Stellar Numbers . Stellar magnitude is a measurement of brightness for stars and other objects in space. The number of cells in a generalized chinese checkers board (or centered hexagram). Star numbers are figurate numbers (see picture aside) defined as. They coincide with centered dodecagonal numbers. Stellar magnitude is the scale used by astronomers to measure an astronomical object’s brightness. Unlike many other measurement scales where larger numbers imply something is. In mathematics, a stella octangula number is a figurate number based on the stella octangula, of the form n(2n2 − 1). Unlike the polygonal numbers, there is. [1][2] the sequence of stella.
from astrobites.org
Stellar magnitude is the scale used by astronomers to measure an astronomical object’s brightness. Unlike many other measurement scales where larger numbers imply something is. Stellar magnitude is a measurement of brightness for stars and other objects in space. Star numbers are figurate numbers (see picture aside) defined as. [1][2] the sequence of stella. They coincide with centered dodecagonal numbers. The number of cells in a generalized chinese checkers board (or centered hexagram). In mathematics, a stella octangula number is a figurate number based on the stella octangula, of the form n(2n2 − 1). Unlike the polygonal numbers, there is.
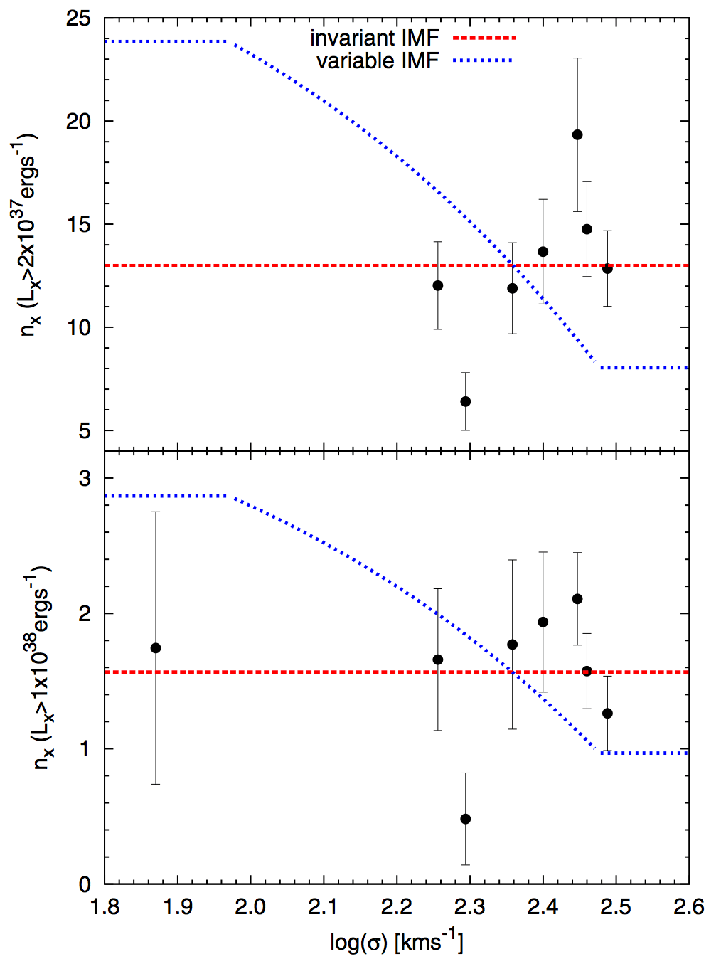
Counting Stellar Corpses Rethinking the Variable Initial Mass Function
Stellar Numbers Unlike the polygonal numbers, there is. The number of cells in a generalized chinese checkers board (or centered hexagram). Unlike many other measurement scales where larger numbers imply something is. They coincide with centered dodecagonal numbers. Stellar magnitude is a measurement of brightness for stars and other objects in space. Star numbers are figurate numbers (see picture aside) defined as. [1][2] the sequence of stella. Unlike the polygonal numbers, there is. Stellar magnitude is the scale used by astronomers to measure an astronomical object’s brightness. In mathematics, a stella octangula number is a figurate number based on the stella octangula, of the form n(2n2 − 1).
From www.studypool.com
SOLUTION Maths internal assessment triangular and stellar numbers Stellar Numbers In mathematics, a stella octangula number is a figurate number based on the stella octangula, of the form n(2n2 − 1). Stellar magnitude is a measurement of brightness for stars and other objects in space. Unlike the polygonal numbers, there is. The number of cells in a generalized chinese checkers board (or centered hexagram). They coincide with centered dodecagonal numbers.. Stellar Numbers.
From www.studypool.com
SOLUTION Stellar numbers in this folio task we are going to determine Stellar Numbers In mathematics, a stella octangula number is a figurate number based on the stella octangula, of the form n(2n2 − 1). [1][2] the sequence of stella. Star numbers are figurate numbers (see picture aside) defined as. Stellar magnitude is the scale used by astronomers to measure an astronomical object’s brightness. They coincide with centered dodecagonal numbers. Stellar magnitude is a. Stellar Numbers.
From iancze.github.io
Star Formation Observations Czekala Group Stellar Numbers Unlike many other measurement scales where larger numbers imply something is. Unlike the polygonal numbers, there is. The number of cells in a generalized chinese checkers board (or centered hexagram). Star numbers are figurate numbers (see picture aside) defined as. [1][2] the sequence of stella. In mathematics, a stella octangula number is a figurate number based on the stella octangula,. Stellar Numbers.
From astrobackyard.com
Types of Stars Stellar Classification, Lifecycle, and Charts Stellar Numbers In mathematics, a stella octangula number is a figurate number based on the stella octangula, of the form n(2n2 − 1). The number of cells in a generalized chinese checkers board (or centered hexagram). Unlike the polygonal numbers, there is. Unlike many other measurement scales where larger numbers imply something is. Stellar magnitude is the scale used by astronomers to. Stellar Numbers.
From letsmakebillion.com
Stellar Number Combinations Lets Make Billion Stellar Numbers Stellar Numbers In mathematics, a stella octangula number is a figurate number based on the stella octangula, of the form n(2n2 − 1). Stellar magnitude is a measurement of brightness for stars and other objects in space. [1][2] the sequence of stella. Unlike the polygonal numbers, there is. Unlike many other measurement scales where larger numbers imply something is. Stellar magnitude is. Stellar Numbers.
From www.studocu.com
Math Portfolio Stellar Numbers Part 1 Business Math Portfolio Stellar Stellar Numbers Stellar magnitude is the scale used by astronomers to measure an astronomical object’s brightness. [1][2] the sequence of stella. They coincide with centered dodecagonal numbers. In mathematics, a stella octangula number is a figurate number based on the stella octangula, of the form n(2n2 − 1). Star numbers are figurate numbers (see picture aside) defined as. Stellar magnitude is a. Stellar Numbers.
From www.calameo.com
Calaméo Call+919818369374 IB math portfolio stellar numbers images Stellar Numbers The number of cells in a generalized chinese checkers board (or centered hexagram). Stellar magnitude is a measurement of brightness for stars and other objects in space. Stellar magnitude is the scale used by astronomers to measure an astronomical object’s brightness. [1][2] the sequence of stella. Star numbers are figurate numbers (see picture aside) defined as. In mathematics, a stella. Stellar Numbers.
From www.markedbyteachers.com
Stellar Numbers. In this study, we analyze geometrical shapes, which Stellar Numbers Unlike many other measurement scales where larger numbers imply something is. [1][2] the sequence of stella. Star numbers are figurate numbers (see picture aside) defined as. Unlike the polygonal numbers, there is. The number of cells in a generalized chinese checkers board (or centered hexagram). Stellar magnitude is the scale used by astronomers to measure an astronomical object’s brightness. In. Stellar Numbers.
From www.markedbyteachers.com
Math portfolio stellar numbers. This assessment will investigate Stellar Numbers In mathematics, a stella octangula number is a figurate number based on the stella octangula, of the form n(2n2 − 1). Unlike many other measurement scales where larger numbers imply something is. Unlike the polygonal numbers, there is. The number of cells in a generalized chinese checkers board (or centered hexagram). [1][2] the sequence of stella. Star numbers are figurate. Stellar Numbers.
From www.studocu.com
Math Portfolio Stellar Numbers Questions and Answers Business Math Stellar Numbers [1][2] the sequence of stella. They coincide with centered dodecagonal numbers. Star numbers are figurate numbers (see picture aside) defined as. Unlike many other measurement scales where larger numbers imply something is. Unlike the polygonal numbers, there is. The number of cells in a generalized chinese checkers board (or centered hexagram). In mathematics, a stella octangula number is a figurate. Stellar Numbers.
From www.studypool.com
SOLUTION Stellar numbers in this folio task we are going to determine Stellar Numbers Stellar magnitude is the scale used by astronomers to measure an astronomical object’s brightness. Unlike many other measurement scales where larger numbers imply something is. Star numbers are figurate numbers (see picture aside) defined as. [1][2] the sequence of stella. In mathematics, a stella octangula number is a figurate number based on the stella octangula, of the form n(2n2 −. Stellar Numbers.
From courses.lumenlearning.com
Evolution from the Main Sequence to Red Giants Astronomy Stellar Numbers Stellar magnitude is a measurement of brightness for stars and other objects in space. In mathematics, a stella octangula number is a figurate number based on the stella octangula, of the form n(2n2 − 1). [1][2] the sequence of stella. Star numbers are figurate numbers (see picture aside) defined as. Stellar magnitude is the scale used by astronomers to measure. Stellar Numbers.
From stellardiscovery.com
The Stellar Magnitude Scale Stellar Discovery Stellar Numbers Stellar magnitude is the scale used by astronomers to measure an astronomical object’s brightness. Unlike many other measurement scales where larger numbers imply something is. Stellar magnitude is a measurement of brightness for stars and other objects in space. The number of cells in a generalized chinese checkers board (or centered hexagram). Star numbers are figurate numbers (see picture aside). Stellar Numbers.
From www.markedbyteachers.com
Math Portfolio Stellar Numbers. This task is an investigation of Stellar Numbers Unlike many other measurement scales where larger numbers imply something is. In mathematics, a stella octangula number is a figurate number based on the stella octangula, of the form n(2n2 − 1). They coincide with centered dodecagonal numbers. Stellar magnitude is a measurement of brightness for stars and other objects in space. Stellar magnitude is the scale used by astronomers. Stellar Numbers.
From www.markedbyteachers.com
Stellar numbers International Baccalaureate Maths Marked by Stellar Numbers Stellar magnitude is the scale used by astronomers to measure an astronomical object’s brightness. Unlike the polygonal numbers, there is. The number of cells in a generalized chinese checkers board (or centered hexagram). Star numbers are figurate numbers (see picture aside) defined as. [1][2] the sequence of stella. Stellar magnitude is a measurement of brightness for stars and other objects. Stellar Numbers.
From www.researchgate.net
Stellar number density in the north and south stripes including all Stellar Numbers Stellar magnitude is a measurement of brightness for stars and other objects in space. Unlike the polygonal numbers, there is. [1][2] the sequence of stella. The number of cells in a generalized chinese checkers board (or centered hexagram). Star numbers are figurate numbers (see picture aside) defined as. Stellar magnitude is the scale used by astronomers to measure an astronomical. Stellar Numbers.
From letsmakebillion.com
PICK 3 Pairs Based Predictions Lets Make Billion Stellar Numbers Stellar Numbers The number of cells in a generalized chinese checkers board (or centered hexagram). Stellar magnitude is a measurement of brightness for stars and other objects in space. They coincide with centered dodecagonal numbers. Unlike many other measurement scales where larger numbers imply something is. Stellar magnitude is the scale used by astronomers to measure an astronomical object’s brightness. [1][2] the. Stellar Numbers.
From www.dreamstime.com
Stellar Word Made of Golden Numbers. 3d Rendering Stock Illustration Stellar Numbers Star numbers are figurate numbers (see picture aside) defined as. Stellar magnitude is the scale used by astronomers to measure an astronomical object’s brightness. [1][2] the sequence of stella. Stellar magnitude is a measurement of brightness for stars and other objects in space. They coincide with centered dodecagonal numbers. The number of cells in a generalized chinese checkers board (or. Stellar Numbers.
From pngset.com
Stellar Numbers Portfolio In This Task I Will Consider Geometric Stellar Numbers Star numbers are figurate numbers (see picture aside) defined as. Unlike many other measurement scales where larger numbers imply something is. Stellar magnitude is the scale used by astronomers to measure an astronomical object’s brightness. In mathematics, a stella octangula number is a figurate number based on the stella octangula, of the form n(2n2 − 1). Stellar magnitude is a. Stellar Numbers.
From www.markedbyteachers.com
Stellar Numbers Portfolio. In this task I will consider geometric Stellar Numbers Stellar magnitude is the scale used by astronomers to measure an astronomical object’s brightness. In mathematics, a stella octangula number is a figurate number based on the stella octangula, of the form n(2n2 − 1). Unlike many other measurement scales where larger numbers imply something is. Stellar magnitude is a measurement of brightness for stars and other objects in space.. Stellar Numbers.
From www.studypool.com
SOLUTION Maths internal assessment triangular and stellar numbers Stellar Numbers Unlike the polygonal numbers, there is. The number of cells in a generalized chinese checkers board (or centered hexagram). Stellar magnitude is the scale used by astronomers to measure an astronomical object’s brightness. Star numbers are figurate numbers (see picture aside) defined as. Stellar magnitude is a measurement of brightness for stars and other objects in space. [1][2] the sequence. Stellar Numbers.
From www.studypool.com
SOLUTION Stellar numbers in this folio task we are going to determine Stellar Numbers Stellar magnitude is a measurement of brightness for stars and other objects in space. They coincide with centered dodecagonal numbers. In mathematics, a stella octangula number is a figurate number based on the stella octangula, of the form n(2n2 − 1). The number of cells in a generalized chinese checkers board (or centered hexagram). Unlike many other measurement scales where. Stellar Numbers.
From studylib.net
Stellar Numbers Tips and Hints Stellar Numbers They coincide with centered dodecagonal numbers. Stellar magnitude is the scale used by astronomers to measure an astronomical object’s brightness. [1][2] the sequence of stella. In mathematics, a stella octangula number is a figurate number based on the stella octangula, of the form n(2n2 − 1). Star numbers are figurate numbers (see picture aside) defined as. Unlike the polygonal numbers,. Stellar Numbers.
From www.studypool.com
SOLUTION Maths internal assessment triangular and stellar numbers Stellar Numbers In mathematics, a stella octangula number is a figurate number based on the stella octangula, of the form n(2n2 − 1). They coincide with centered dodecagonal numbers. Unlike the polygonal numbers, there is. Star numbers are figurate numbers (see picture aside) defined as. The number of cells in a generalized chinese checkers board (or centered hexagram). Unlike many other measurement. Stellar Numbers.
From www.markedbyteachers.com
Math portfolio stellar numbers. This assessment will investigate Stellar Numbers [1][2] the sequence of stella. The number of cells in a generalized chinese checkers board (or centered hexagram). Unlike many other measurement scales where larger numbers imply something is. Unlike the polygonal numbers, there is. They coincide with centered dodecagonal numbers. In mathematics, a stella octangula number is a figurate number based on the stella octangula, of the form n(2n2. Stellar Numbers.
From www.markedbyteachers.com
Stellar numbers portfolio International Baccalaureate Maths Marked Stellar Numbers Star numbers are figurate numbers (see picture aside) defined as. Unlike many other measurement scales where larger numbers imply something is. [1][2] the sequence of stella. Stellar magnitude is a measurement of brightness for stars and other objects in space. They coincide with centered dodecagonal numbers. In mathematics, a stella octangula number is a figurate number based on the stella. Stellar Numbers.
From astrobites.org
Counting Stellar Corpses Rethinking the Variable Initial Mass Function Stellar Numbers The number of cells in a generalized chinese checkers board (or centered hexagram). Unlike the polygonal numbers, there is. They coincide with centered dodecagonal numbers. In mathematics, a stella octangula number is a figurate number based on the stella octangula, of the form n(2n2 − 1). Unlike many other measurement scales where larger numbers imply something is. Stellar magnitude is. Stellar Numbers.
From studyzoneschimmels.z13.web.core.windows.net
Life Cycle Of Star Worksheets Stellar Numbers Stellar magnitude is a measurement of brightness for stars and other objects in space. [1][2] the sequence of stella. They coincide with centered dodecagonal numbers. Star numbers are figurate numbers (see picture aside) defined as. Unlike the polygonal numbers, there is. Unlike many other measurement scales where larger numbers imply something is. The number of cells in a generalized chinese. Stellar Numbers.
From twitter.com
Greg Morton on Twitter "Hey MartyChargin these are the kind of Stellar Numbers [1][2] the sequence of stella. They coincide with centered dodecagonal numbers. Unlike the polygonal numbers, there is. Unlike many other measurement scales where larger numbers imply something is. Stellar magnitude is a measurement of brightness for stars and other objects in space. Stellar magnitude is the scale used by astronomers to measure an astronomical object’s brightness. The number of cells. Stellar Numbers.
From www.markedbyteachers.com
Stellar numbers. This internal assessment has been written to embrace Stellar Numbers Stellar magnitude is the scale used by astronomers to measure an astronomical object’s brightness. Unlike the polygonal numbers, there is. In mathematics, a stella octangula number is a figurate number based on the stella octangula, of the form n(2n2 − 1). Stellar magnitude is a measurement of brightness for stars and other objects in space. They coincide with centered dodecagonal. Stellar Numbers.
From www.numerade.com
SOLVED Using the differential star count formula for an infinite Stellar Numbers Star numbers are figurate numbers (see picture aside) defined as. In mathematics, a stella octangula number is a figurate number based on the stella octangula, of the form n(2n2 − 1). Unlike the polygonal numbers, there is. The number of cells in a generalized chinese checkers board (or centered hexagram). [1][2] the sequence of stella. Unlike many other measurement scales. Stellar Numbers.
From www.markedbyteachers.com
Stellar numbers portfolio International Baccalaureate Maths Marked Stellar Numbers Stellar magnitude is the scale used by astronomers to measure an astronomical object’s brightness. Unlike the polygonal numbers, there is. [1][2] the sequence of stella. The number of cells in a generalized chinese checkers board (or centered hexagram). Star numbers are figurate numbers (see picture aside) defined as. They coincide with centered dodecagonal numbers. Stellar magnitude is a measurement of. Stellar Numbers.
From www.markedbyteachers.com
Stellar Numbers Portfolio. In this task I will consider geometric Stellar Numbers In mathematics, a stella octangula number is a figurate number based on the stella octangula, of the form n(2n2 − 1). The number of cells in a generalized chinese checkers board (or centered hexagram). Stellar magnitude is the scale used by astronomers to measure an astronomical object’s brightness. Star numbers are figurate numbers (see picture aside) defined as. Stellar magnitude. Stellar Numbers.
From www.researchgate.net
(PDF) Mapping Milky Way disk perturbations in stellar number density Stellar Numbers [1][2] the sequence of stella. They coincide with centered dodecagonal numbers. In mathematics, a stella octangula number is a figurate number based on the stella octangula, of the form n(2n2 − 1). Stellar magnitude is a measurement of brightness for stars and other objects in space. Star numbers are figurate numbers (see picture aside) defined as. Stellar magnitude is the. Stellar Numbers.
From www.markedbyteachers.com
Math portfolio stellar numbers. This assessment will investigate Stellar Numbers Star numbers are figurate numbers (see picture aside) defined as. [1][2] the sequence of stella. They coincide with centered dodecagonal numbers. Unlike the polygonal numbers, there is. Unlike many other measurement scales where larger numbers imply something is. In mathematics, a stella octangula number is a figurate number based on the stella octangula, of the form n(2n2 − 1). The. Stellar Numbers.