Darlington Transistor Impedance . Darlington pair amplifier circuit is a connection of two transistors that acts as a single unit with an overall current gain equal to the multiplication of the individual current gains of the The darlington transistor operates by cascading two transistors, typically of the. It offers a very high input impedance or good impedance transformation that it can alter a high impedance input or source to low impedance load. The current gain of a darlington pair is significantly higher than that of standard transistors, making it ideal for applications. I want to calculate the input impedance when i am using a darlington pair and i'm getting a little confused on the appropriate equation to use. These can be made by two separate transistors or comes with a single package. How does a darlington transistor work? What is a darlington pair transistor amplifier? It means darlington amplifier behaves like a single transistor having current gain equal to β 2. In electronic devices by floyd he. A darlington transistor is a semiconductor device that pairs two bjts to achieve a very high current gain, functioning as a unified component.
from skemasupergalaxy.blogspot.com
In electronic devices by floyd he. I want to calculate the input impedance when i am using a darlington pair and i'm getting a little confused on the appropriate equation to use. What is a darlington pair transistor amplifier? The darlington transistor operates by cascading two transistors, typically of the. Darlington pair amplifier circuit is a connection of two transistors that acts as a single unit with an overall current gain equal to the multiplication of the individual current gains of the It means darlington amplifier behaves like a single transistor having current gain equal to β 2. The current gain of a darlington pair is significantly higher than that of standard transistors, making it ideal for applications. These can be made by two separate transistors or comes with a single package. It offers a very high input impedance or good impedance transformation that it can alter a high impedance input or source to low impedance load. How does a darlington transistor work?
Tren Gaya 35+ Darlington Transistor
Darlington Transistor Impedance I want to calculate the input impedance when i am using a darlington pair and i'm getting a little confused on the appropriate equation to use. I want to calculate the input impedance when i am using a darlington pair and i'm getting a little confused on the appropriate equation to use. It means darlington amplifier behaves like a single transistor having current gain equal to β 2. The darlington transistor operates by cascading two transistors, typically of the. These can be made by two separate transistors or comes with a single package. In electronic devices by floyd he. A darlington transistor is a semiconductor device that pairs two bjts to achieve a very high current gain, functioning as a unified component. The current gain of a darlington pair is significantly higher than that of standard transistors, making it ideal for applications. How does a darlington transistor work? It offers a very high input impedance or good impedance transformation that it can alter a high impedance input or source to low impedance load. Darlington pair amplifier circuit is a connection of two transistors that acts as a single unit with an overall current gain equal to the multiplication of the individual current gains of the What is a darlington pair transistor amplifier?
From www.vrogue.co
Darlington Transistor Impedance vrogue.co Darlington Transistor Impedance The darlington transistor operates by cascading two transistors, typically of the. It offers a very high input impedance or good impedance transformation that it can alter a high impedance input or source to low impedance load. The current gain of a darlington pair is significantly higher than that of standard transistors, making it ideal for applications. How does a darlington. Darlington Transistor Impedance.
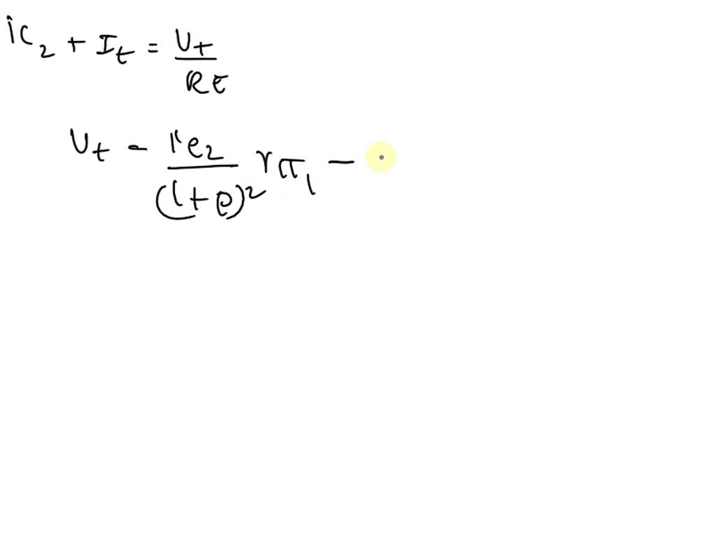
From amicalegc-0607.blogspot.com
☑ Darlington Transistor Array Arduino Darlington Transistor Impedance It offers a very high input impedance or good impedance transformation that it can alter a high impedance input or source to low impedance load. It means darlington amplifier behaves like a single transistor having current gain equal to β 2. I want to calculate the input impedance when i am using a darlington pair and i'm getting a little. Darlington Transistor Impedance.
From sanignacio.gob.mx
日立 2SB1106 ダーリントントランジスタ [4個組](b) トランジスタ sanignacio.gob.mx Darlington Transistor Impedance In electronic devices by floyd he. What is a darlington pair transistor amplifier? A darlington transistor is a semiconductor device that pairs two bjts to achieve a very high current gain, functioning as a unified component. I want to calculate the input impedance when i am using a darlington pair and i'm getting a little confused on the appropriate equation. Darlington Transistor Impedance.
From itecnotes.com
Darlington Pair Determining Input Impedance Valuable Tech Notes Darlington Transistor Impedance The current gain of a darlington pair is significantly higher than that of standard transistors, making it ideal for applications. It offers a very high input impedance or good impedance transformation that it can alter a high impedance input or source to low impedance load. The darlington transistor operates by cascading two transistors, typically of the. It means darlington amplifier. Darlington Transistor Impedance.
From slideplayer.com
Bipolar Junction Transistor Amplifier ppt download Darlington Transistor Impedance It means darlington amplifier behaves like a single transistor having current gain equal to β 2. How does a darlington transistor work? Darlington pair amplifier circuit is a connection of two transistors that acts as a single unit with an overall current gain equal to the multiplication of the individual current gains of the In electronic devices by floyd he.. Darlington Transistor Impedance.
From www.vrogue.co
Darlington Transistor Impedance vrogue.co Darlington Transistor Impedance I want to calculate the input impedance when i am using a darlington pair and i'm getting a little confused on the appropriate equation to use. It means darlington amplifier behaves like a single transistor having current gain equal to β 2. In electronic devices by floyd he. It offers a very high input impedance or good impedance transformation that. Darlington Transistor Impedance.
From www.youtube.com
Darlington Pair Explained The Darlington Pair as a Switch YouTube Darlington Transistor Impedance The current gain of a darlington pair is significantly higher than that of standard transistors, making it ideal for applications. The darlington transistor operates by cascading two transistors, typically of the. These can be made by two separate transistors or comes with a single package. What is a darlington pair transistor amplifier? It means darlington amplifier behaves like a single. Darlington Transistor Impedance.
From www.vrogue.co
Darlington Transistor Impedance vrogue.co Darlington Transistor Impedance Darlington pair amplifier circuit is a connection of two transistors that acts as a single unit with an overall current gain equal to the multiplication of the individual current gains of the These can be made by two separate transistors or comes with a single package. In electronic devices by floyd he. I want to calculate the input impedance when. Darlington Transistor Impedance.
From www.chegg.com
Solved Determine the input impedance, output impedance, Darlington Transistor Impedance It means darlington amplifier behaves like a single transistor having current gain equal to β 2. It offers a very high input impedance or good impedance transformation that it can alter a high impedance input or source to low impedance load. What is a darlington pair transistor amplifier? These can be made by two separate transistors or comes with a. Darlington Transistor Impedance.
From detail-infomation.com
【ダーリントントランジスタとは】『hFEの導出方法』などを解説! Darlington Transistor Impedance The current gain of a darlington pair is significantly higher than that of standard transistors, making it ideal for applications. It means darlington amplifier behaves like a single transistor having current gain equal to β 2. In electronic devices by floyd he. These can be made by two separate transistors or comes with a single package. What is a darlington. Darlington Transistor Impedance.
From leantec.es
Transistor TIP120 DARLINGTON NPN 60V 5A TRANSISTOR TO220 Leantec.ES Darlington Transistor Impedance It means darlington amplifier behaves like a single transistor having current gain equal to β 2. In electronic devices by floyd he. How does a darlington transistor work? I want to calculate the input impedance when i am using a darlington pair and i'm getting a little confused on the appropriate equation to use. These can be made by two. Darlington Transistor Impedance.
From www.numerade.com
SOLVED The following configuration of NPNs is known as a Darlington Darlington Transistor Impedance The darlington transistor operates by cascading two transistors, typically of the. What is a darlington pair transistor amplifier? I want to calculate the input impedance when i am using a darlington pair and i'm getting a little confused on the appropriate equation to use. It offers a very high input impedance or good impedance transformation that it can alter a. Darlington Transistor Impedance.
From www.buhieen.com
Panasonic PNP ダーリントン トランジスタ 30V 10A B873Q 2SB873Q (10個セット) カテゴリ別 Darlington Transistor Impedance I want to calculate the input impedance when i am using a darlington pair and i'm getting a little confused on the appropriate equation to use. It means darlington amplifier behaves like a single transistor having current gain equal to β 2. The darlington transistor operates by cascading two transistors, typically of the. It offers a very high input impedance. Darlington Transistor Impedance.
From tillescenter.org
Transistors Darlington NPN Transistor Darlington tillescenter Darlington Transistor Impedance In electronic devices by floyd he. A darlington transistor is a semiconductor device that pairs two bjts to achieve a very high current gain, functioning as a unified component. The darlington transistor operates by cascading two transistors, typically of the. These can be made by two separate transistors or comes with a single package. It means darlington amplifier behaves like. Darlington Transistor Impedance.
From www.circuits-diy.com
Medium Impedance Preamplifier Circuit using Transistor Darlington Transistor Impedance It means darlington amplifier behaves like a single transistor having current gain equal to β 2. The darlington transistor operates by cascading two transistors, typically of the. It offers a very high input impedance or good impedance transformation that it can alter a high impedance input or source to low impedance load. Darlington pair amplifier circuit is a connection of. Darlington Transistor Impedance.
From www.youtube.com
Darlington Transistor in Emitter Follower Circuit YouTube Darlington Transistor Impedance It offers a very high input impedance or good impedance transformation that it can alter a high impedance input or source to low impedance load. A darlington transistor is a semiconductor device that pairs two bjts to achieve a very high current gain, functioning as a unified component. It means darlington amplifier behaves like a single transistor having current gain. Darlington Transistor Impedance.
From www.theengineeringknowledge.com
Introduction to Darlington Pair The Engineering Knowledge Darlington Transistor Impedance These can be made by two separate transistors or comes with a single package. It offers a very high input impedance or good impedance transformation that it can alter a high impedance input or source to low impedance load. A darlington transistor is a semiconductor device that pairs two bjts to achieve a very high current gain, functioning as a. Darlington Transistor Impedance.
From www.vrogue.co
Darlington Transistor Impedance vrogue.co Darlington Transistor Impedance In electronic devices by floyd he. I want to calculate the input impedance when i am using a darlington pair and i'm getting a little confused on the appropriate equation to use. What is a darlington pair transistor amplifier? The darlington transistor operates by cascading two transistors, typically of the. Darlington pair amplifier circuit is a connection of two transistors. Darlington Transistor Impedance.
From www.vrogue.co
Darlington Transistor Impedance vrogue.co Darlington Transistor Impedance In electronic devices by floyd he. What is a darlington pair transistor amplifier? The current gain of a darlington pair is significantly higher than that of standard transistors, making it ideal for applications. A darlington transistor is a semiconductor device that pairs two bjts to achieve a very high current gain, functioning as a unified component. Darlington pair amplifier circuit. Darlington Transistor Impedance.
From ancona-lastoria.blogspot.com
Darlington Transistor Configuration Darlington Transistor Impedance It means darlington amplifier behaves like a single transistor having current gain equal to β 2. The darlington transistor operates by cascading two transistors, typically of the. It offers a very high input impedance or good impedance transformation that it can alter a high impedance input or source to low impedance load. What is a darlington pair transistor amplifier? I. Darlington Transistor Impedance.
From www.fvml.com.br
Datasheet Pinagem Transistor Darlington PNP BC876 Características e Darlington Transistor Impedance These can be made by two separate transistors or comes with a single package. I want to calculate the input impedance when i am using a darlington pair and i'm getting a little confused on the appropriate equation to use. In electronic devices by floyd he. A darlington transistor is a semiconductor device that pairs two bjts to achieve a. Darlington Transistor Impedance.
From www.slideserve.com
PPT Chapter 5 BJT AC Analysis PowerPoint Presentation ID5588788 Darlington Transistor Impedance It offers a very high input impedance or good impedance transformation that it can alter a high impedance input or source to low impedance load. How does a darlington transistor work? The current gain of a darlington pair is significantly higher than that of standard transistors, making it ideal for applications. These can be made by two separate transistors or. Darlington Transistor Impedance.
From electronicsphysics.com
Darlington pair amplifier Transistor circuit, theory & gain Edumir Darlington Transistor Impedance The darlington transistor operates by cascading two transistors, typically of the. The current gain of a darlington pair is significantly higher than that of standard transistors, making it ideal for applications. A darlington transistor is a semiconductor device that pairs two bjts to achieve a very high current gain, functioning as a unified component. I want to calculate the input. Darlington Transistor Impedance.
From www.theengineeringprojects.com
Introduction to Darlington Transistor The Engineering Projects Darlington Transistor Impedance The darlington transistor operates by cascading two transistors, typically of the. What is a darlington pair transistor amplifier? These can be made by two separate transistors or comes with a single package. The current gain of a darlington pair is significantly higher than that of standard transistors, making it ideal for applications. It means darlington amplifier behaves like a single. Darlington Transistor Impedance.
From www.chegg.com
Solved For the Darlington pair amplifier circuit shown in Darlington Transistor Impedance I want to calculate the input impedance when i am using a darlington pair and i'm getting a little confused on the appropriate equation to use. Darlington pair amplifier circuit is a connection of two transistors that acts as a single unit with an overall current gain equal to the multiplication of the individual current gains of the In electronic. Darlington Transistor Impedance.
From www.vrogue.co
Darlington Transistor Impedance vrogue.co Darlington Transistor Impedance How does a darlington transistor work? What is a darlington pair transistor amplifier? In electronic devices by floyd he. It offers a very high input impedance or good impedance transformation that it can alter a high impedance input or source to low impedance load. These can be made by two separate transistors or comes with a single package. A darlington. Darlington Transistor Impedance.
From circuitdigest.com
Sziklai Transistor Pair Circuit Tutorial Darlington Transistor Impedance A darlington transistor is a semiconductor device that pairs two bjts to achieve a very high current gain, functioning as a unified component. It means darlington amplifier behaves like a single transistor having current gain equal to β 2. These can be made by two separate transistors or comes with a single package. The current gain of a darlington pair. Darlington Transistor Impedance.
From www.vrogue.co
Darlington Transistor Impedance vrogue.co Darlington Transistor Impedance I want to calculate the input impedance when i am using a darlington pair and i'm getting a little confused on the appropriate equation to use. In electronic devices by floyd he. A darlington transistor is a semiconductor device that pairs two bjts to achieve a very high current gain, functioning as a unified component. These can be made by. Darlington Transistor Impedance.
From skemasupergalaxy.blogspot.com
Tren Gaya 35+ Darlington Transistor Darlington Transistor Impedance A darlington transistor is a semiconductor device that pairs two bjts to achieve a very high current gain, functioning as a unified component. These can be made by two separate transistors or comes with a single package. Darlington pair amplifier circuit is a connection of two transistors that acts as a single unit with an overall current gain equal to. Darlington Transistor Impedance.
From www.youtube.com
BJT Transistors Darlington Pair & DC Beta Current Gain YouTube Darlington Transistor Impedance The darlington transistor operates by cascading two transistors, typically of the. Darlington pair amplifier circuit is a connection of two transistors that acts as a single unit with an overall current gain equal to the multiplication of the individual current gains of the These can be made by two separate transistors or comes with a single package. It means darlington. Darlington Transistor Impedance.
From www.youtube.com
Darlington Amplifier Explained Darlington Pair as an Amplifier YouTube Darlington Transistor Impedance A darlington transistor is a semiconductor device that pairs two bjts to achieve a very high current gain, functioning as a unified component. The darlington transistor operates by cascading two transistors, typically of the. How does a darlington transistor work? The current gain of a darlington pair is significantly higher than that of standard transistors, making it ideal for applications.. Darlington Transistor Impedance.
From www.numerade.com
SOLVED Resolve the following exercises 1) For the Darlington Darlington Transistor Impedance The current gain of a darlington pair is significantly higher than that of standard transistors, making it ideal for applications. How does a darlington transistor work? I want to calculate the input impedance when i am using a darlington pair and i'm getting a little confused on the appropriate equation to use. In electronic devices by floyd he. It means. Darlington Transistor Impedance.
From www.theengineeringprojects.com
Introduction to Darlington Transistor The Engineering Projects Darlington Transistor Impedance A darlington transistor is a semiconductor device that pairs two bjts to achieve a very high current gain, functioning as a unified component. It means darlington amplifier behaves like a single transistor having current gain equal to β 2. I want to calculate the input impedance when i am using a darlington pair and i'm getting a little confused on. Darlington Transistor Impedance.
From www.vrogue.co
Darlington Transistor Impedance vrogue.co Darlington Transistor Impedance The darlington transistor operates by cascading two transistors, typically of the. How does a darlington transistor work? What is a darlington pair transistor amplifier? These can be made by two separate transistors or comes with a single package. It means darlington amplifier behaves like a single transistor having current gain equal to β 2. A darlington transistor is a semiconductor. Darlington Transistor Impedance.
From articulo.mercadolibre.cl
Tip142t Transistor Darlington Npn 100v, 10a, 125w 1.000 en Mercado Darlington Transistor Impedance Darlington pair amplifier circuit is a connection of two transistors that acts as a single unit with an overall current gain equal to the multiplication of the individual current gains of the It means darlington amplifier behaves like a single transistor having current gain equal to β 2. In electronic devices by floyd he. It offers a very high input. Darlington Transistor Impedance.