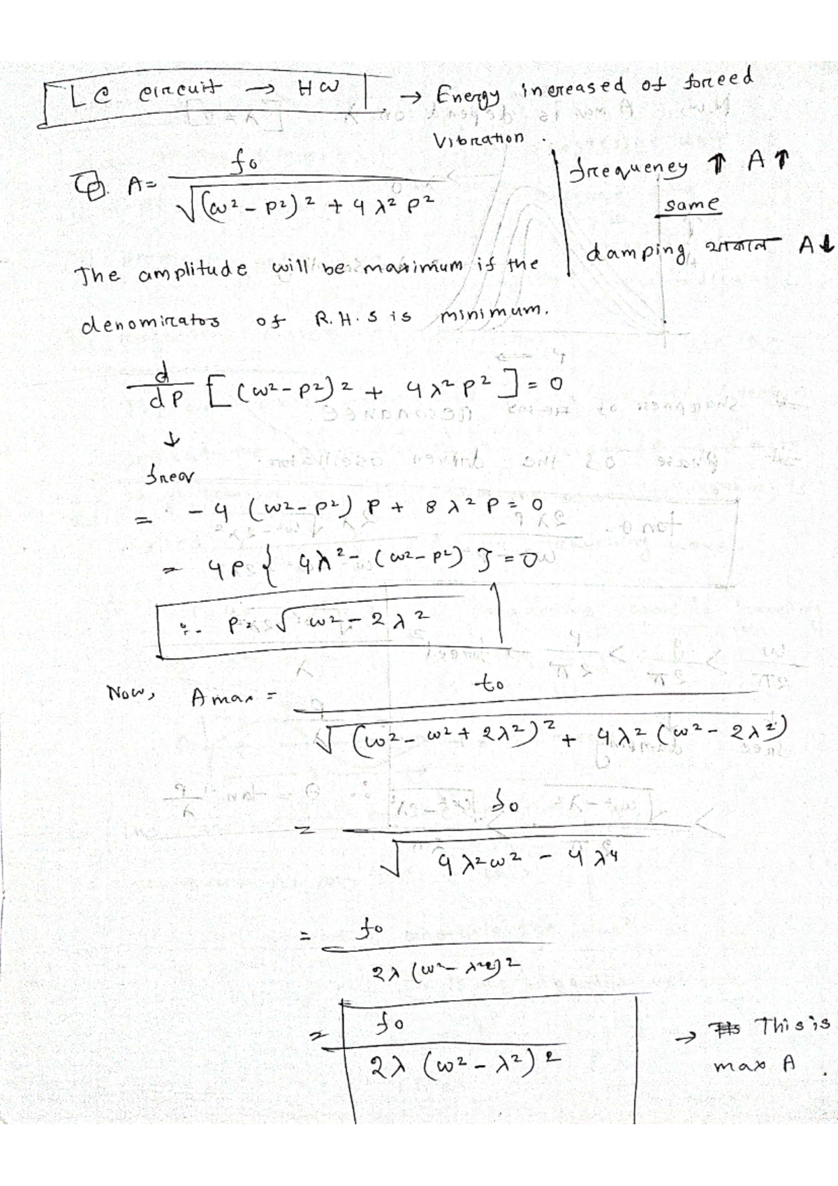
Harmonic Oscillator Physics Damped . figure 16.21 displacement versus time for a critically damped harmonic oscillator (a) and an overdamped harmonic oscillator (b). however, it turns out there's a lot of interesting physics and math in variations of the harmonic oscillator that have nothing to do with equilibrium expansion or. describe a driven harmonic oscillator as a type of damped oscillator. when a damped oscillator is underdamped, it approaches zero faster than in the case of critical damping, but oscillates about that. In classical mechanics, a harmonic oscillator is a system that, when displaced from its equilibrium position, experiences a restoring force, f, proportional to the displacement, xf →= −kx→ x f →= − k x → where k is a positive constant. In these notes, we complicate our previous discussion of the simple harmonic. figure \(\pageindex{4}\) shows the displacement of a harmonic oscillator for different amounts of. the condition in which damping of an oscillator causes it to return to equilibrium without oscillating;
from www.researchgate.net
figure 16.21 displacement versus time for a critically damped harmonic oscillator (a) and an overdamped harmonic oscillator (b). In these notes, we complicate our previous discussion of the simple harmonic. when a damped oscillator is underdamped, it approaches zero faster than in the case of critical damping, but oscillates about that. In classical mechanics, a harmonic oscillator is a system that, when displaced from its equilibrium position, experiences a restoring force, f, proportional to the displacement, xf →= −kx→ x f →= − k x → where k is a positive constant. the condition in which damping of an oscillator causes it to return to equilibrium without oscillating; figure \(\pageindex{4}\) shows the displacement of a harmonic oscillator for different amounts of. however, it turns out there's a lot of interesting physics and math in variations of the harmonic oscillator that have nothing to do with equilibrium expansion or. describe a driven harmonic oscillator as a type of damped oscillator.
Physics Damped harmonic oscillator. Characteristic exponential decay
Harmonic Oscillator Physics Damped figure 16.21 displacement versus time for a critically damped harmonic oscillator (a) and an overdamped harmonic oscillator (b). describe a driven harmonic oscillator as a type of damped oscillator. In classical mechanics, a harmonic oscillator is a system that, when displaced from its equilibrium position, experiences a restoring force, f, proportional to the displacement, xf →= −kx→ x f →= − k x → where k is a positive constant. when a damped oscillator is underdamped, it approaches zero faster than in the case of critical damping, but oscillates about that. figure 16.21 displacement versus time for a critically damped harmonic oscillator (a) and an overdamped harmonic oscillator (b). In these notes, we complicate our previous discussion of the simple harmonic. figure \(\pageindex{4}\) shows the displacement of a harmonic oscillator for different amounts of. the condition in which damping of an oscillator causes it to return to equilibrium without oscillating; however, it turns out there's a lot of interesting physics and math in variations of the harmonic oscillator that have nothing to do with equilibrium expansion or.
From www.youtube.com
Damped Harmonic Oscillators Derivation YouTube Harmonic Oscillator Physics Damped In these notes, we complicate our previous discussion of the simple harmonic. describe a driven harmonic oscillator as a type of damped oscillator. figure 16.21 displacement versus time for a critically damped harmonic oscillator (a) and an overdamped harmonic oscillator (b). In classical mechanics, a harmonic oscillator is a system that, when displaced from its equilibrium position, experiences. Harmonic Oscillator Physics Damped.
From www.slideserve.com
PPT Damped Simple Harmonic Oscillator PowerPoint Presentation, free Harmonic Oscillator Physics Damped when a damped oscillator is underdamped, it approaches zero faster than in the case of critical damping, but oscillates about that. figure 16.21 displacement versus time for a critically damped harmonic oscillator (a) and an overdamped harmonic oscillator (b). figure \(\pageindex{4}\) shows the displacement of a harmonic oscillator for different amounts of. In classical mechanics, a harmonic. Harmonic Oscillator Physics Damped.
From www.researchgate.net
Solutions x(t) for a damped harmonic oscillator, ¨ x(t) + ω 2 x(t Harmonic Oscillator Physics Damped In these notes, we complicate our previous discussion of the simple harmonic. figure 16.21 displacement versus time for a critically damped harmonic oscillator (a) and an overdamped harmonic oscillator (b). describe a driven harmonic oscillator as a type of damped oscillator. In classical mechanics, a harmonic oscillator is a system that, when displaced from its equilibrium position, experiences. Harmonic Oscillator Physics Damped.
From byjus.com
A light damped oscillator with the frequency (ω) is set in motion by Harmonic Oscillator Physics Damped describe a driven harmonic oscillator as a type of damped oscillator. In these notes, we complicate our previous discussion of the simple harmonic. the condition in which damping of an oscillator causes it to return to equilibrium without oscillating; In classical mechanics, a harmonic oscillator is a system that, when displaced from its equilibrium position, experiences a restoring. Harmonic Oscillator Physics Damped.
From physicscourses.colorado.edu
Damped harmonic oscillators Harmonic Oscillator Physics Damped the condition in which damping of an oscillator causes it to return to equilibrium without oscillating; In classical mechanics, a harmonic oscillator is a system that, when displaced from its equilibrium position, experiences a restoring force, f, proportional to the displacement, xf →= −kx→ x f →= − k x → where k is a positive constant. when. Harmonic Oscillator Physics Damped.
From www.youtube.com
Complex solutions of the damped harmonic oscillator. YouTube Harmonic Oscillator Physics Damped In classical mechanics, a harmonic oscillator is a system that, when displaced from its equilibrium position, experiences a restoring force, f, proportional to the displacement, xf →= −kx→ x f →= − k x → where k is a positive constant. figure 16.21 displacement versus time for a critically damped harmonic oscillator (a) and an overdamped harmonic oscillator (b).. Harmonic Oscillator Physics Damped.
From eduinput.com
Damped OscillationDefinition And Types Harmonic Oscillator Physics Damped In these notes, we complicate our previous discussion of the simple harmonic. however, it turns out there's a lot of interesting physics and math in variations of the harmonic oscillator that have nothing to do with equilibrium expansion or. In classical mechanics, a harmonic oscillator is a system that, when displaced from its equilibrium position, experiences a restoring force,. Harmonic Oscillator Physics Damped.
From www.youtube.com
The Physics of Damped Harmonic Oscillations Simplified Equations of Harmonic Oscillator Physics Damped figure 16.21 displacement versus time for a critically damped harmonic oscillator (a) and an overdamped harmonic oscillator (b). In classical mechanics, a harmonic oscillator is a system that, when displaced from its equilibrium position, experiences a restoring force, f, proportional to the displacement, xf →= −kx→ x f →= − k x → where k is a positive constant.. Harmonic Oscillator Physics Damped.
From animalia-life.club
Damped Harmonic Oscillator Examples Harmonic Oscillator Physics Damped describe a driven harmonic oscillator as a type of damped oscillator. figure \(\pageindex{4}\) shows the displacement of a harmonic oscillator for different amounts of. however, it turns out there's a lot of interesting physics and math in variations of the harmonic oscillator that have nothing to do with equilibrium expansion or. In classical mechanics, a harmonic oscillator. Harmonic Oscillator Physics Damped.
From www.scribd.com
Damped Harmonic Oscillator Mechanics Classical Mechanics Harmonic Oscillator Physics Damped figure 16.21 displacement versus time for a critically damped harmonic oscillator (a) and an overdamped harmonic oscillator (b). the condition in which damping of an oscillator causes it to return to equilibrium without oscillating; describe a driven harmonic oscillator as a type of damped oscillator. however, it turns out there's a lot of interesting physics and. Harmonic Oscillator Physics Damped.
From www.numerade.com
SOLVED 1. . A damped harmonic oscillator is oscillating at steady Harmonic Oscillator Physics Damped when a damped oscillator is underdamped, it approaches zero faster than in the case of critical damping, but oscillates about that. In classical mechanics, a harmonic oscillator is a system that, when displaced from its equilibrium position, experiences a restoring force, f, proportional to the displacement, xf →= −kx→ x f →= − k x → where k is. Harmonic Oscillator Physics Damped.
From physicslabs.augustana.edu
Damped Simple Harmonic Oscillator Augustana College Physics Laboratories Harmonic Oscillator Physics Damped however, it turns out there's a lot of interesting physics and math in variations of the harmonic oscillator that have nothing to do with equilibrium expansion or. the condition in which damping of an oscillator causes it to return to equilibrium without oscillating; describe a driven harmonic oscillator as a type of damped oscillator. In these notes,. Harmonic Oscillator Physics Damped.
From www.chegg.com
Solved A damped harmonic oscillator satisfies the equation Harmonic Oscillator Physics Damped figure 16.21 displacement versus time for a critically damped harmonic oscillator (a) and an overdamped harmonic oscillator (b). In these notes, we complicate our previous discussion of the simple harmonic. the condition in which damping of an oscillator causes it to return to equilibrium without oscillating; In classical mechanics, a harmonic oscillator is a system that, when displaced. Harmonic Oscillator Physics Damped.
From studylib.net
the damped harmonic oscillator Department of Physics Oregon Harmonic Oscillator Physics Damped however, it turns out there's a lot of interesting physics and math in variations of the harmonic oscillator that have nothing to do with equilibrium expansion or. In these notes, we complicate our previous discussion of the simple harmonic. describe a driven harmonic oscillator as a type of damped oscillator. In classical mechanics, a harmonic oscillator is a. Harmonic Oscillator Physics Damped.
From www.youtube.com
The Damped Driven Harmonic Oscillator YouTube Harmonic Oscillator Physics Damped figure \(\pageindex{4}\) shows the displacement of a harmonic oscillator for different amounts of. describe a driven harmonic oscillator as a type of damped oscillator. however, it turns out there's a lot of interesting physics and math in variations of the harmonic oscillator that have nothing to do with equilibrium expansion or. the condition in which damping. Harmonic Oscillator Physics Damped.
From demonstrations.wolfram.com
Quantum Theory of the Damped Harmonic Oscillator Wolfram Harmonic Oscillator Physics Damped In these notes, we complicate our previous discussion of the simple harmonic. the condition in which damping of an oscillator causes it to return to equilibrium without oscillating; figure \(\pageindex{4}\) shows the displacement of a harmonic oscillator for different amounts of. In classical mechanics, a harmonic oscillator is a system that, when displaced from its equilibrium position, experiences. Harmonic Oscillator Physics Damped.
From ar.inspiredpencil.com
Damped Harmonic Oscillator Examples Harmonic Oscillator Physics Damped figure 16.21 displacement versus time for a critically damped harmonic oscillator (a) and an overdamped harmonic oscillator (b). figure \(\pageindex{4}\) shows the displacement of a harmonic oscillator for different amounts of. In these notes, we complicate our previous discussion of the simple harmonic. describe a driven harmonic oscillator as a type of damped oscillator. however, it. Harmonic Oscillator Physics Damped.
From www.youtube.com
Solving the Damped Harmonic Oscillator YouTube Harmonic Oscillator Physics Damped when a damped oscillator is underdamped, it approaches zero faster than in the case of critical damping, but oscillates about that. describe a driven harmonic oscillator as a type of damped oscillator. figure \(\pageindex{4}\) shows the displacement of a harmonic oscillator for different amounts of. figure 16.21 displacement versus time for a critically damped harmonic oscillator. Harmonic Oscillator Physics Damped.
From www.researchgate.net
(A) Model of a damped harmonic oscillator resulting in displacement Harmonic Oscillator Physics Damped In classical mechanics, a harmonic oscillator is a system that, when displaced from its equilibrium position, experiences a restoring force, f, proportional to the displacement, xf →= −kx→ x f →= − k x → where k is a positive constant. figure 16.21 displacement versus time for a critically damped harmonic oscillator (a) and an overdamped harmonic oscillator (b).. Harmonic Oscillator Physics Damped.
From www.youtube.com
damped harmonic motion equation of damped harmonic oscillations with Harmonic Oscillator Physics Damped however, it turns out there's a lot of interesting physics and math in variations of the harmonic oscillator that have nothing to do with equilibrium expansion or. In these notes, we complicate our previous discussion of the simple harmonic. when a damped oscillator is underdamped, it approaches zero faster than in the case of critical damping, but oscillates. Harmonic Oscillator Physics Damped.
From ar.inspiredpencil.com
Damped Harmonic Oscillator Examples Harmonic Oscillator Physics Damped describe a driven harmonic oscillator as a type of damped oscillator. figure \(\pageindex{4}\) shows the displacement of a harmonic oscillator for different amounts of. when a damped oscillator is underdamped, it approaches zero faster than in the case of critical damping, but oscillates about that. In classical mechanics, a harmonic oscillator is a system that, when displaced. Harmonic Oscillator Physics Damped.
From www.slideserve.com
PPT Damped Oscillations PowerPoint Presentation, free download ID Harmonic Oscillator Physics Damped In these notes, we complicate our previous discussion of the simple harmonic. however, it turns out there's a lot of interesting physics and math in variations of the harmonic oscillator that have nothing to do with equilibrium expansion or. when a damped oscillator is underdamped, it approaches zero faster than in the case of critical damping, but oscillates. Harmonic Oscillator Physics Damped.
From ppt-online.org
Oscillatory motion. Simple harmonic motion. The simple pendulum. Damped Harmonic Oscillator Physics Damped however, it turns out there's a lot of interesting physics and math in variations of the harmonic oscillator that have nothing to do with equilibrium expansion or. In these notes, we complicate our previous discussion of the simple harmonic. figure 16.21 displacement versus time for a critically damped harmonic oscillator (a) and an overdamped harmonic oscillator (b). . Harmonic Oscillator Physics Damped.
From www.slideserve.com
PPT Chapter 14 Oscillations PowerPoint Presentation, free download Harmonic Oscillator Physics Damped In classical mechanics, a harmonic oscillator is a system that, when displaced from its equilibrium position, experiences a restoring force, f, proportional to the displacement, xf →= −kx→ x f →= − k x → where k is a positive constant. the condition in which damping of an oscillator causes it to return to equilibrium without oscillating; when. Harmonic Oscillator Physics Damped.
From exounhfkb.blob.core.windows.net
Damped Harmonic Oscillator Equation at Hannah Sullivan blog Harmonic Oscillator Physics Damped figure \(\pageindex{4}\) shows the displacement of a harmonic oscillator for different amounts of. when a damped oscillator is underdamped, it approaches zero faster than in the case of critical damping, but oscillates about that. In classical mechanics, a harmonic oscillator is a system that, when displaced from its equilibrium position, experiences a restoring force, f, proportional to the. Harmonic Oscillator Physics Damped.
From www.toppr.com
Damped Simple Harmonic Motion Definition, Expression, Example, Video Harmonic Oscillator Physics Damped describe a driven harmonic oscillator as a type of damped oscillator. the condition in which damping of an oscillator causes it to return to equilibrium without oscillating; figure \(\pageindex{4}\) shows the displacement of a harmonic oscillator for different amounts of. In classical mechanics, a harmonic oscillator is a system that, when displaced from its equilibrium position, experiences. Harmonic Oscillator Physics Damped.
From studylib.net
The harmonic oscillator with damping Harmonic Oscillator Physics Damped describe a driven harmonic oscillator as a type of damped oscillator. figure 16.21 displacement versus time for a critically damped harmonic oscillator (a) and an overdamped harmonic oscillator (b). figure \(\pageindex{4}\) shows the displacement of a harmonic oscillator for different amounts of. however, it turns out there's a lot of interesting physics and math in variations. Harmonic Oscillator Physics Damped.
From www.slideserve.com
PPT Chapter 13 Oscillatory Motions PowerPoint Presentation, free Harmonic Oscillator Physics Damped the condition in which damping of an oscillator causes it to return to equilibrium without oscillating; figure \(\pageindex{4}\) shows the displacement of a harmonic oscillator for different amounts of. figure 16.21 displacement versus time for a critically damped harmonic oscillator (a) and an overdamped harmonic oscillator (b). however, it turns out there's a lot of interesting. Harmonic Oscillator Physics Damped.
From plc.tamu.edu
(3A50.15) Damped Harmonic Oscillator TAMU Physics Lab Center Harmonic Oscillator Physics Damped however, it turns out there's a lot of interesting physics and math in variations of the harmonic oscillator that have nothing to do with equilibrium expansion or. figure \(\pageindex{4}\) shows the displacement of a harmonic oscillator for different amounts of. figure 16.21 displacement versus time for a critically damped harmonic oscillator (a) and an overdamped harmonic oscillator. Harmonic Oscillator Physics Damped.
From cityraven.com
😀 Example of damped harmonic motion. What are some examples of simple Harmonic Oscillator Physics Damped describe a driven harmonic oscillator as a type of damped oscillator. figure \(\pageindex{4}\) shows the displacement of a harmonic oscillator for different amounts of. the condition in which damping of an oscillator causes it to return to equilibrium without oscillating; when a damped oscillator is underdamped, it approaches zero faster than in the case of critical. Harmonic Oscillator Physics Damped.
From www.youtube.com
Damped Harmonic Oscillator Under damped Over damped Critical Harmonic Oscillator Physics Damped describe a driven harmonic oscillator as a type of damped oscillator. In these notes, we complicate our previous discussion of the simple harmonic. In classical mechanics, a harmonic oscillator is a system that, when displaced from its equilibrium position, experiences a restoring force, f, proportional to the displacement, xf →= −kx→ x f →= − k x → where. Harmonic Oscillator Physics Damped.
From www.researchgate.net
Physics Damped harmonic oscillator. Characteristic exponential decay Harmonic Oscillator Physics Damped figure \(\pageindex{4}\) shows the displacement of a harmonic oscillator for different amounts of. figure 16.21 displacement versus time for a critically damped harmonic oscillator (a) and an overdamped harmonic oscillator (b). the condition in which damping of an oscillator causes it to return to equilibrium without oscillating; describe a driven harmonic oscillator as a type of. Harmonic Oscillator Physics Damped.
From www.youtube.com
Damped Oscillations YouTube Harmonic Oscillator Physics Damped figure 16.21 displacement versus time for a critically damped harmonic oscillator (a) and an overdamped harmonic oscillator (b). In these notes, we complicate our previous discussion of the simple harmonic. when a damped oscillator is underdamped, it approaches zero faster than in the case of critical damping, but oscillates about that. In classical mechanics, a harmonic oscillator is. Harmonic Oscillator Physics Damped.
From exounhfkb.blob.core.windows.net
Damped Harmonic Oscillator Equation at Hannah Sullivan blog Harmonic Oscillator Physics Damped In classical mechanics, a harmonic oscillator is a system that, when displaced from its equilibrium position, experiences a restoring force, f, proportional to the displacement, xf →= −kx→ x f →= − k x → where k is a positive constant. when a damped oscillator is underdamped, it approaches zero faster than in the case of critical damping, but. Harmonic Oscillator Physics Damped.
From www.studocu.com
DAMPED HARMONIC OSCILLATION Physics I Studocu Harmonic Oscillator Physics Damped figure \(\pageindex{4}\) shows the displacement of a harmonic oscillator for different amounts of. In these notes, we complicate our previous discussion of the simple harmonic. when a damped oscillator is underdamped, it approaches zero faster than in the case of critical damping, but oscillates about that. figure 16.21 displacement versus time for a critically damped harmonic oscillator. Harmonic Oscillator Physics Damped.