Electrical Components List With Images Pdf . All electronic devices are built from basic. Circuit symbols are used in circuit diagrams which show how a circuit is connected together. This list with photos of common electronic. We would like to show you a description here but the site won’t allow us. Seymour msee it is the intention of this course to teach the. It lists 20 common electronic components, including their symbols and basic functions. List of types of basic electronic components, functions, symbols. Learn how the basic electronic components work so that circuit diagrams will start making sense to you. The components described include diodes, leds,. Learn to identify and know the primary features of the common electronics components. The actual layout of the components is usually.
from www.scribd.com
The components described include diodes, leds,. This list with photos of common electronic. Circuit symbols are used in circuit diagrams which show how a circuit is connected together. We would like to show you a description here but the site won’t allow us. Seymour msee it is the intention of this course to teach the. Learn how the basic electronic components work so that circuit diagrams will start making sense to you. It lists 20 common electronic components, including their symbols and basic functions. Learn to identify and know the primary features of the common electronics components. All electronic devices are built from basic. List of types of basic electronic components, functions, symbols.
Electrical Part List PDF Electronics Electrical Engineering
Electrical Components List With Images Pdf The components described include diodes, leds,. Seymour msee it is the intention of this course to teach the. List of types of basic electronic components, functions, symbols. Learn to identify and know the primary features of the common electronics components. All electronic devices are built from basic. This list with photos of common electronic. Circuit symbols are used in circuit diagrams which show how a circuit is connected together. Learn how the basic electronic components work so that circuit diagrams will start making sense to you. We would like to show you a description here but the site won’t allow us. The actual layout of the components is usually. The components described include diodes, leds,. It lists 20 common electronic components, including their symbols and basic functions.
From www.scribd.com
List Electrical Electric Power Components Electrical Components List With Images Pdf Learn how the basic electronic components work so that circuit diagrams will start making sense to you. Learn to identify and know the primary features of the common electronics components. List of types of basic electronic components, functions, symbols. Circuit symbols are used in circuit diagrams which show how a circuit is connected together. We would like to show you. Electrical Components List With Images Pdf.
From diagramdiagrammike123.z13.web.core.windows.net
Electrical Components In A Circuit Electrical Components List With Images Pdf Learn how the basic electronic components work so that circuit diagrams will start making sense to you. This list with photos of common electronic. Circuit symbols are used in circuit diagrams which show how a circuit is connected together. Learn to identify and know the primary features of the common electronics components. The components described include diodes, leds,. The actual. Electrical Components List With Images Pdf.
From www.pinterest.com
Basic Electronics Component list Electronics components, Electronics Electrical Components List With Images Pdf Learn how the basic electronic components work so that circuit diagrams will start making sense to you. All electronic devices are built from basic. The components described include diodes, leds,. It lists 20 common electronic components, including their symbols and basic functions. List of types of basic electronic components, functions, symbols. Learn to identify and know the primary features of. Electrical Components List With Images Pdf.
From www.ultralibrarian.com
Electronic Component Lists and Schematic Symbols Free Online PCB CAD Electrical Components List With Images Pdf Learn to identify and know the primary features of the common electronics components. We would like to show you a description here but the site won’t allow us. All electronic devices are built from basic. Seymour msee it is the intention of this course to teach the. Learn how the basic electronic components work so that circuit diagrams will start. Electrical Components List With Images Pdf.
From wiremanualmark.z21.web.core.windows.net
Electrical Control Panel Components List Pdf Electrical Components List With Images Pdf Learn to identify and know the primary features of the common electronics components. Seymour msee it is the intention of this course to teach the. All electronic devices are built from basic. This list with photos of common electronic. We would like to show you a description here but the site won’t allow us. Learn how the basic electronic components. Electrical Components List With Images Pdf.
From www.protoexpress.com
Basic Electronic Components Sierra Circuits Electrical Components List With Images Pdf We would like to show you a description here but the site won’t allow us. List of types of basic electronic components, functions, symbols. The actual layout of the components is usually. Learn how the basic electronic components work so that circuit diagrams will start making sense to you. Learn to identify and know the primary features of the common. Electrical Components List With Images Pdf.
From www.etechnog.com
Most Important Electrical Symbols and Diagrams ETechnoG Electrical Components List With Images Pdf We would like to show you a description here but the site won’t allow us. Circuit symbols are used in circuit diagrams which show how a circuit is connected together. It lists 20 common electronic components, including their symbols and basic functions. List of types of basic electronic components, functions, symbols. The actual layout of the components is usually. This. Electrical Components List With Images Pdf.
From www.scribd.com
Electrical Parts List PDF Electrical Components List With Images Pdf It lists 20 common electronic components, including their symbols and basic functions. We would like to show you a description here but the site won’t allow us. List of types of basic electronic components, functions, symbols. This list with photos of common electronic. The actual layout of the components is usually. The components described include diodes, leds,. Learn to identify. Electrical Components List With Images Pdf.
From electrical-engineering-pics.blogspot.com
Schematic symbols for common electronics and electrical components Electrical Components List With Images Pdf Seymour msee it is the intention of this course to teach the. All electronic devices are built from basic. Learn to identify and know the primary features of the common electronics components. The components described include diodes, leds,. This list with photos of common electronic. List of types of basic electronic components, functions, symbols. Circuit symbols are used in circuit. Electrical Components List With Images Pdf.
From www.electricaltechnology.org
Basic & Important Electrical Symbols and Electronic Symbols Electrical Components List With Images Pdf List of types of basic electronic components, functions, symbols. Seymour msee it is the intention of this course to teach the. We would like to show you a description here but the site won’t allow us. It lists 20 common electronic components, including their symbols and basic functions. Circuit symbols are used in circuit diagrams which show how a circuit. Electrical Components List With Images Pdf.
From www.scribd.com
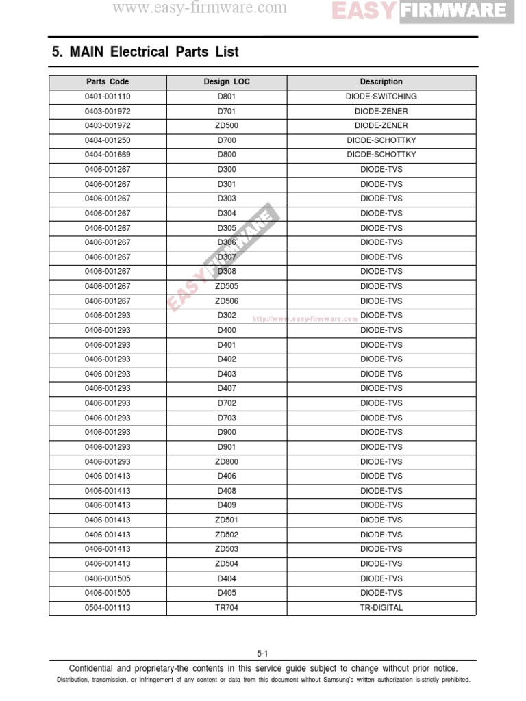
Main Electrical Parts List for Easy Firmware Document PDF Computing Electrical Components List With Images Pdf List of types of basic electronic components, functions, symbols. Seymour msee it is the intention of this course to teach the. We would like to show you a description here but the site won’t allow us. Learn how the basic electronic components work so that circuit diagrams will start making sense to you. Learn to identify and know the primary. Electrical Components List With Images Pdf.
From www.scribd.com
E1268610009052 07 Electrical Components List PDF Transformer Electrical Components List With Images Pdf It lists 20 common electronic components, including their symbols and basic functions. Seymour msee it is the intention of this course to teach the. The components described include diodes, leds,. Circuit symbols are used in circuit diagrams which show how a circuit is connected together. Learn how the basic electronic components work so that circuit diagrams will start making sense. Electrical Components List With Images Pdf.
From fakhristeps.blogspot.com
What Are The Key Components Of Electrical Circuits? Fakhri Steps Electrical Components List With Images Pdf List of types of basic electronic components, functions, symbols. We would like to show you a description here but the site won’t allow us. It lists 20 common electronic components, including their symbols and basic functions. Seymour msee it is the intention of this course to teach the. This list with photos of common electronic. The components described include diodes,. Electrical Components List With Images Pdf.
From reviewmotors.co
Home Electrical Parts Name Reviewmotors.co Electrical Components List With Images Pdf Learn to identify and know the primary features of the common electronics components. It lists 20 common electronic components, including their symbols and basic functions. List of types of basic electronic components, functions, symbols. The components described include diodes, leds,. Learn how the basic electronic components work so that circuit diagrams will start making sense to you. Seymour msee it. Electrical Components List With Images Pdf.
From manualzz.com
6. MAIN Electrical Parts List Manualzz Electrical Components List With Images Pdf Seymour msee it is the intention of this course to teach the. Circuit symbols are used in circuit diagrams which show how a circuit is connected together. All electronic devices are built from basic. This list with photos of common electronic. List of types of basic electronic components, functions, symbols. The components described include diodes, leds,. Learn to identify and. Electrical Components List With Images Pdf.
From www.makerspaces.com
Introduction to Basic Electronics, Electronic Components and Projects Electrical Components List With Images Pdf All electronic devices are built from basic. Learn to identify and know the primary features of the common electronics components. We would like to show you a description here but the site won’t allow us. It lists 20 common electronic components, including their symbols and basic functions. Circuit symbols are used in circuit diagrams which show how a circuit is. Electrical Components List With Images Pdf.
From www.scribd.com
MAIN Electrical Parts List (SMA750FN) PDF Computer Engineering Electrical Components List With Images Pdf We would like to show you a description here but the site won’t allow us. All electronic devices are built from basic. This list with photos of common electronic. Seymour msee it is the intention of this course to teach the. The actual layout of the components is usually. Circuit symbols are used in circuit diagrams which show how a. Electrical Components List With Images Pdf.
From www.scribd.com
electrical parts list PDF Electrical Components List With Images Pdf The actual layout of the components is usually. Circuit symbols are used in circuit diagrams which show how a circuit is connected together. Learn to identify and know the primary features of the common electronics components. Seymour msee it is the intention of this course to teach the. We would like to show you a description here but the site. Electrical Components List With Images Pdf.
From www.ultralibrarian.com
Essentials Around the Most Common Electronic Components Free Online Electrical Components List With Images Pdf List of types of basic electronic components, functions, symbols. This list with photos of common electronic. The components described include diodes, leds,. Learn how the basic electronic components work so that circuit diagrams will start making sense to you. All electronic devices are built from basic. Learn to identify and know the primary features of the common electronics components. Circuit. Electrical Components List With Images Pdf.
From reviewmotors.co
Home Electrical Parts Name Reviewmotors.co Electrical Components List With Images Pdf Seymour msee it is the intention of this course to teach the. Learn to identify and know the primary features of the common electronics components. This list with photos of common electronic. It lists 20 common electronic components, including their symbols and basic functions. We would like to show you a description here but the site won’t allow us. The. Electrical Components List With Images Pdf.
From www.componentsengineering.com
Components Component Engineering Consultants Electrical Components List With Images Pdf All electronic devices are built from basic. Learn to identify and know the primary features of the common electronics components. We would like to show you a description here but the site won’t allow us. Circuit symbols are used in circuit diagrams which show how a circuit is connected together. It lists 20 common electronic components, including their symbols and. Electrical Components List With Images Pdf.
From reviewmotors.co
Home Electrical Parts Name Reviewmotors.co Electrical Components List With Images Pdf Circuit symbols are used in circuit diagrams which show how a circuit is connected together. The actual layout of the components is usually. This list with photos of common electronic. It lists 20 common electronic components, including their symbols and basic functions. The components described include diodes, leds,. Learn to identify and know the primary features of the common electronics. Electrical Components List With Images Pdf.
From www.scribd.com
Electrical Parts List PDF Electricity Electrical Engineering Electrical Components List With Images Pdf List of types of basic electronic components, functions, symbols. Learn to identify and know the primary features of the common electronics components. It lists 20 common electronic components, including their symbols and basic functions. We would like to show you a description here but the site won’t allow us. Learn how the basic electronic components work so that circuit diagrams. Electrical Components List With Images Pdf.
From webmotor.org
Electrical Spare Parts List Pdf Electrical Components List With Images Pdf Learn to identify and know the primary features of the common electronics components. We would like to show you a description here but the site won’t allow us. Seymour msee it is the intention of this course to teach the. Circuit symbols are used in circuit diagrams which show how a circuit is connected together. The components described include diodes,. Electrical Components List With Images Pdf.
From es.scribd.com
Electrical Part List Computer Data Electronics Electrical Components List With Images Pdf The components described include diodes, leds,. Learn to identify and know the primary features of the common electronics components. This list with photos of common electronic. Learn how the basic electronic components work so that circuit diagrams will start making sense to you. We would like to show you a description here but the site won’t allow us. List of. Electrical Components List With Images Pdf.
From enginerileybannerol.z21.web.core.windows.net
List Of Circuit Components Electrical Components List With Images Pdf Learn to identify and know the primary features of the common electronics components. Seymour msee it is the intention of this course to teach the. It lists 20 common electronic components, including their symbols and basic functions. The actual layout of the components is usually. Circuit symbols are used in circuit diagrams which show how a circuit is connected together.. Electrical Components List With Images Pdf.
From studentscvesd.blogspot.com
electrical wiring materials list pdf studentscvesd Electrical Components List With Images Pdf List of types of basic electronic components, functions, symbols. We would like to show you a description here but the site won’t allow us. Circuit symbols are used in circuit diagrams which show how a circuit is connected together. The actual layout of the components is usually. This list with photos of common electronic. All electronic devices are built from. Electrical Components List With Images Pdf.
From www.electronicsandyou.com
Electronic Components Function Basic Components / Parts & Function Electrical Components List With Images Pdf This list with photos of common electronic. All electronic devices are built from basic. Seymour msee it is the intention of this course to teach the. The actual layout of the components is usually. Learn to identify and know the primary features of the common electronics components. It lists 20 common electronic components, including their symbols and basic functions. The. Electrical Components List With Images Pdf.
From diagrammanualgroom.z5.web.core.windows.net
What Are The Basic Components Of An Electric Circuit Electrical Components List With Images Pdf List of types of basic electronic components, functions, symbols. The components described include diodes, leds,. Seymour msee it is the intention of this course to teach the. Learn how the basic electronic components work so that circuit diagrams will start making sense to you. Learn to identify and know the primary features of the common electronics components. This list with. Electrical Components List With Images Pdf.
From manualdiagramausterlitz.z19.web.core.windows.net
Electrical Components Schematic Symbols Electrical Components List With Images Pdf Learn to identify and know the primary features of the common electronics components. Learn how the basic electronic components work so that circuit diagrams will start making sense to you. The components described include diodes, leds,. Circuit symbols are used in circuit diagrams which show how a circuit is connected together. It lists 20 common electronic components, including their symbols. Electrical Components List With Images Pdf.
From mytech2u.blogspot.com
Electronic Components and their Symbols NEW TECH Electrical Components List With Images Pdf All electronic devices are built from basic. This list with photos of common electronic. Seymour msee it is the intention of this course to teach the. Learn how the basic electronic components work so that circuit diagrams will start making sense to you. The components described include diodes, leds,. It lists 20 common electronic components, including their symbols and basic. Electrical Components List With Images Pdf.
From www.hackatronic.com
Electronics Components Type and Explanation Electrical Components List With Images Pdf Circuit symbols are used in circuit diagrams which show how a circuit is connected together. All electronic devices are built from basic. We would like to show you a description here but the site won’t allow us. Learn how the basic electronic components work so that circuit diagrams will start making sense to you. It lists 20 common electronic components,. Electrical Components List With Images Pdf.
From fixdataallyson99.z19.web.core.windows.net
Electrical Components Pdf Electrical Components List With Images Pdf This list with photos of common electronic. Learn to identify and know the primary features of the common electronics components. Seymour msee it is the intention of this course to teach the. Learn how the basic electronic components work so that circuit diagrams will start making sense to you. We would like to show you a description here but the. Electrical Components List With Images Pdf.
From schematicdiagramglocer.z19.web.core.windows.net
Basic Electrical Circuit Diagram Pdf Electrical Components List With Images Pdf It lists 20 common electronic components, including their symbols and basic functions. The components described include diodes, leds,. This list with photos of common electronic. Learn to identify and know the primary features of the common electronics components. List of types of basic electronic components, functions, symbols. Learn how the basic electronic components work so that circuit diagrams will start. Electrical Components List With Images Pdf.
From www.scribd.com
Electrical Part List PDF Electronics Electrical Engineering Electrical Components List With Images Pdf Learn to identify and know the primary features of the common electronics components. Seymour msee it is the intention of this course to teach the. This list with photos of common electronic. It lists 20 common electronic components, including their symbols and basic functions. Learn how the basic electronic components work so that circuit diagrams will start making sense to. Electrical Components List With Images Pdf.