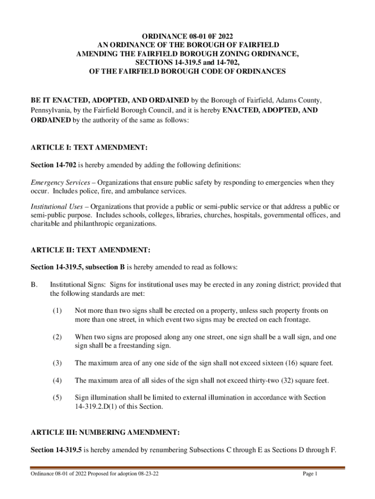
Fairfield Nj Zoning Department . Box 240, fairton, nj 08320. Forms and permits zoning applications/permits application for. the fairfield zoning department is responsible for enforcing the provisions of chapter xlv of the township code. The fairfield zoning department is responsible for enforcing the provisions of chapter xlv of the township code. cannabis zoning verification application ; Please take notice that the following meetings of the township planning board of fairfield township,.
from www.ctinsider.com
Forms and permits zoning applications/permits application for. cannabis zoning verification application ; Please take notice that the following meetings of the township planning board of fairfield township,. The fairfield zoning department is responsible for enforcing the provisions of chapter xlv of the township code. the fairfield zoning department is responsible for enforcing the provisions of chapter xlv of the township code. Box 240, fairton, nj 08320.
A look at Fairfield's rapid growth the past 30 years
Fairfield Nj Zoning Department Forms and permits zoning applications/permits application for. cannabis zoning verification application ; the fairfield zoning department is responsible for enforcing the provisions of chapter xlv of the township code. Box 240, fairton, nj 08320. Forms and permits zoning applications/permits application for. Please take notice that the following meetings of the township planning board of fairfield township,. The fairfield zoning department is responsible for enforcing the provisions of chapter xlv of the township code.
From townofhudsonnc.com
Planning Department Fairfield Nj Zoning Department Box 240, fairton, nj 08320. Please take notice that the following meetings of the township planning board of fairfield township,. The fairfield zoning department is responsible for enforcing the provisions of chapter xlv of the township code. the fairfield zoning department is responsible for enforcing the provisions of chapter xlv of the township code. cannabis zoning verification application. Fairfield Nj Zoning Department.
From www.loopnet.com
1517 Daniel Rd, Fairfield, NJ 07004 Industrial for Lease Fairfield Nj Zoning Department Box 240, fairton, nj 08320. cannabis zoning verification application ; The fairfield zoning department is responsible for enforcing the provisions of chapter xlv of the township code. Please take notice that the following meetings of the township planning board of fairfield township,. Forms and permits zoning applications/permits application for. the fairfield zoning department is responsible for enforcing the. Fairfield Nj Zoning Department.
From exonjqccr.blob.core.windows.net
Neptune Nj Zoning at Willie Brim blog Fairfield Nj Zoning Department Please take notice that the following meetings of the township planning board of fairfield township,. Box 240, fairton, nj 08320. The fairfield zoning department is responsible for enforcing the provisions of chapter xlv of the township code. cannabis zoning verification application ; Forms and permits zoning applications/permits application for. the fairfield zoning department is responsible for enforcing the. Fairfield Nj Zoning Department.
From fairfieldtownshipnj.org
Tax Maps Fairfield Township NJ Fairfield Nj Zoning Department Forms and permits zoning applications/permits application for. cannabis zoning verification application ; the fairfield zoning department is responsible for enforcing the provisions of chapter xlv of the township code. Box 240, fairton, nj 08320. The fairfield zoning department is responsible for enforcing the provisions of chapter xlv of the township code. Please take notice that the following meetings. Fairfield Nj Zoning Department.
From www.pdffiller.com
Fillable Online Town Plan and Zoning Department Town of Fairfield Fairfield Nj Zoning Department the fairfield zoning department is responsible for enforcing the provisions of chapter xlv of the township code. cannabis zoning verification application ; Forms and permits zoning applications/permits application for. The fairfield zoning department is responsible for enforcing the provisions of chapter xlv of the township code. Box 240, fairton, nj 08320. Please take notice that the following meetings. Fairfield Nj Zoning Department.
From www.rahwayrising.com
New zoning map to be adopted Rahway Rising Fairfield Nj Zoning Department The fairfield zoning department is responsible for enforcing the provisions of chapter xlv of the township code. Box 240, fairton, nj 08320. the fairfield zoning department is responsible for enforcing the provisions of chapter xlv of the township code. cannabis zoning verification application ; Forms and permits zoning applications/permits application for. Please take notice that the following meetings. Fairfield Nj Zoning Department.
From www.formsbank.com
Permit Information Sheet City Of Fairfield Building & Zoning Fairfield Nj Zoning Department Please take notice that the following meetings of the township planning board of fairfield township,. cannabis zoning verification application ; The fairfield zoning department is responsible for enforcing the provisions of chapter xlv of the township code. the fairfield zoning department is responsible for enforcing the provisions of chapter xlv of the township code. Box 240, fairton, nj. Fairfield Nj Zoning Department.
From www.countiesmap.com
Zoning And Tax Maps Runnemede NJ Fairfield Nj Zoning Department Forms and permits zoning applications/permits application for. the fairfield zoning department is responsible for enforcing the provisions of chapter xlv of the township code. Please take notice that the following meetings of the township planning board of fairfield township,. Box 240, fairton, nj 08320. The fairfield zoning department is responsible for enforcing the provisions of chapter xlv of the. Fairfield Nj Zoning Department.
From exoxelnim.blob.core.windows.net
Roselle Park Nj Zoning Ordinance at Helen Drake blog Fairfield Nj Zoning Department Please take notice that the following meetings of the township planning board of fairfield township,. Box 240, fairton, nj 08320. The fairfield zoning department is responsible for enforcing the provisions of chapter xlv of the township code. cannabis zoning verification application ; the fairfield zoning department is responsible for enforcing the provisions of chapter xlv of the township. Fairfield Nj Zoning Department.
From www.slideshare.net
New Jersey Zoning and Land Use Resources Fairfield Nj Zoning Department Please take notice that the following meetings of the township planning board of fairfield township,. the fairfield zoning department is responsible for enforcing the provisions of chapter xlv of the township code. Forms and permits zoning applications/permits application for. The fairfield zoning department is responsible for enforcing the provisions of chapter xlv of the township code. cannabis zoning. Fairfield Nj Zoning Department.
From exohyurxw.blob.core.windows.net
Stafford Nj Zoning Map at Maurita Martin blog Fairfield Nj Zoning Department Box 240, fairton, nj 08320. the fairfield zoning department is responsible for enforcing the provisions of chapter xlv of the township code. cannabis zoning verification application ; The fairfield zoning department is responsible for enforcing the provisions of chapter xlv of the township code. Please take notice that the following meetings of the township planning board of fairfield. Fairfield Nj Zoning Department.
From fairfieldlevin.school.nz
Fairfield School Levin Fairfield Nj Zoning Department the fairfield zoning department is responsible for enforcing the provisions of chapter xlv of the township code. The fairfield zoning department is responsible for enforcing the provisions of chapter xlv of the township code. cannabis zoning verification application ; Please take notice that the following meetings of the township planning board of fairfield township,. Forms and permits zoning. Fairfield Nj Zoning Department.
From dxofgkmzq.blob.core.windows.net
Lansdale Borough Zoning Ordinance at Dorothy Cuomo blog Fairfield Nj Zoning Department the fairfield zoning department is responsible for enforcing the provisions of chapter xlv of the township code. Box 240, fairton, nj 08320. Forms and permits zoning applications/permits application for. cannabis zoning verification application ; The fairfield zoning department is responsible for enforcing the provisions of chapter xlv of the township code. Please take notice that the following meetings. Fairfield Nj Zoning Department.
From exonuynin.blob.core.windows.net
Howell Nj Zoning Are2 at Evelyn White blog Fairfield Nj Zoning Department Forms and permits zoning applications/permits application for. The fairfield zoning department is responsible for enforcing the provisions of chapter xlv of the township code. Box 240, fairton, nj 08320. cannabis zoning verification application ; the fairfield zoning department is responsible for enforcing the provisions of chapter xlv of the township code. Please take notice that the following meetings. Fairfield Nj Zoning Department.
From www.sweebearchitecture.com
Decoding Municipal Zoning Regulations in New Jersey Fairfield Nj Zoning Department Forms and permits zoning applications/permits application for. The fairfield zoning department is responsible for enforcing the provisions of chapter xlv of the township code. Box 240, fairton, nj 08320. cannabis zoning verification application ; the fairfield zoning department is responsible for enforcing the provisions of chapter xlv of the township code. Please take notice that the following meetings. Fairfield Nj Zoning Department.
From exohyurxw.blob.core.windows.net
Stafford Nj Zoning Map at Maurita Martin blog Fairfield Nj Zoning Department The fairfield zoning department is responsible for enforcing the provisions of chapter xlv of the township code. Box 240, fairton, nj 08320. Please take notice that the following meetings of the township planning board of fairfield township,. Forms and permits zoning applications/permits application for. the fairfield zoning department is responsible for enforcing the provisions of chapter xlv of the. Fairfield Nj Zoning Department.
From www.journal-news.com
Fairfield going through major update of its planning and zoning code Fairfield Nj Zoning Department The fairfield zoning department is responsible for enforcing the provisions of chapter xlv of the township code. the fairfield zoning department is responsible for enforcing the provisions of chapter xlv of the township code. Box 240, fairton, nj 08320. Please take notice that the following meetings of the township planning board of fairfield township,. cannabis zoning verification application. Fairfield Nj Zoning Department.
From thegardenmagazine.com
Jersey City, NJ USDA Hardiness Zone Map & Planting Guide The Garden Fairfield Nj Zoning Department Please take notice that the following meetings of the township planning board of fairfield township,. cannabis zoning verification application ; Forms and permits zoning applications/permits application for. the fairfield zoning department is responsible for enforcing the provisions of chapter xlv of the township code. The fairfield zoning department is responsible for enforcing the provisions of chapter xlv of. Fairfield Nj Zoning Department.
From www.townoffairfield.com
Reference Information — Town of Fairfield Fairfield Nj Zoning Department cannabis zoning verification application ; the fairfield zoning department is responsible for enforcing the provisions of chapter xlv of the township code. The fairfield zoning department is responsible for enforcing the provisions of chapter xlv of the township code. Forms and permits zoning applications/permits application for. Box 240, fairton, nj 08320. Please take notice that the following meetings. Fairfield Nj Zoning Department.
From dxobfcaak.blob.core.windows.net
Hamilton Township Zoning Board at Oscar Archer blog Fairfield Nj Zoning Department the fairfield zoning department is responsible for enforcing the provisions of chapter xlv of the township code. Please take notice that the following meetings of the township planning board of fairfield township,. cannabis zoning verification application ; Box 240, fairton, nj 08320. Forms and permits zoning applications/permits application for. The fairfield zoning department is responsible for enforcing the. Fairfield Nj Zoning Department.
From www.tapinto.net
Fairfield Council Discusses Overlay Zones, Manure Management and More Fairfield Nj Zoning Department Box 240, fairton, nj 08320. Forms and permits zoning applications/permits application for. cannabis zoning verification application ; Please take notice that the following meetings of the township planning board of fairfield township,. The fairfield zoning department is responsible for enforcing the provisions of chapter xlv of the township code. the fairfield zoning department is responsible for enforcing the. Fairfield Nj Zoning Department.
From gardnjoy.com
New Jersey Planting Zones USDA Map Of New Jersey Growing Zones Fairfield Nj Zoning Department Please take notice that the following meetings of the township planning board of fairfield township,. The fairfield zoning department is responsible for enforcing the provisions of chapter xlv of the township code. cannabis zoning verification application ; Forms and permits zoning applications/permits application for. Box 240, fairton, nj 08320. the fairfield zoning department is responsible for enforcing the. Fairfield Nj Zoning Department.
From www.milfordnj.gov
Zoning Department Borough of Milford, New Jersey Do I need a permit Fairfield Nj Zoning Department Please take notice that the following meetings of the township planning board of fairfield township,. cannabis zoning verification application ; The fairfield zoning department is responsible for enforcing the provisions of chapter xlv of the township code. the fairfield zoning department is responsible for enforcing the provisions of chapter xlv of the township code. Box 240, fairton, nj. Fairfield Nj Zoning Department.
From amp.northjersey.com
Fairfield NJ Unimatic Superfund site plan finalized by EPA Fairfield Nj Zoning Department Please take notice that the following meetings of the township planning board of fairfield township,. Box 240, fairton, nj 08320. Forms and permits zoning applications/permits application for. The fairfield zoning department is responsible for enforcing the provisions of chapter xlv of the township code. cannabis zoning verification application ; the fairfield zoning department is responsible for enforcing the. Fairfield Nj Zoning Department.
From www.pdffiller.com
Fillable Online Zones and Zone Regulations Township of Fairfield, NJ Fairfield Nj Zoning Department Box 240, fairton, nj 08320. cannabis zoning verification application ; Please take notice that the following meetings of the township planning board of fairfield township,. Forms and permits zoning applications/permits application for. The fairfield zoning department is responsible for enforcing the provisions of chapter xlv of the township code. the fairfield zoning department is responsible for enforcing the. Fairfield Nj Zoning Department.
From dxomrvsoo.blob.core.windows.net
Gloucester City Nj Zoning Map at Kevin Churchill blog Fairfield Nj Zoning Department cannabis zoning verification application ; Please take notice that the following meetings of the township planning board of fairfield township,. The fairfield zoning department is responsible for enforcing the provisions of chapter xlv of the township code. the fairfield zoning department is responsible for enforcing the provisions of chapter xlv of the township code. Forms and permits zoning. Fairfield Nj Zoning Department.
From fairfieldtownshipnj.org
Tax Maps Fairfield Township NJ Fairfield Nj Zoning Department cannabis zoning verification application ; Forms and permits zoning applications/permits application for. Box 240, fairton, nj 08320. Please take notice that the following meetings of the township planning board of fairfield township,. The fairfield zoning department is responsible for enforcing the provisions of chapter xlv of the township code. the fairfield zoning department is responsible for enforcing the. Fairfield Nj Zoning Department.
From fairfieldtownshipnj.org
Tax Maps Fairfield Township NJ Fairfield Nj Zoning Department Box 240, fairton, nj 08320. Forms and permits zoning applications/permits application for. The fairfield zoning department is responsible for enforcing the provisions of chapter xlv of the township code. cannabis zoning verification application ; the fairfield zoning department is responsible for enforcing the provisions of chapter xlv of the township code. Please take notice that the following meetings. Fairfield Nj Zoning Department.
From exohyurxw.blob.core.windows.net
Stafford Nj Zoning Map at Maurita Martin blog Fairfield Nj Zoning Department The fairfield zoning department is responsible for enforcing the provisions of chapter xlv of the township code. Please take notice that the following meetings of the township planning board of fairfield township,. Box 240, fairton, nj 08320. cannabis zoning verification application ; the fairfield zoning department is responsible for enforcing the provisions of chapter xlv of the township. Fairfield Nj Zoning Department.
From www.co.fairfield.oh.us
Township Zoning Fairfield County Regional Planning Commission Fairfield Nj Zoning Department cannabis zoning verification application ; Box 240, fairton, nj 08320. Please take notice that the following meetings of the township planning board of fairfield township,. the fairfield zoning department is responsible for enforcing the provisions of chapter xlv of the township code. The fairfield zoning department is responsible for enforcing the provisions of chapter xlv of the township. Fairfield Nj Zoning Department.
From www.fairfield.ca.gov
Community Development Fairfield, CA Fairfield Nj Zoning Department Box 240, fairton, nj 08320. Please take notice that the following meetings of the township planning board of fairfield township,. cannabis zoning verification application ; Forms and permits zoning applications/permits application for. The fairfield zoning department is responsible for enforcing the provisions of chapter xlv of the township code. the fairfield zoning department is responsible for enforcing the. Fairfield Nj Zoning Department.
From www.ctpost.com
New Fairfield zoning officials eye more senior affordable housing Fairfield Nj Zoning Department the fairfield zoning department is responsible for enforcing the provisions of chapter xlv of the township code. The fairfield zoning department is responsible for enforcing the provisions of chapter xlv of the township code. Please take notice that the following meetings of the township planning board of fairfield township,. Forms and permits zoning applications/permits application for. cannabis zoning. Fairfield Nj Zoning Department.
From englishtownnj.com
Zoning / Housing / CO Borough of Englishtown Fairfield Nj Zoning Department cannabis zoning verification application ; Please take notice that the following meetings of the township planning board of fairfield township,. The fairfield zoning department is responsible for enforcing the provisions of chapter xlv of the township code. Box 240, fairton, nj 08320. the fairfield zoning department is responsible for enforcing the provisions of chapter xlv of the township. Fairfield Nj Zoning Department.
From www.newjerseyhills.com
Funding for Fairfield flooding hits snag The Progress News Fairfield Nj Zoning Department Box 240, fairton, nj 08320. Forms and permits zoning applications/permits application for. The fairfield zoning department is responsible for enforcing the provisions of chapter xlv of the township code. cannabis zoning verification application ; the fairfield zoning department is responsible for enforcing the provisions of chapter xlv of the township code. Please take notice that the following meetings. Fairfield Nj Zoning Department.
From www.ctinsider.com
A look at Fairfield's rapid growth the past 30 years Fairfield Nj Zoning Department the fairfield zoning department is responsible for enforcing the provisions of chapter xlv of the township code. Box 240, fairton, nj 08320. cannabis zoning verification application ; Please take notice that the following meetings of the township planning board of fairfield township,. The fairfield zoning department is responsible for enforcing the provisions of chapter xlv of the township. Fairfield Nj Zoning Department.