What Is The Purpose Of A Deed In Real Estate . Lyle solomon, principal attorney at oak view law group in rocklin, california, explains the significant purpose of a property deed. The title is someone’s right to legal ownership and use of a property, including the right to sell it. It serves as proof that the transfer has occurred and provides a legal record of the transaction. A deed can also transfer property. A deed is the physical document that passes those ownership rights from seller to buyer and is usually recorded with the courthouse or assessor’s office. “a deed is a legal document used to confirm or convey the ownership rights to a property,” explains anne rizzo of amrock, the title. What is the purpose of a property deed? For each property, a deed establishes a person's legal right to the ownership of real property. A deed is a legal document that transfers ownership of a property from one party to another.
from giozcpayz.blob.core.windows.net
A deed is a legal document that transfers ownership of a property from one party to another. What is the purpose of a property deed? Lyle solomon, principal attorney at oak view law group in rocklin, california, explains the significant purpose of a property deed. A deed can also transfer property. For each property, a deed establishes a person's legal right to the ownership of real property. “a deed is a legal document used to confirm or convey the ownership rights to a property,” explains anne rizzo of amrock, the title. It serves as proof that the transfer has occurred and provides a legal record of the transaction. The title is someone’s right to legal ownership and use of a property, including the right to sell it. A deed is the physical document that passes those ownership rights from seller to buyer and is usually recorded with the courthouse or assessor’s office.
How To Change Name On House Deed In Texas at Kyle Rahman blog
What Is The Purpose Of A Deed In Real Estate For each property, a deed establishes a person's legal right to the ownership of real property. A deed can also transfer property. “a deed is a legal document used to confirm or convey the ownership rights to a property,” explains anne rizzo of amrock, the title. It serves as proof that the transfer has occurred and provides a legal record of the transaction. Lyle solomon, principal attorney at oak view law group in rocklin, california, explains the significant purpose of a property deed. What is the purpose of a property deed? The title is someone’s right to legal ownership and use of a property, including the right to sell it. For each property, a deed establishes a person's legal right to the ownership of real property. A deed is a legal document that transfers ownership of a property from one party to another. A deed is the physical document that passes those ownership rights from seller to buyer and is usually recorded with the courthouse or assessor’s office.
From www.scribd.com
Sample Deed of Sale PDF Real Estate Law Sales What Is The Purpose Of A Deed In Real Estate A deed can also transfer property. For each property, a deed establishes a person's legal right to the ownership of real property. It serves as proof that the transfer has occurred and provides a legal record of the transaction. A deed is a legal document that transfers ownership of a property from one party to another. Lyle solomon, principal attorney. What Is The Purpose Of A Deed In Real Estate.
From www.orangecountyestateplanninglawyer-blog.com
Deeds to Real Estate — Orange County Estate Planning Lawyer Blog What Is The Purpose Of A Deed In Real Estate “a deed is a legal document used to confirm or convey the ownership rights to a property,” explains anne rizzo of amrock, the title. For each property, a deed establishes a person's legal right to the ownership of real property. A deed is a legal document that transfers ownership of a property from one party to another. A deed is. What Is The Purpose Of A Deed In Real Estate.
From www.wordtemplatesonline.net
Free Grant Deed Forms (Edit & Print) Word PDF What Is The Purpose Of A Deed In Real Estate It serves as proof that the transfer has occurred and provides a legal record of the transaction. What is the purpose of a property deed? Lyle solomon, principal attorney at oak view law group in rocklin, california, explains the significant purpose of a property deed. The title is someone’s right to legal ownership and use of a property, including the. What Is The Purpose Of A Deed In Real Estate.
From esign.com
Free Deed of Trust Form PDF Word What Is The Purpose Of A Deed In Real Estate A deed is the physical document that passes those ownership rights from seller to buyer and is usually recorded with the courthouse or assessor’s office. Lyle solomon, principal attorney at oak view law group in rocklin, california, explains the significant purpose of a property deed. For each property, a deed establishes a person's legal right to the ownership of real. What Is The Purpose Of A Deed In Real Estate.
From in.pinterest.com
What is Gift Deed in Real Estate? Team Aman Chawla in 2023 Real What Is The Purpose Of A Deed In Real Estate The title is someone’s right to legal ownership and use of a property, including the right to sell it. What is the purpose of a property deed? “a deed is a legal document used to confirm or convey the ownership rights to a property,” explains anne rizzo of amrock, the title. A deed can also transfer property. A deed is. What Is The Purpose Of A Deed In Real Estate.
From www.scribd.com
Deed Of Exchange Of Real Property Deed Property What Is The Purpose Of A Deed In Real Estate A deed is the physical document that passes those ownership rights from seller to buyer and is usually recorded with the courthouse or assessor’s office. For each property, a deed establishes a person's legal right to the ownership of real property. It serves as proof that the transfer has occurred and provides a legal record of the transaction. A deed. What Is The Purpose Of A Deed In Real Estate.
From www.scribd.com
Deed of Sale of Real Estate With Assumption of Mortgage PDF What Is The Purpose Of A Deed In Real Estate A deed is a legal document that transfers ownership of a property from one party to another. What is the purpose of a property deed? Lyle solomon, principal attorney at oak view law group in rocklin, california, explains the significant purpose of a property deed. “a deed is a legal document used to confirm or convey the ownership rights to. What Is The Purpose Of A Deed In Real Estate.
From templates.legal
Mississippi Deed Forms & Template (Free) [Word, PDF, ODT] What Is The Purpose Of A Deed In Real Estate Lyle solomon, principal attorney at oak view law group in rocklin, california, explains the significant purpose of a property deed. It serves as proof that the transfer has occurred and provides a legal record of the transaction. The title is someone’s right to legal ownership and use of a property, including the right to sell it. A deed is the. What Is The Purpose Of A Deed In Real Estate.
From www.magicbricks.com
Sale Deed Meaning, Format, and Components of a Sale Deed What Is The Purpose Of A Deed In Real Estate A deed can also transfer property. A deed is a legal document that transfers ownership of a property from one party to another. The title is someone’s right to legal ownership and use of a property, including the right to sell it. It serves as proof that the transfer has occurred and provides a legal record of the transaction. Lyle. What Is The Purpose Of A Deed In Real Estate.
From infotracer.com
What is Deed of Property? Types and Differences What Is The Purpose Of A Deed In Real Estate Lyle solomon, principal attorney at oak view law group in rocklin, california, explains the significant purpose of a property deed. For each property, a deed establishes a person's legal right to the ownership of real property. A deed is the physical document that passes those ownership rights from seller to buyer and is usually recorded with the courthouse or assessor’s. What Is The Purpose Of A Deed In Real Estate.
From www.scribd.com
Deed of Absolute Sale of Real Property in a More Elaborate Form.pdf What Is The Purpose Of A Deed In Real Estate It serves as proof that the transfer has occurred and provides a legal record of the transaction. A deed is the physical document that passes those ownership rights from seller to buyer and is usually recorded with the courthouse or assessor’s office. For each property, a deed establishes a person's legal right to the ownership of real property. What is. What Is The Purpose Of A Deed In Real Estate.
From www.signnow.com
Real Estate Deed Forms Downloadable Fill in the Blank Fill Out and What Is The Purpose Of A Deed In Real Estate A deed is the physical document that passes those ownership rights from seller to buyer and is usually recorded with the courthouse or assessor’s office. “a deed is a legal document used to confirm or convey the ownership rights to a property,” explains anne rizzo of amrock, the title. What is the purpose of a property deed? It serves as. What Is The Purpose Of A Deed In Real Estate.
From www.youtube.com
What is a Deed in real estate? YouTube What Is The Purpose Of A Deed In Real Estate A deed can also transfer property. A deed is the physical document that passes those ownership rights from seller to buyer and is usually recorded with the courthouse or assessor’s office. What is the purpose of a property deed? The title is someone’s right to legal ownership and use of a property, including the right to sell it. For each. What Is The Purpose Of A Deed In Real Estate.
From www.underwood.law
What is a Deed? — California Partition Law Blog — April 26, 2023 What Is The Purpose Of A Deed In Real Estate “a deed is a legal document used to confirm or convey the ownership rights to a property,” explains anne rizzo of amrock, the title. Lyle solomon, principal attorney at oak view law group in rocklin, california, explains the significant purpose of a property deed. A deed is a legal document that transfers ownership of a property from one party to. What Is The Purpose Of A Deed In Real Estate.
From www.facebook.com
What is Title Deed in Real Estate?... The Great Hyderabad What Is The Purpose Of A Deed In Real Estate A deed is the physical document that passes those ownership rights from seller to buyer and is usually recorded with the courthouse or assessor’s office. For each property, a deed establishes a person's legal right to the ownership of real property. A deed can also transfer property. “a deed is a legal document used to confirm or convey the ownership. What Is The Purpose Of A Deed In Real Estate.
From templates.legal
California Deed Forms & Templates (Free) [Word, PDF, ODT] What Is The Purpose Of A Deed In Real Estate A deed can also transfer property. Lyle solomon, principal attorney at oak view law group in rocklin, california, explains the significant purpose of a property deed. What is the purpose of a property deed? For each property, a deed establishes a person's legal right to the ownership of real property. A deed is the physical document that passes those ownership. What Is The Purpose Of A Deed In Real Estate.
From www.business-in-a-box.com
Deed of Sale Real Estate Property Template by BusinessinaBox™ What Is The Purpose Of A Deed In Real Estate A deed is the physical document that passes those ownership rights from seller to buyer and is usually recorded with the courthouse or assessor’s office. For each property, a deed establishes a person's legal right to the ownership of real property. “a deed is a legal document used to confirm or convey the ownership rights to a property,” explains anne. What Is The Purpose Of A Deed In Real Estate.
From www.template.net
Editable Real Estate Deed Template Google Docs, Word, Apple Pages What Is The Purpose Of A Deed In Real Estate “a deed is a legal document used to confirm or convey the ownership rights to a property,” explains anne rizzo of amrock, the title. The title is someone’s right to legal ownership and use of a property, including the right to sell it. For each property, a deed establishes a person's legal right to the ownership of real property. What. What Is The Purpose Of A Deed In Real Estate.
From www.formsbirds.com
Form of Mortgage Deed Free Download What Is The Purpose Of A Deed In Real Estate What is the purpose of a property deed? A deed can also transfer property. A deed is a legal document that transfers ownership of a property from one party to another. For each property, a deed establishes a person's legal right to the ownership of real property. It serves as proof that the transfer has occurred and provides a legal. What Is The Purpose Of A Deed In Real Estate.
From thestorckteam.com
What Is A Deed In Real Estate? Real Estate Deeds Explained What Is The Purpose Of A Deed In Real Estate Lyle solomon, principal attorney at oak view law group in rocklin, california, explains the significant purpose of a property deed. A deed can also transfer property. A deed is a legal document that transfers ownership of a property from one party to another. For each property, a deed establishes a person's legal right to the ownership of real property. “a. What Is The Purpose Of A Deed In Real Estate.
From www.thebalancemoney.com
How to Use a TransferonDeath Deed to Avoid Probate What Is The Purpose Of A Deed In Real Estate The title is someone’s right to legal ownership and use of a property, including the right to sell it. “a deed is a legal document used to confirm or convey the ownership rights to a property,” explains anne rizzo of amrock, the title. For each property, a deed establishes a person's legal right to the ownership of real property. A. What Is The Purpose Of A Deed In Real Estate.
From www.youtube.com
Purpose of Deed What is a Deed Meaning of Deed Title Deed Deed What Is The Purpose Of A Deed In Real Estate A deed can also transfer property. What is the purpose of a property deed? A deed is a legal document that transfers ownership of a property from one party to another. It serves as proof that the transfer has occurred and provides a legal record of the transaction. Lyle solomon, principal attorney at oak view law group in rocklin, california,. What Is The Purpose Of A Deed In Real Estate.
From www.scribd.com
Deed of Real Estate Mortgage Mortgage Law Land Law What Is The Purpose Of A Deed In Real Estate For each property, a deed establishes a person's legal right to the ownership of real property. A deed can also transfer property. What is the purpose of a property deed? A deed is a legal document that transfers ownership of a property from one party to another. The title is someone’s right to legal ownership and use of a property,. What Is The Purpose Of A Deed In Real Estate.
From www.propertyok.com
What is Rectification Deed in Real Estate? What Is The Purpose Of A Deed In Real Estate What is the purpose of a property deed? Lyle solomon, principal attorney at oak view law group in rocklin, california, explains the significant purpose of a property deed. The title is someone’s right to legal ownership and use of a property, including the right to sell it. It serves as proof that the transfer has occurred and provides a legal. What Is The Purpose Of A Deed In Real Estate.
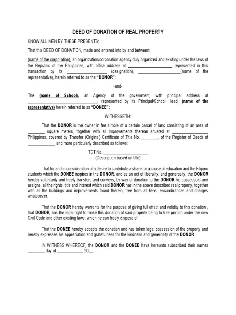
From www.scribd.com
Deed of Donation of Real Property PDF Deed Natural Resources Law What Is The Purpose Of A Deed In Real Estate What is the purpose of a property deed? A deed is the physical document that passes those ownership rights from seller to buyer and is usually recorded with the courthouse or assessor’s office. “a deed is a legal document used to confirm or convey the ownership rights to a property,” explains anne rizzo of amrock, the title. The title is. What Is The Purpose Of A Deed In Real Estate.
From www.rhodeslaw.com
The Basics of a Real Estate Deed Rhodes Law What Is The Purpose Of A Deed In Real Estate What is the purpose of a property deed? A deed is a legal document that transfers ownership of a property from one party to another. The title is someone’s right to legal ownership and use of a property, including the right to sell it. For each property, a deed establishes a person's legal right to the ownership of real property.. What Is The Purpose Of A Deed In Real Estate.
From giozcpayz.blob.core.windows.net
How To Change Name On House Deed In Texas at Kyle Rahman blog What Is The Purpose Of A Deed In Real Estate A deed is a legal document that transfers ownership of a property from one party to another. “a deed is a legal document used to confirm or convey the ownership rights to a property,” explains anne rizzo of amrock, the title. Lyle solomon, principal attorney at oak view law group in rocklin, california, explains the significant purpose of a property. What Is The Purpose Of A Deed In Real Estate.
From www.template.net
Real Estate Ownership Deed Template Google Docs, Word, Apple Pages What Is The Purpose Of A Deed In Real Estate It serves as proof that the transfer has occurred and provides a legal record of the transaction. A deed is the physical document that passes those ownership rights from seller to buyer and is usually recorded with the courthouse or assessor’s office. “a deed is a legal document used to confirm or convey the ownership rights to a property,” explains. What Is The Purpose Of A Deed In Real Estate.
From exprealty.com
Deed vs. Title What Is the Real Difference? eXp Realty® What Is The Purpose Of A Deed In Real Estate A deed is the physical document that passes those ownership rights from seller to buyer and is usually recorded with the courthouse or assessor’s office. “a deed is a legal document used to confirm or convey the ownership rights to a property,” explains anne rizzo of amrock, the title. A deed is a legal document that transfers ownership of a. What Is The Purpose Of A Deed In Real Estate.
From curbelolaw.com
NJ property deed What you need to know in 2024 Curbelo Law What Is The Purpose Of A Deed In Real Estate Lyle solomon, principal attorney at oak view law group in rocklin, california, explains the significant purpose of a property deed. What is the purpose of a property deed? A deed is the physical document that passes those ownership rights from seller to buyer and is usually recorded with the courthouse or assessor’s office. The title is someone’s right to legal. What Is The Purpose Of A Deed In Real Estate.
From www.template.net
Property Deed Template Google Docs, Word What Is The Purpose Of A Deed In Real Estate A deed is a legal document that transfers ownership of a property from one party to another. Lyle solomon, principal attorney at oak view law group in rocklin, california, explains the significant purpose of a property deed. A deed can also transfer property. “a deed is a legal document used to confirm or convey the ownership rights to a property,”. What Is The Purpose Of A Deed In Real Estate.
From www.scribd.com
Deed of Sale of Real Property Deed Property Law What Is The Purpose Of A Deed In Real Estate It serves as proof that the transfer has occurred and provides a legal record of the transaction. The title is someone’s right to legal ownership and use of a property, including the right to sell it. A deed can also transfer property. “a deed is a legal document used to confirm or convey the ownership rights to a property,” explains. What Is The Purpose Of A Deed In Real Estate.
From www.orangecountyestateplanninglawyer-blog.com
Deeds to Real Estate — Orange County Estate Planning Lawyer Blog What Is The Purpose Of A Deed In Real Estate A deed can also transfer property. For each property, a deed establishes a person's legal right to the ownership of real property. What is the purpose of a property deed? “a deed is a legal document used to confirm or convey the ownership rights to a property,” explains anne rizzo of amrock, the title. A deed is a legal document. What Is The Purpose Of A Deed In Real Estate.
From www.dochub.com
Life estate deed montana Fill out & sign online DocHub What Is The Purpose Of A Deed In Real Estate A deed is the physical document that passes those ownership rights from seller to buyer and is usually recorded with the courthouse or assessor’s office. “a deed is a legal document used to confirm or convey the ownership rights to a property,” explains anne rizzo of amrock, the title. For each property, a deed establishes a person's legal right to. What Is The Purpose Of A Deed In Real Estate.
From kobhxe7workshopfix.z14.web.core.windows.net
What Is A Title Number Of A Property What Is The Purpose Of A Deed In Real Estate What is the purpose of a property deed? “a deed is a legal document used to confirm or convey the ownership rights to a property,” explains anne rizzo of amrock, the title. For each property, a deed establishes a person's legal right to the ownership of real property. A deed is a legal document that transfers ownership of a property. What Is The Purpose Of A Deed In Real Estate.