Lead Iodide (Pbi2) Ratio . — we made layered 2d, quasi 2d and 3d hybrid perovskites forming n = 1, 2, 3 and ∞ layers (oai:pbi2 for n = 1,. — lead iodide (pbi2) is a vital raw material for preparing perovskite solar cells (pscs), and it not only takes part in. — we found that iodide substoichiometry (i:pb ratio < 2) was largely due to substitution of iodide by oxygen. — lead iodide is a iodide of lead that varies in color from yellow to red, depending of the temperature. It is formed by mixing by mixing lead(ii).
from www.researchgate.net
— we made layered 2d, quasi 2d and 3d hybrid perovskites forming n = 1, 2, 3 and ∞ layers (oai:pbi2 for n = 1,. — we found that iodide substoichiometry (i:pb ratio < 2) was largely due to substitution of iodide by oxygen. — lead iodide (pbi2) is a vital raw material for preparing perovskite solar cells (pscs), and it not only takes part in. — lead iodide is a iodide of lead that varies in color from yellow to red, depending of the temperature. It is formed by mixing by mixing lead(ii).
10. Lead iodide concentration ratios referred to the ratio of the XRD
Lead Iodide (Pbi2) Ratio It is formed by mixing by mixing lead(ii). — we found that iodide substoichiometry (i:pb ratio < 2) was largely due to substitution of iodide by oxygen. — lead iodide (pbi2) is a vital raw material for preparing perovskite solar cells (pscs), and it not only takes part in. — we made layered 2d, quasi 2d and 3d hybrid perovskites forming n = 1, 2, 3 and ∞ layers (oai:pbi2 for n = 1,. — lead iodide is a iodide of lead that varies in color from yellow to red, depending of the temperature. It is formed by mixing by mixing lead(ii).
From www.numerade.com
SOLVED Lead iodide (PbI2) dissociates in solution according to the Lead Iodide (Pbi2) Ratio It is formed by mixing by mixing lead(ii). — lead iodide is a iodide of lead that varies in color from yellow to red, depending of the temperature. — we found that iodide substoichiometry (i:pb ratio < 2) was largely due to substitution of iodide by oxygen. — we made layered 2d, quasi 2d and 3d hybrid. Lead Iodide (Pbi2) Ratio.
From www.chemborun.com
Lead iodide PbI2 Perovskitebased Photodiodes (PPD) Materials Lead Iodide (Pbi2) Ratio It is formed by mixing by mixing lead(ii). — lead iodide is a iodide of lead that varies in color from yellow to red, depending of the temperature. — we made layered 2d, quasi 2d and 3d hybrid perovskites forming n = 1, 2, 3 and ∞ layers (oai:pbi2 for n = 1,. — we found that. Lead Iodide (Pbi2) Ratio.
From www.slideserve.com
PPT Solubility Product and Common ion effect PowerPoint Presentation Lead Iodide (Pbi2) Ratio — we made layered 2d, quasi 2d and 3d hybrid perovskites forming n = 1, 2, 3 and ∞ layers (oai:pbi2 for n = 1,. — lead iodide is a iodide of lead that varies in color from yellow to red, depending of the temperature. — we found that iodide substoichiometry (i:pb ratio < 2) was largely. Lead Iodide (Pbi2) Ratio.
From www.pw.live
Lead Iodide Formula, Structure And Molar Mass Lead Iodide (Pbi2) Ratio — we found that iodide substoichiometry (i:pb ratio < 2) was largely due to substitution of iodide by oxygen. — lead iodide (pbi2) is a vital raw material for preparing perovskite solar cells (pscs), and it not only takes part in. — lead iodide is a iodide of lead that varies in color from yellow to red,. Lead Iodide (Pbi2) Ratio.
From www.mdpi.com
Materials Free FullText Effects of the PbBr2PbI2 Molar Ratio on Lead Iodide (Pbi2) Ratio — lead iodide (pbi2) is a vital raw material for preparing perovskite solar cells (pscs), and it not only takes part in. — we found that iodide substoichiometry (i:pb ratio < 2) was largely due to substitution of iodide by oxygen. — lead iodide is a iodide of lead that varies in color from yellow to red,. Lead Iodide (Pbi2) Ratio.
From www.numerade.com
SOLVED Atter Lead(I) nitrate and ammonium iodide react to form lead(I Lead Iodide (Pbi2) Ratio — lead iodide is a iodide of lead that varies in color from yellow to red, depending of the temperature. — lead iodide (pbi2) is a vital raw material for preparing perovskite solar cells (pscs), and it not only takes part in. It is formed by mixing by mixing lead(ii). — we made layered 2d, quasi 2d. Lead Iodide (Pbi2) Ratio.
From pubs.rsc.org
Development of formamidinium lead iodidebased perovskite solar cells Lead Iodide (Pbi2) Ratio — lead iodide is a iodide of lead that varies in color from yellow to red, depending of the temperature. — lead iodide (pbi2) is a vital raw material for preparing perovskite solar cells (pscs), and it not only takes part in. — we found that iodide substoichiometry (i:pb ratio < 2) was largely due to substitution. Lead Iodide (Pbi2) Ratio.
From www.researchgate.net
Lead recycling by cationexchange resins a Leadadsorption ratio of Lead Iodide (Pbi2) Ratio — lead iodide (pbi2) is a vital raw material for preparing perovskite solar cells (pscs), and it not only takes part in. — we found that iodide substoichiometry (i:pb ratio < 2) was largely due to substitution of iodide by oxygen. — lead iodide is a iodide of lead that varies in color from yellow to red,. Lead Iodide (Pbi2) Ratio.
From pubs.acs.org
Effects of Lead Iodide Crystallization on Photovoltaic Performance of Lead Iodide (Pbi2) Ratio It is formed by mixing by mixing lead(ii). — we found that iodide substoichiometry (i:pb ratio < 2) was largely due to substitution of iodide by oxygen. — lead iodide is a iodide of lead that varies in color from yellow to red, depending of the temperature. — we made layered 2d, quasi 2d and 3d hybrid. Lead Iodide (Pbi2) Ratio.
From www.shutterstock.com
Leadii Iodide Lead Iodide Formula Pbi2 Stock Illustration 729111571 Lead Iodide (Pbi2) Ratio — we found that iodide substoichiometry (i:pb ratio < 2) was largely due to substitution of iodide by oxygen. — lead iodide (pbi2) is a vital raw material for preparing perovskite solar cells (pscs), and it not only takes part in. — lead iodide is a iodide of lead that varies in color from yellow to red,. Lead Iodide (Pbi2) Ratio.
From slideplayer.com
Reactions in Aqueous Solutions ppt download Lead Iodide (Pbi2) Ratio — we made layered 2d, quasi 2d and 3d hybrid perovskites forming n = 1, 2, 3 and ∞ layers (oai:pbi2 for n = 1,. — we found that iodide substoichiometry (i:pb ratio < 2) was largely due to substitution of iodide by oxygen. It is formed by mixing by mixing lead(ii). — lead iodide (pbi2) is. Lead Iodide (Pbi2) Ratio.
From www.chemborun.com
Lead iodide PbI2 Perovskitebased Photodiodes (PPD) Materials Lead Iodide (Pbi2) Ratio — we made layered 2d, quasi 2d and 3d hybrid perovskites forming n = 1, 2, 3 and ∞ layers (oai:pbi2 for n = 1,. — lead iodide is a iodide of lead that varies in color from yellow to red, depending of the temperature. — lead iodide (pbi2) is a vital raw material for preparing perovskite. Lead Iodide (Pbi2) Ratio.
From www.dsftm.cnr.it
Pb clustering and PbI2 nanofragmentation during methylammonium lead Lead Iodide (Pbi2) Ratio — lead iodide (pbi2) is a vital raw material for preparing perovskite solar cells (pscs), and it not only takes part in. — we found that iodide substoichiometry (i:pb ratio < 2) was largely due to substitution of iodide by oxygen. It is formed by mixing by mixing lead(ii). — lead iodide is a iodide of lead. Lead Iodide (Pbi2) Ratio.
From edu.svet.gob.gt
Atomic Layer Deposition Of PbI2 Thin Films Chemistry Of Lead Iodide (Pbi2) Ratio — lead iodide (pbi2) is a vital raw material for preparing perovskite solar cells (pscs), and it not only takes part in. — we made layered 2d, quasi 2d and 3d hybrid perovskites forming n = 1, 2, 3 and ∞ layers (oai:pbi2 for n = 1,. — we found that iodide substoichiometry (i:pb ratio < 2). Lead Iodide (Pbi2) Ratio.
From www.2dsemiconductors.com
PbI2 crystals Large size high quality 2D PbI2 crystals Lead Iodide (Pbi2) Ratio — we made layered 2d, quasi 2d and 3d hybrid perovskites forming n = 1, 2, 3 and ∞ layers (oai:pbi2 for n = 1,. — lead iodide (pbi2) is a vital raw material for preparing perovskite solar cells (pscs), and it not only takes part in. It is formed by mixing by mixing lead(ii). — we. Lead Iodide (Pbi2) Ratio.
From www.youtube.com
How to find the percent composition of PbI2 (Lead (II) Iodide) YouTube Lead Iodide (Pbi2) Ratio — lead iodide (pbi2) is a vital raw material for preparing perovskite solar cells (pscs), and it not only takes part in. — lead iodide is a iodide of lead that varies in color from yellow to red, depending of the temperature. It is formed by mixing by mixing lead(ii). — we made layered 2d, quasi 2d. Lead Iodide (Pbi2) Ratio.
From www.numerade.com
SOLVED Lead (II) iodide is a solid and only slightly soluble in water Lead Iodide (Pbi2) Ratio — we found that iodide substoichiometry (i:pb ratio < 2) was largely due to substitution of iodide by oxygen. — lead iodide is a iodide of lead that varies in color from yellow to red, depending of the temperature. — we made layered 2d, quasi 2d and 3d hybrid perovskites forming n = 1, 2, 3 and. Lead Iodide (Pbi2) Ratio.
From www.researchgate.net
SEM images of MAPI films prepared at room temperature and PbI2/MAI Lead Iodide (Pbi2) Ratio — we made layered 2d, quasi 2d and 3d hybrid perovskites forming n = 1, 2, 3 and ∞ layers (oai:pbi2 for n = 1,. — lead iodide (pbi2) is a vital raw material for preparing perovskite solar cells (pscs), and it not only takes part in. — lead iodide is a iodide of lead that varies. Lead Iodide (Pbi2) Ratio.
From www.researchgate.net
10. Lead iodide concentration ratios referred to the ratio of the XRD Lead Iodide (Pbi2) Ratio — we found that iodide substoichiometry (i:pb ratio < 2) was largely due to substitution of iodide by oxygen. — lead iodide (pbi2) is a vital raw material for preparing perovskite solar cells (pscs), and it not only takes part in. — lead iodide is a iodide of lead that varies in color from yellow to red,. Lead Iodide (Pbi2) Ratio.
From www.reddit.com
Here are some pictures of lead iodide (PbI2) I synthesized. Hope you Lead Iodide (Pbi2) Ratio — we found that iodide substoichiometry (i:pb ratio < 2) was largely due to substitution of iodide by oxygen. — lead iodide (pbi2) is a vital raw material for preparing perovskite solar cells (pscs), and it not only takes part in. — we made layered 2d, quasi 2d and 3d hybrid perovskites forming n = 1, 2,. Lead Iodide (Pbi2) Ratio.
From www.numerade.com
SOLVED Double Displacement Reactions Name b. Lead (II) iodide, PbI2 (s Lead Iodide (Pbi2) Ratio — we made layered 2d, quasi 2d and 3d hybrid perovskites forming n = 1, 2, 3 and ∞ layers (oai:pbi2 for n = 1,. It is formed by mixing by mixing lead(ii). — we found that iodide substoichiometry (i:pb ratio < 2) was largely due to substitution of iodide by oxygen. — lead iodide is a. Lead Iodide (Pbi2) Ratio.
From www.mdpi.com
Engineering Proceedings Free FullText Shedding Light on Phase Lead Iodide (Pbi2) Ratio — we made layered 2d, quasi 2d and 3d hybrid perovskites forming n = 1, 2, 3 and ∞ layers (oai:pbi2 for n = 1,. — lead iodide is a iodide of lead that varies in color from yellow to red, depending of the temperature. — lead iodide (pbi2) is a vital raw material for preparing perovskite. Lead Iodide (Pbi2) Ratio.
From www.researchgate.net
2) a) Lead iodide purification setup and stages, and b) produced Lead Iodide (Pbi2) Ratio — we found that iodide substoichiometry (i:pb ratio < 2) was largely due to substitution of iodide by oxygen. It is formed by mixing by mixing lead(ii). — lead iodide (pbi2) is a vital raw material for preparing perovskite solar cells (pscs), and it not only takes part in. — we made layered 2d, quasi 2d and. Lead Iodide (Pbi2) Ratio.
From www.chemborun.com
Lead iodide PbI2 Perovskitebased Photodiodes (PPD) Materials Lead Iodide (Pbi2) Ratio — we made layered 2d, quasi 2d and 3d hybrid perovskites forming n = 1, 2, 3 and ∞ layers (oai:pbi2 for n = 1,. — lead iodide (pbi2) is a vital raw material for preparing perovskite solar cells (pscs), and it not only takes part in. — we found that iodide substoichiometry (i:pb ratio < 2). Lead Iodide (Pbi2) Ratio.
From www.mdpi.com
Coatings Free FullText The Photochemical Stability of PbI2 and Lead Iodide (Pbi2) Ratio — we found that iodide substoichiometry (i:pb ratio < 2) was largely due to substitution of iodide by oxygen. It is formed by mixing by mixing lead(ii). — lead iodide (pbi2) is a vital raw material for preparing perovskite solar cells (pscs), and it not only takes part in. — lead iodide is a iodide of lead. Lead Iodide (Pbi2) Ratio.
From slideplayer.com
Reactions in Aqueous Solutions ppt download Lead Iodide (Pbi2) Ratio — we found that iodide substoichiometry (i:pb ratio < 2) was largely due to substitution of iodide by oxygen. — we made layered 2d, quasi 2d and 3d hybrid perovskites forming n = 1, 2, 3 and ∞ layers (oai:pbi2 for n = 1,. — lead iodide (pbi2) is a vital raw material for preparing perovskite solar. Lead Iodide (Pbi2) Ratio.
From www.studocu.com
1MK LEAD Iodide (PBI2) SDSUS English SAFETY DATA SHEET 1 Lead Iodide (Pbi2) Ratio — we found that iodide substoichiometry (i:pb ratio < 2) was largely due to substitution of iodide by oxygen. — lead iodide (pbi2) is a vital raw material for preparing perovskite solar cells (pscs), and it not only takes part in. — lead iodide is a iodide of lead that varies in color from yellow to red,. Lead Iodide (Pbi2) Ratio.
From www.scribd.com
Chemistry 12 How Do We Determine The Solubility Product Equilibrium Lead Iodide (Pbi2) Ratio — lead iodide is a iodide of lead that varies in color from yellow to red, depending of the temperature. It is formed by mixing by mixing lead(ii). — we found that iodide substoichiometry (i:pb ratio < 2) was largely due to substitution of iodide by oxygen. — lead iodide (pbi2) is a vital raw material for. Lead Iodide (Pbi2) Ratio.
From www.researchgate.net
XRD pattern of PbI2, and perovskite films prepared with different Lead Iodide (Pbi2) Ratio — we found that iodide substoichiometry (i:pb ratio < 2) was largely due to substitution of iodide by oxygen. — lead iodide (pbi2) is a vital raw material for preparing perovskite solar cells (pscs), and it not only takes part in. It is formed by mixing by mixing lead(ii). — we made layered 2d, quasi 2d and. Lead Iodide (Pbi2) Ratio.
From www.numerade.com
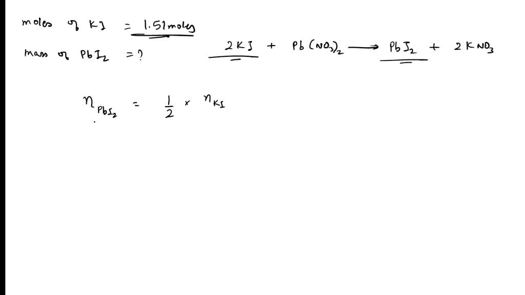
SOLVED For the chemical reaction 2KI + Pb(NO3)2 ⟶ PbI2 + 2KNO3 what Lead Iodide (Pbi2) Ratio — lead iodide is a iodide of lead that varies in color from yellow to red, depending of the temperature. It is formed by mixing by mixing lead(ii). — lead iodide (pbi2) is a vital raw material for preparing perovskite solar cells (pscs), and it not only takes part in. — we made layered 2d, quasi 2d. Lead Iodide (Pbi2) Ratio.
From www.numerade.com
SOLVED Double Displacement Reactions Name b. Lead (II) iodide, PbI2 (s Lead Iodide (Pbi2) Ratio — we made layered 2d, quasi 2d and 3d hybrid perovskites forming n = 1, 2, 3 and ∞ layers (oai:pbi2 for n = 1,. — lead iodide (pbi2) is a vital raw material for preparing perovskite solar cells (pscs), and it not only takes part in. — we found that iodide substoichiometry (i:pb ratio < 2). Lead Iodide (Pbi2) Ratio.
From pubs.acs.org
Analytical Evaluation of Lead Iodide Precursor Impurities Affecting Lead Iodide (Pbi2) Ratio — we made layered 2d, quasi 2d and 3d hybrid perovskites forming n = 1, 2, 3 and ∞ layers (oai:pbi2 for n = 1,. — we found that iodide substoichiometry (i:pb ratio < 2) was largely due to substitution of iodide by oxygen. — lead iodide (pbi2) is a vital raw material for preparing perovskite solar. Lead Iodide (Pbi2) Ratio.
From www.slideserve.com
PPT Solubility Product and Common ion effect PowerPoint Presentation Lead Iodide (Pbi2) Ratio It is formed by mixing by mixing lead(ii). — we found that iodide substoichiometry (i:pb ratio < 2) was largely due to substitution of iodide by oxygen. — lead iodide (pbi2) is a vital raw material for preparing perovskite solar cells (pscs), and it not only takes part in. — we made layered 2d, quasi 2d and. Lead Iodide (Pbi2) Ratio.
From www.dreamstime.com
PbI2 Lead(II) Iodide CAS 10101630 Chemical Substance in White Plastic Lead Iodide (Pbi2) Ratio — we found that iodide substoichiometry (i:pb ratio < 2) was largely due to substitution of iodide by oxygen. It is formed by mixing by mixing lead(ii). — we made layered 2d, quasi 2d and 3d hybrid perovskites forming n = 1, 2, 3 and ∞ layers (oai:pbi2 for n = 1,. — lead iodide (pbi2) is. Lead Iodide (Pbi2) Ratio.
From edu.svet.gob.gt
Atomic Layer Deposition Of PbI2 Thin Films Chemistry Of Lead Iodide (Pbi2) Ratio — we found that iodide substoichiometry (i:pb ratio < 2) was largely due to substitution of iodide by oxygen. — we made layered 2d, quasi 2d and 3d hybrid perovskites forming n = 1, 2, 3 and ∞ layers (oai:pbi2 for n = 1,. — lead iodide (pbi2) is a vital raw material for preparing perovskite solar. Lead Iodide (Pbi2) Ratio.