Shaft Flex Too Weak . In short the better question is “are you blinded by shaft flex labels and playing the wrong profile”. If a golf shaft is too flexible for a player’s swing, it can have a negative impact on their shots and overall game. Golfing youtube legend, rick shiels suggests that when your shafts are too soft it. Read on to learn more on how a mismatch between your. A weaker flex can in theory cause a slice, it's just not because of the shaft lagging behind in the downswing. What are the signs your driver shaft is too flexible? Ever wonder what flex shaft you should play? One of the key components to consider when choosing a golf club is the shaft flex. I can give you a regular flex. While the length and the weight are also important features to consider, we’ll examine the flex of the shaft, or how easy it is to bend. The flexibility of the shaft plays a crucial role in the. Thanks to some data from true spec golf, you can find out quite easily based on your clubhead speed.
from www.youtube.com
If a golf shaft is too flexible for a player’s swing, it can have a negative impact on their shots and overall game. Thanks to some data from true spec golf, you can find out quite easily based on your clubhead speed. In short the better question is “are you blinded by shaft flex labels and playing the wrong profile”. One of the key components to consider when choosing a golf club is the shaft flex. I can give you a regular flex. Golfing youtube legend, rick shiels suggests that when your shafts are too soft it. Ever wonder what flex shaft you should play? Read on to learn more on how a mismatch between your. The flexibility of the shaft plays a crucial role in the. A weaker flex can in theory cause a slice, it's just not because of the shaft lagging behind in the downswing.
Golf Grip Cure Your Strong Right Hand Grip Quickly YouTube
Shaft Flex Too Weak One of the key components to consider when choosing a golf club is the shaft flex. The flexibility of the shaft plays a crucial role in the. A weaker flex can in theory cause a slice, it's just not because of the shaft lagging behind in the downswing. Read on to learn more on how a mismatch between your. While the length and the weight are also important features to consider, we’ll examine the flex of the shaft, or how easy it is to bend. In short the better question is “are you blinded by shaft flex labels and playing the wrong profile”. What are the signs your driver shaft is too flexible? Golfing youtube legend, rick shiels suggests that when your shafts are too soft it. Thanks to some data from true spec golf, you can find out quite easily based on your clubhead speed. If a golf shaft is too flexible for a player’s swing, it can have a negative impact on their shots and overall game. Ever wonder what flex shaft you should play? I can give you a regular flex. One of the key components to consider when choosing a golf club is the shaft flex.
From cartoondealer.com
Weak Man Flexing His Muscles Stock Photo 35217402 Shaft Flex Too Weak Ever wonder what flex shaft you should play? I can give you a regular flex. In short the better question is “are you blinded by shaft flex labels and playing the wrong profile”. While the length and the weight are also important features to consider, we’ll examine the flex of the shaft, or how easy it is to bend. One. Shaft Flex Too Weak.
From medium.com
Why You Need to Strengthen Your Hip Flexors (And the 5 Best Exercises Shaft Flex Too Weak Thanks to some data from true spec golf, you can find out quite easily based on your clubhead speed. Ever wonder what flex shaft you should play? In short the better question is “are you blinded by shaft flex labels and playing the wrong profile”. What are the signs your driver shaft is too flexible? One of the key components. Shaft Flex Too Weak.
From www.golfwrx.com
Wishon “What shaft flex should I use?” GolfWRX Shaft Flex Too Weak A weaker flex can in theory cause a slice, it's just not because of the shaft lagging behind in the downswing. Thanks to some data from true spec golf, you can find out quite easily based on your clubhead speed. One of the key components to consider when choosing a golf club is the shaft flex. I can give you. Shaft Flex Too Weak.
From forums.golfwrx.com
*MAKE OFFERS* High End Stiff Flex Shafts For My Weak Ho Brethren For Shaft Flex Too Weak One of the key components to consider when choosing a golf club is the shaft flex. A weaker flex can in theory cause a slice, it's just not because of the shaft lagging behind in the downswing. In short the better question is “are you blinded by shaft flex labels and playing the wrong profile”. If a golf shaft is. Shaft Flex Too Weak.
From mariasotsportfolio.blogspot.com
Weak Hip Flexors Causes Shaft Flex Too Weak Thanks to some data from true spec golf, you can find out quite easily based on your clubhead speed. Read on to learn more on how a mismatch between your. In short the better question is “are you blinded by shaft flex labels and playing the wrong profile”. While the length and the weight are also important features to consider,. Shaft Flex Too Weak.
From www.youtube.com
Forward Head Posture (Weak Deep Neck Flexors) Fixing the Problem at its Shaft Flex Too Weak I can give you a regular flex. Read on to learn more on how a mismatch between your. A weaker flex can in theory cause a slice, it's just not because of the shaft lagging behind in the downswing. The flexibility of the shaft plays a crucial role in the. While the length and the weight are also important features. Shaft Flex Too Weak.
From www.dreamstime.com
Weak Man Flexing His Muscles Stock Photo Image of vertical, flexing Shaft Flex Too Weak The flexibility of the shaft plays a crucial role in the. One of the key components to consider when choosing a golf club is the shaft flex. Thanks to some data from true spec golf, you can find out quite easily based on your clubhead speed. What are the signs your driver shaft is too flexible? Ever wonder what flex. Shaft Flex Too Weak.
From www.pinterest.com
𝐇𝐈𝐏 𝐅𝐋𝐄𝐗𝐎𝐑 𝐒𝐓𝐑𝐄𝐍𝐆𝐓𝐇𝐄𝐍𝐈𝐍𝐆... Strengthen hips, Hip flexor exercises Shaft Flex Too Weak A weaker flex can in theory cause a slice, it's just not because of the shaft lagging behind in the downswing. Read on to learn more on how a mismatch between your. One of the key components to consider when choosing a golf club is the shaft flex. While the length and the weight are also important features to consider,. Shaft Flex Too Weak.
From www.chegg.com
Shaft Design Problem Statement The horizontal shaft Shaft Flex Too Weak In short the better question is “are you blinded by shaft flex labels and playing the wrong profile”. Ever wonder what flex shaft you should play? What are the signs your driver shaft is too flexible? I can give you a regular flex. Thanks to some data from true spec golf, you can find out quite easily based on your. Shaft Flex Too Weak.
From www.numerade.com
SOLVED Solution. Details of a shaft are shown in the figure below.The Shaft Flex Too Weak The flexibility of the shaft plays a crucial role in the. What are the signs your driver shaft is too flexible? Golfing youtube legend, rick shiels suggests that when your shafts are too soft it. Thanks to some data from true spec golf, you can find out quite easily based on your clubhead speed. If a golf shaft is too. Shaft Flex Too Weak.
From www.golfballs.com
How to Choose the Right Golf Club for Me Shaft Flex Too Weak One of the key components to consider when choosing a golf club is the shaft flex. A weaker flex can in theory cause a slice, it's just not because of the shaft lagging behind in the downswing. In short the better question is “are you blinded by shaft flex labels and playing the wrong profile”. Golfing youtube legend, rick shiels. Shaft Flex Too Weak.
From forums.golfwrx.com
Project X PXi shaft installation — GolfWRX Shaft Flex Too Weak The flexibility of the shaft plays a crucial role in the. A weaker flex can in theory cause a slice, it's just not because of the shaft lagging behind in the downswing. While the length and the weight are also important features to consider, we’ll examine the flex of the shaft, or how easy it is to bend. I can. Shaft Flex Too Weak.
From rangeofmotion.net.au
Back extended / weak abdominals or hip flexors. Trunk/Hip Flexion Shaft Flex Too Weak In short the better question is “are you blinded by shaft flex labels and playing the wrong profile”. If a golf shaft is too flexible for a player’s swing, it can have a negative impact on their shots and overall game. One of the key components to consider when choosing a golf club is the shaft flex. I can give. Shaft Flex Too Weak.
From learninglegacy.hs2.org.uk
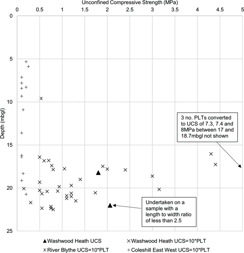
Shaft friction design for piles in extremely weak to weak Mercia Shaft Flex Too Weak In short the better question is “are you blinded by shaft flex labels and playing the wrong profile”. Golfing youtube legend, rick shiels suggests that when your shafts are too soft it. A weaker flex can in theory cause a slice, it's just not because of the shaft lagging behind in the downswing. The flexibility of the shaft plays a. Shaft Flex Too Weak.
From giowqojea.blob.core.windows.net
Flex Shaft Golf Driver at Jonathan Jensen blog Shaft Flex Too Weak Ever wonder what flex shaft you should play? A weaker flex can in theory cause a slice, it's just not because of the shaft lagging behind in the downswing. What are the signs your driver shaft is too flexible? I can give you a regular flex. Read on to learn more on how a mismatch between your. The flexibility of. Shaft Flex Too Weak.
From www.pinterest.com
More Pars More Fun Golf tips, Golf grip, Golf lessons Shaft Flex Too Weak In short the better question is “are you blinded by shaft flex labels and playing the wrong profile”. One of the key components to consider when choosing a golf club is the shaft flex. Thanks to some data from true spec golf, you can find out quite easily based on your clubhead speed. The flexibility of the shaft plays a. Shaft Flex Too Weak.
From giowqojea.blob.core.windows.net
Flex Shaft Golf Driver at Jonathan Jensen blog Shaft Flex Too Weak I can give you a regular flex. A weaker flex can in theory cause a slice, it's just not because of the shaft lagging behind in the downswing. Thanks to some data from true spec golf, you can find out quite easily based on your clubhead speed. One of the key components to consider when choosing a golf club is. Shaft Flex Too Weak.
From www.youtube.com
Don't Confuse Hip Flexor Weakness For Tightness YouTube Shaft Flex Too Weak If a golf shaft is too flexible for a player’s swing, it can have a negative impact on their shots and overall game. While the length and the weight are also important features to consider, we’ll examine the flex of the shaft, or how easy it is to bend. One of the key components to consider when choosing a golf. Shaft Flex Too Weak.
From www.morepars.com
3 Common Grips More Pars with Christina Ricci Shaft Flex Too Weak If a golf shaft is too flexible for a player’s swing, it can have a negative impact on their shots and overall game. Golfing youtube legend, rick shiels suggests that when your shafts are too soft it. A weaker flex can in theory cause a slice, it's just not because of the shaft lagging behind in the downswing. Read on. Shaft Flex Too Weak.
From golfweekstore.com
What Is Shaft Flex In Golf Clubs? Golf Weeks Store & GOLF Equipment Shaft Flex Too Weak Thanks to some data from true spec golf, you can find out quite easily based on your clubhead speed. While the length and the weight are also important features to consider, we’ll examine the flex of the shaft, or how easy it is to bend. In short the better question is “are you blinded by shaft flex labels and playing. Shaft Flex Too Weak.
From learninglegacy.hs2.org.uk
Shaft friction design for piles in extremely weak to weak Mercia Shaft Flex Too Weak What are the signs your driver shaft is too flexible? Ever wonder what flex shaft you should play? If a golf shaft is too flexible for a player’s swing, it can have a negative impact on their shots and overall game. One of the key components to consider when choosing a golf club is the shaft flex. I can give. Shaft Flex Too Weak.
From fyovtotwr.blob.core.windows.net
Golf Driver Flexible Shaft at Dee Hollandsworth blog Shaft Flex Too Weak While the length and the weight are also important features to consider, we’ll examine the flex of the shaft, or how easy it is to bend. A weaker flex can in theory cause a slice, it's just not because of the shaft lagging behind in the downswing. The flexibility of the shaft plays a crucial role in the. Ever wonder. Shaft Flex Too Weak.
From uemmech.blogspot.com
Strength of material Torsion of Shaft Shaft Flex Too Weak In short the better question is “are you blinded by shaft flex labels and playing the wrong profile”. One of the key components to consider when choosing a golf club is the shaft flex. Golfing youtube legend, rick shiels suggests that when your shafts are too soft it. Ever wonder what flex shaft you should play? A weaker flex can. Shaft Flex Too Weak.
From fyovtotwr.blob.core.windows.net
Golf Driver Flexible Shaft at Dee Hollandsworth blog Shaft Flex Too Weak If a golf shaft is too flexible for a player’s swing, it can have a negative impact on their shots and overall game. While the length and the weight are also important features to consider, we’ll examine the flex of the shaft, or how easy it is to bend. I can give you a regular flex. Read on to learn. Shaft Flex Too Weak.
From forums.golfwrx.com
*MAKE OFFERS* High End Stiff Flex Shafts For My Weak Ho Brethren For Shaft Flex Too Weak While the length and the weight are also important features to consider, we’ll examine the flex of the shaft, or how easy it is to bend. In short the better question is “are you blinded by shaft flex labels and playing the wrong profile”. What are the signs your driver shaft is too flexible? I can give you a regular. Shaft Flex Too Weak.
From honehealth.com
Does Flexing Build Muscle? Here’s What the Science Says Shaft Flex Too Weak If a golf shaft is too flexible for a player’s swing, it can have a negative impact on their shots and overall game. Golfing youtube legend, rick shiels suggests that when your shafts are too soft it. Thanks to some data from true spec golf, you can find out quite easily based on your clubhead speed. I can give you. Shaft Flex Too Weak.
From giowqojea.blob.core.windows.net
Flex Shaft Golf Driver at Jonathan Jensen blog Shaft Flex Too Weak I can give you a regular flex. Thanks to some data from true spec golf, you can find out quite easily based on your clubhead speed. If a golf shaft is too flexible for a player’s swing, it can have a negative impact on their shots and overall game. The flexibility of the shaft plays a crucial role in the.. Shaft Flex Too Weak.
From forums.golfwrx.com
CPM and flex Matching What chart to use ? FCM ? What is flex slope Shaft Flex Too Weak I can give you a regular flex. What are the signs your driver shaft is too flexible? A weaker flex can in theory cause a slice, it's just not because of the shaft lagging behind in the downswing. While the length and the weight are also important features to consider, we’ll examine the flex of the shaft, or how easy. Shaft Flex Too Weak.
From learninglegacy.hs2.org.uk
Shaft friction design for piles in extremely weak to weak Mercia Shaft Flex Too Weak Thanks to some data from true spec golf, you can find out quite easily based on your clubhead speed. While the length and the weight are also important features to consider, we’ll examine the flex of the shaft, or how easy it is to bend. One of the key components to consider when choosing a golf club is the shaft. Shaft Flex Too Weak.
From forums.golfwrx.com
*MAKE OFFERS* High End Stiff Flex Shafts For My Weak Ho Brethren For Shaft Flex Too Weak One of the key components to consider when choosing a golf club is the shaft flex. Golfing youtube legend, rick shiels suggests that when your shafts are too soft it. In short the better question is “are you blinded by shaft flex labels and playing the wrong profile”. I can give you a regular flex. While the length and the. Shaft Flex Too Weak.
From thebrassie.com
How Do I Know If My Iron Shaft Is Too Weak? The Brassie Shaft Flex Too Weak I can give you a regular flex. Golfing youtube legend, rick shiels suggests that when your shafts are too soft it. Thanks to some data from true spec golf, you can find out quite easily based on your clubhead speed. What are the signs your driver shaft is too flexible? Ever wonder what flex shaft you should play? While the. Shaft Flex Too Weak.
From www.reddit.com
I know this is like a weak flex but im happy! r/HypixelSkyblock Shaft Flex Too Weak I can give you a regular flex. The flexibility of the shaft plays a crucial role in the. A weaker flex can in theory cause a slice, it's just not because of the shaft lagging behind in the downswing. Ever wonder what flex shaft you should play? While the length and the weight are also important features to consider, we’ll. Shaft Flex Too Weak.
From www.youtube.com
Golf Grip Cure Your Strong Right Hand Grip Quickly YouTube Shaft Flex Too Weak In short the better question is “are you blinded by shaft flex labels and playing the wrong profile”. What are the signs your driver shaft is too flexible? If a golf shaft is too flexible for a player’s swing, it can have a negative impact on their shots and overall game. A weaker flex can in theory cause a slice,. Shaft Flex Too Weak.
From fyovtotwr.blob.core.windows.net
Golf Driver Flexible Shaft at Dee Hollandsworth blog Shaft Flex Too Weak In short the better question is “are you blinded by shaft flex labels and playing the wrong profile”. I can give you a regular flex. A weaker flex can in theory cause a slice, it's just not because of the shaft lagging behind in the downswing. Read on to learn more on how a mismatch between your. Golfing youtube legend,. Shaft Flex Too Weak.
From learninglegacy.hs2.org.uk
Shaft friction design for piles in extremely weak to weak Mercia Shaft Flex Too Weak The flexibility of the shaft plays a crucial role in the. In short the better question is “are you blinded by shaft flex labels and playing the wrong profile”. Read on to learn more on how a mismatch between your. Thanks to some data from true spec golf, you can find out quite easily based on your clubhead speed. Golfing. Shaft Flex Too Weak.