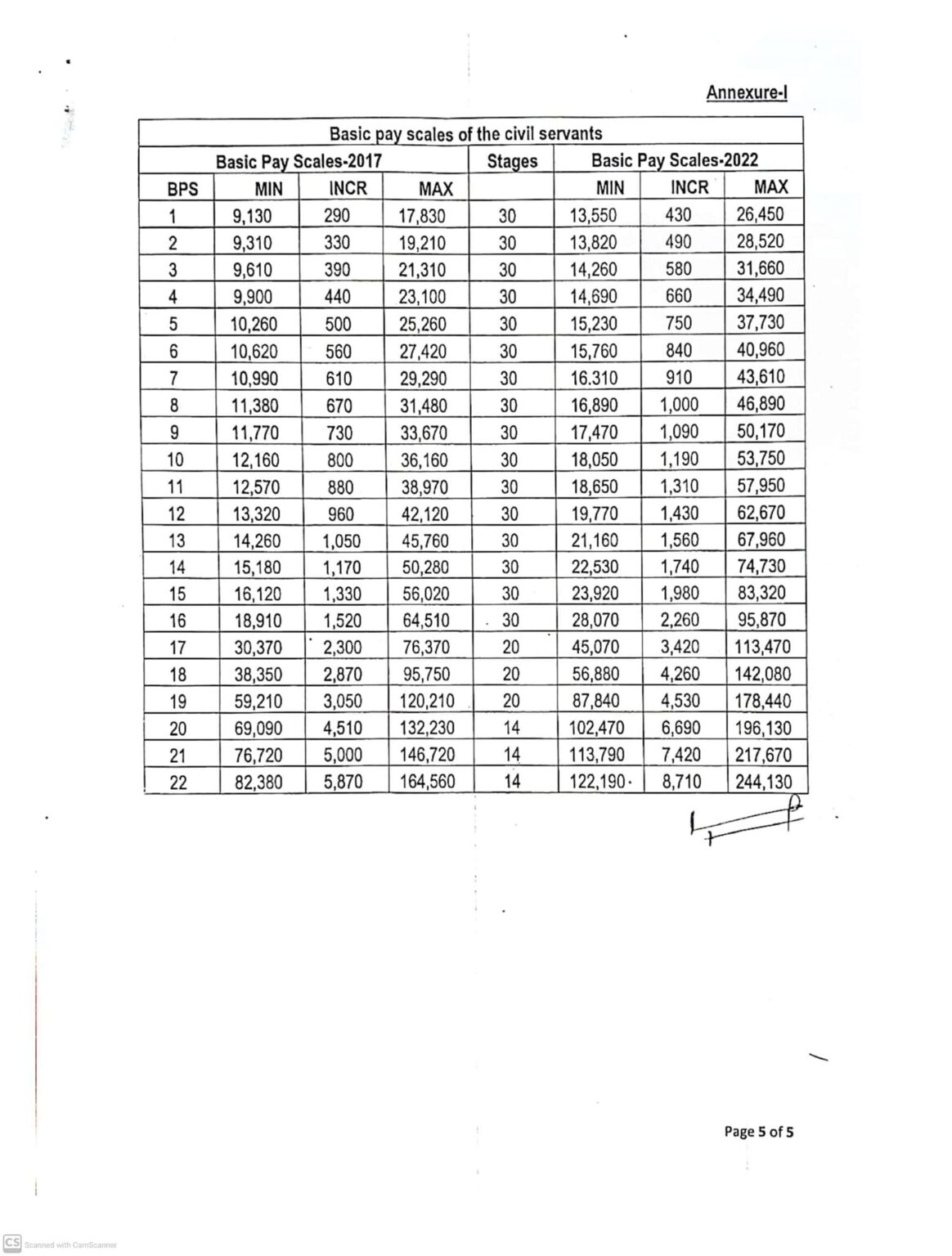
Scale Wise Chart 2022 . By miss khan on july 3, 2022. It outlines pay bands from 1 to 22, with minimum and maximum salaries as. the new pay scale 2022 will go into effect on july 1, 2022. revision of basic pay scales. the document provides a basic pay scale that is effective from july 1st, 2022. Position code revisioin of basic pay scales & allowances of civil servants of the provincial government. a comparison of basic pay scales from 1987 to 2022. fixation chart of different stages in various revised pay scales from 1972 to 2022 1 2. Salaries of government personnel have been raised following a pay scale modification and the addition of another adhoc relief allowance 2022 of 15% on the current running basic.
from www.youtube.com
It outlines pay bands from 1 to 22, with minimum and maximum salaries as. By miss khan on july 3, 2022. fixation chart of different stages in various revised pay scales from 1972 to 2022 1 2. a comparison of basic pay scales from 1987 to 2022. the new pay scale 2022 will go into effect on july 1, 2022. revision of basic pay scales. Salaries of government personnel have been raised following a pay scale modification and the addition of another adhoc relief allowance 2022 of 15% on the current running basic. the document provides a basic pay scale that is effective from july 1st, 2022. Position code revisioin of basic pay scales & allowances of civil servants of the provincial government.
Revised Pay Scales 2022/ Revised pay scales chart 2022/ Revised Salary
Scale Wise Chart 2022 revision of basic pay scales. By miss khan on july 3, 2022. It outlines pay bands from 1 to 22, with minimum and maximum salaries as. Salaries of government personnel have been raised following a pay scale modification and the addition of another adhoc relief allowance 2022 of 15% on the current running basic. Position code revisioin of basic pay scales & allowances of civil servants of the provincial government. fixation chart of different stages in various revised pay scales from 1972 to 2022 1 2. the document provides a basic pay scale that is effective from july 1st, 2022. a comparison of basic pay scales from 1987 to 2022. revision of basic pay scales. the new pay scale 2022 will go into effect on july 1, 2022.
From www.glxspace.com
Revised Standard Pay Package 2022 & Pay Scale Chart 2022 Scale Wise Chart 2022 revision of basic pay scales. fixation chart of different stages in various revised pay scales from 1972 to 2022 1 2. the document provides a basic pay scale that is effective from july 1st, 2022. the new pay scale 2022 will go into effect on july 1, 2022. It outlines pay bands from 1 to 22,. Scale Wise Chart 2022.
From www.glxspace.com
Notification Revised Pay Scales 2022 Balochistan • Galaxy World Scale Wise Chart 2022 revision of basic pay scales. the document provides a basic pay scale that is effective from july 1st, 2022. fixation chart of different stages in various revised pay scales from 1972 to 2022 1 2. a comparison of basic pay scales from 1987 to 2022. It outlines pay bands from 1 to 22, with minimum and. Scale Wise Chart 2022.
From www.youtube.com
New Revised Pay Scale Wise Chart 2022 July 2022 Pay Scale Chart 2022 Scale Wise Chart 2022 the new pay scale 2022 will go into effect on july 1, 2022. a comparison of basic pay scales from 1987 to 2022. Salaries of government personnel have been raised following a pay scale modification and the addition of another adhoc relief allowance 2022 of 15% on the current running basic. fixation chart of different stages in. Scale Wise Chart 2022.
From www.youtube.com
Latest Basic Pay Scale Chart 2022 download YouTube Scale Wise Chart 2022 By miss khan on july 3, 2022. the new pay scale 2022 will go into effect on july 1, 2022. Position code revisioin of basic pay scales & allowances of civil servants of the provincial government. It outlines pay bands from 1 to 22, with minimum and maximum salaries as. a comparison of basic pay scales from 1987. Scale Wise Chart 2022.
From www.glxspace.com
Notification Revised Basic Pay Scales 2022 AJK • Galaxy World Scale Wise Chart 2022 Salaries of government personnel have been raised following a pay scale modification and the addition of another adhoc relief allowance 2022 of 15% on the current running basic. Position code revisioin of basic pay scales & allowances of civil servants of the provincial government. revision of basic pay scales. It outlines pay bands from 1 to 22, with minimum. Scale Wise Chart 2022.
From scalechart.z28.web.core.windows.net
pay scale chart 202223 federal government Revised pay scale chart 2022 Scale Wise Chart 2022 the new pay scale 2022 will go into effect on july 1, 2022. a comparison of basic pay scales from 1987 to 2022. Position code revisioin of basic pay scales & allowances of civil servants of the provincial government. By miss khan on july 3, 2022. revision of basic pay scales. the document provides a basic. Scale Wise Chart 2022.
From www.glxspace.com
Notification Revised Pay Scales 2022 Punjab and Allowances Scale Wise Chart 2022 revision of basic pay scales. By miss khan on july 3, 2022. the new pay scale 2022 will go into effect on july 1, 2022. Position code revisioin of basic pay scales & allowances of civil servants of the provincial government. Salaries of government personnel have been raised following a pay scale modification and the addition of another. Scale Wise Chart 2022.
From govtpakjobs.com
New Salary Chart 2022KPK Budget 2022 Salary Increase Chart Scale Wise Chart 2022 a comparison of basic pay scales from 1987 to 2022. revision of basic pay scales. fixation chart of different stages in various revised pay scales from 1972 to 2022 1 2. Salaries of government personnel have been raised following a pay scale modification and the addition of another adhoc relief allowance 2022 of 15% on the current. Scale Wise Chart 2022.
From www.glxspace.com
Basic Pay Scales Chart 1987 to 2022 • Galaxy World Scale Wise Chart 2022 By miss khan on july 3, 2022. a comparison of basic pay scales from 1987 to 2022. revision of basic pay scales. fixation chart of different stages in various revised pay scales from 1972 to 2022 1 2. the new pay scale 2022 will go into effect on july 1, 2022. It outlines pay bands from. Scale Wise Chart 2022.
From www.youtube.com
Revised Pay Scale 2022 Chart Pay Scale Chart 2022 New Pay Scale Scale Wise Chart 2022 By miss khan on july 3, 2022. the new pay scale 2022 will go into effect on july 1, 2022. fixation chart of different stages in various revised pay scales from 1972 to 2022 1 2. Salaries of government personnel have been raised following a pay scale modification and the addition of another adhoc relief allowance 2022 of. Scale Wise Chart 2022.
From www.youtube.com
Annual Increment Chart 2022 Scale Wise Salary Increase Chart Scale Wise Chart 2022 the new pay scale 2022 will go into effect on july 1, 2022. a comparison of basic pay scales from 1987 to 2022. Salaries of government personnel have been raised following a pay scale modification and the addition of another adhoc relief allowance 2022 of 15% on the current running basic. revision of basic pay scales. . Scale Wise Chart 2022.
From governmentjob.pk
Pay Scale Chart 2022 Listing 2024 Scale Wise Chart 2022 the document provides a basic pay scale that is effective from july 1st, 2022. a comparison of basic pay scales from 1987 to 2022. Salaries of government personnel have been raised following a pay scale modification and the addition of another adhoc relief allowance 2022 of 15% on the current running basic. fixation chart of different stages. Scale Wise Chart 2022.
From www.youtube.com
December Increment for Government Employees l Scale Wise Chart l Scale Wise Chart 2022 Position code revisioin of basic pay scales & allowances of civil servants of the provincial government. Salaries of government personnel have been raised following a pay scale modification and the addition of another adhoc relief allowance 2022 of 15% on the current running basic. the new pay scale 2022 will go into effect on july 1, 2022. fixation. Scale Wise Chart 2022.
From www.youtube.com
Army Pay scales 2022 Chart What will be basic pay on 1st July 2022 Scale Wise Chart 2022 a comparison of basic pay scales from 1987 to 2022. the document provides a basic pay scale that is effective from july 1st, 2022. the new pay scale 2022 will go into effect on july 1, 2022. Position code revisioin of basic pay scales & allowances of civil servants of the provincial government. revision of basic. Scale Wise Chart 2022.
From infoghar.com
Revised Pay Scale Chart 2022 Info Ghar Scale Wise Chart 2022 By miss khan on july 3, 2022. revision of basic pay scales. It outlines pay bands from 1 to 22, with minimum and maximum salaries as. Salaries of government personnel have been raised following a pay scale modification and the addition of another adhoc relief allowance 2022 of 15% on the current running basic. fixation chart of different. Scale Wise Chart 2022.
From www.youtube.com
Revised Pay Scales 2022/ Revised pay scales chart 2022/ Revised Salary Scale Wise Chart 2022 fixation chart of different stages in various revised pay scales from 1972 to 2022 1 2. the document provides a basic pay scale that is effective from july 1st, 2022. Position code revisioin of basic pay scales & allowances of civil servants of the provincial government. Salaries of government personnel have been raised following a pay scale modification. Scale Wise Chart 2022.
From www.youtube.com
New Revised Pay Scale Wise Chart 2022 l Pay Scale Chart for Government Scale Wise Chart 2022 By miss khan on july 3, 2022. Position code revisioin of basic pay scales & allowances of civil servants of the provincial government. fixation chart of different stages in various revised pay scales from 1972 to 2022 1 2. a comparison of basic pay scales from 1987 to 2022. It outlines pay bands from 1 to 22, with. Scale Wise Chart 2022.
From www.youtube.com
Scale wise chart after Adhoc Merge in basic pay 1 to 22 scale revised Scale Wise Chart 2022 fixation chart of different stages in various revised pay scales from 1972 to 2022 1 2. Position code revisioin of basic pay scales & allowances of civil servants of the provincial government. It outlines pay bands from 1 to 22, with minimum and maximum salaries as. Salaries of government personnel have been raised following a pay scale modification and. Scale Wise Chart 2022.
From www.glxspace.com
Notification Revised Pay Scales 2022 Sindh Govt • Govt Jobs & Employees Scale Wise Chart 2022 fixation chart of different stages in various revised pay scales from 1972 to 2022 1 2. Position code revisioin of basic pay scales & allowances of civil servants of the provincial government. the document provides a basic pay scale that is effective from july 1st, 2022. revision of basic pay scales. the new pay scale 2022. Scale Wise Chart 2022.
From gs-pay-scale.com
2022 Federal Pay Scale GS Pay Scale 2022 Scale Wise Chart 2022 the new pay scale 2022 will go into effect on july 1, 2022. the document provides a basic pay scale that is effective from july 1st, 2022. a comparison of basic pay scales from 1987 to 2022. It outlines pay bands from 1 to 22, with minimum and maximum salaries as. fixation chart of different stages. Scale Wise Chart 2022.
From www.glxspace.com
Final Revised Basic Pay Scales 2022 Chart • Galaxy World Scale Wise Chart 2022 Salaries of government personnel have been raised following a pay scale modification and the addition of another adhoc relief allowance 2022 of 15% on the current running basic. Position code revisioin of basic pay scales & allowances of civil servants of the provincial government. the document provides a basic pay scale that is effective from july 1st, 2022. . Scale Wise Chart 2022.
From allpaknotifications.com
Point To Point Basic Scale Effective From 01072022 (BS1 To 16 40 Scale Wise Chart 2022 Salaries of government personnel have been raised following a pay scale modification and the addition of another adhoc relief allowance 2022 of 15% on the current running basic. Position code revisioin of basic pay scales & allowances of civil servants of the provincial government. fixation chart of different stages in various revised pay scales from 1972 to 2022 1. Scale Wise Chart 2022.
From www.youtube.com
50 House Rent & Ceiling.. Scale wise chart .. According to Govt Scale Wise Chart 2022 Salaries of government personnel have been raised following a pay scale modification and the addition of another adhoc relief allowance 2022 of 15% on the current running basic. the new pay scale 2022 will go into effect on july 1, 2022. Position code revisioin of basic pay scales & allowances of civil servants of the provincial government. the. Scale Wise Chart 2022.
From scalechart.z28.web.core.windows.net
revised pay scale chart 2022 Revised salary chart 20212022 Scale Wise Chart 2022 It outlines pay bands from 1 to 22, with minimum and maximum salaries as. a comparison of basic pay scales from 1987 to 2022. the new pay scale 2022 will go into effect on july 1, 2022. By miss khan on july 3, 2022. the document provides a basic pay scale that is effective from july 1st,. Scale Wise Chart 2022.
From www.youtube.com
Scalewise Chart For Annual Increment 2023 24. 35Percent Increase in Scale Wise Chart 2022 the document provides a basic pay scale that is effective from july 1st, 2022. It outlines pay bands from 1 to 22, with minimum and maximum salaries as. Position code revisioin of basic pay scales & allowances of civil servants of the provincial government. the new pay scale 2022 will go into effect on july 1, 2022. By. Scale Wise Chart 2022.
From legalversity.com
Revised Basic Pay Scales Chart 2022 Legalversity Scale Wise Chart 2022 By miss khan on july 3, 2022. revision of basic pay scales. the new pay scale 2022 will go into effect on july 1, 2022. Position code revisioin of basic pay scales & allowances of civil servants of the provincial government. Salaries of government personnel have been raised following a pay scale modification and the addition of another. Scale Wise Chart 2022.
From infoghar.com
Pak Army Pay Scale 2022 Info Ghar Scale Wise Chart 2022 a comparison of basic pay scales from 1987 to 2022. Salaries of government personnel have been raised following a pay scale modification and the addition of another adhoc relief allowance 2022 of 15% on the current running basic. the new pay scale 2022 will go into effect on july 1, 2022. the document provides a basic pay. Scale Wise Chart 2022.
From www.glxspace.com
Notification Revised Basic Pay Scales 2022 GB and Allowances Scale Wise Chart 2022 the document provides a basic pay scale that is effective from july 1st, 2022. fixation chart of different stages in various revised pay scales from 1972 to 2022 1 2. Position code revisioin of basic pay scales & allowances of civil servants of the provincial government. revision of basic pay scales. It outlines pay bands from 1. Scale Wise Chart 2022.
From www.jobnewz.club
GP Fund Deduction chart after Revised Pay Scales 2022 Jobs, News Scale Wise Chart 2022 It outlines pay bands from 1 to 22, with minimum and maximum salaries as. revision of basic pay scales. fixation chart of different stages in various revised pay scales from 1972 to 2022 1 2. the document provides a basic pay scale that is effective from july 1st, 2022. Salaries of government personnel have been raised following. Scale Wise Chart 2022.
From www.youtube.com
New Revised Pay Scale Wise Chart 2022 l Pay Scale Chart for Government Scale Wise Chart 2022 It outlines pay bands from 1 to 22, with minimum and maximum salaries as. the document provides a basic pay scale that is effective from july 1st, 2022. fixation chart of different stages in various revised pay scales from 1972 to 2022 1 2. the new pay scale 2022 will go into effect on july 1, 2022.. Scale Wise Chart 2022.
From www.glxspace.com
Revised Pay Scales 1972 to 2022 Chart • Govt Jobs & Employees Galaxy World Scale Wise Chart 2022 Position code revisioin of basic pay scales & allowances of civil servants of the provincial government. By miss khan on july 3, 2022. the new pay scale 2022 will go into effect on july 1, 2022. Salaries of government personnel have been raised following a pay scale modification and the addition of another adhoc relief allowance 2022 of 15%. Scale Wise Chart 2022.
From legalversity.com
Notification of Revised Basic Pay Scales 2022 AJK Legalversity Scale Wise Chart 2022 By miss khan on july 3, 2022. Position code revisioin of basic pay scales & allowances of civil servants of the provincial government. revision of basic pay scales. Salaries of government personnel have been raised following a pay scale modification and the addition of another adhoc relief allowance 2022 of 15% on the current running basic. fixation chart. Scale Wise Chart 2022.
From governmentjob.pk
Revised Pay Scale 2022 Pay Scale Chart in Pakistan » Government Jobs Scale Wise Chart 2022 a comparison of basic pay scales from 1987 to 2022. the new pay scale 2022 will go into effect on july 1, 2022. It outlines pay bands from 1 to 22, with minimum and maximum salaries as. Position code revisioin of basic pay scales & allowances of civil servants of the provincial government. the document provides a. Scale Wise Chart 2022.
From scalechart.z28.web.core.windows.net
basic pay scales 2022 chart Notification revised pay scales 2022 punjab Scale Wise Chart 2022 the new pay scale 2022 will go into effect on july 1, 2022. the document provides a basic pay scale that is effective from july 1st, 2022. By miss khan on july 3, 2022. revision of basic pay scales. fixation chart of different stages in various revised pay scales from 1972 to 2022 1 2. Position. Scale Wise Chart 2022.
From tax.net.pk
Latest Pay Scale Chart 202223 Notification Of Salary Increase 2022 Scale Wise Chart 2022 By miss khan on july 3, 2022. fixation chart of different stages in various revised pay scales from 1972 to 2022 1 2. the new pay scale 2022 will go into effect on july 1, 2022. Salaries of government personnel have been raised following a pay scale modification and the addition of another adhoc relief allowance 2022 of. Scale Wise Chart 2022.