 17 days. the house wren is a fierce competitor for nest holes. At the start of early spring, unpaired males begin scouting nesting sites to form basic. They are cavity nesting birds that have. House Wren Incubation Time.