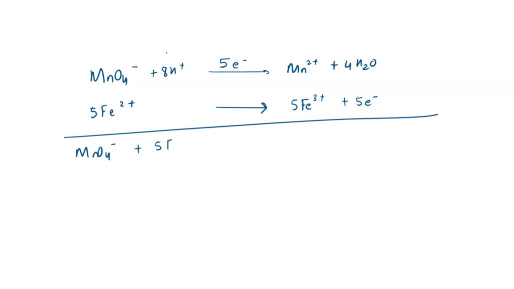
Redox Titration With Potassium Permanganate Lab Report Discussion .  the purpose of the experiment was to observe the redox titration of potassium permanganate and sodium oxalate in an. Reaction of ferrous ion with permanganate.  the purpose of this lab was to standardize potassium permanganate solution and to determine the percent by mass of iron in a salt. Following this discussion, a derivation.  to evaluate a redox titration we need to know the shape of its titration curve.  fe analysis by redox titration.  redox titration of potassium permanganate.  the second part of the experiment is a redox titration. The purpose of this experiment is to determine the iron. You will use potassium permanganate to oxidize a solution.  the discussion below goes into further detail about each of these potentials and explains how to calculate each. Potassium permanganate is a widely used as an.    — because this reaction is rapid and goes to completion, potassium permanganate (kmno 4) is widely used as a reactant for determining the.
        
        from www.studocu.com 
     
        
        Potassium permanganate is a widely used as an.  to evaluate a redox titration we need to know the shape of its titration curve.  fe analysis by redox titration. You will use potassium permanganate to oxidize a solution.    — because this reaction is rapid and goes to completion, potassium permanganate (kmno 4) is widely used as a reactant for determining the.  the purpose of this lab was to standardize potassium permanganate solution and to determine the percent by mass of iron in a salt. Reaction of ferrous ion with permanganate. The purpose of this experiment is to determine the iron.  redox titration of potassium permanganate. Following this discussion, a derivation.
    
    	
            
	
		 
         
    Handling and storage OF Potassium Permanganate lab report for students 
    Redox Titration With Potassium Permanganate Lab Report Discussion   the second part of the experiment is a redox titration. Reaction of ferrous ion with permanganate.  redox titration of potassium permanganate.  the discussion below goes into further detail about each of these potentials and explains how to calculate each.  to evaluate a redox titration we need to know the shape of its titration curve.  the purpose of this lab was to standardize potassium permanganate solution and to determine the percent by mass of iron in a salt.  the purpose of the experiment was to observe the redox titration of potassium permanganate and sodium oxalate in an.    — because this reaction is rapid and goes to completion, potassium permanganate (kmno 4) is widely used as a reactant for determining the.  the second part of the experiment is a redox titration. The purpose of this experiment is to determine the iron. Following this discussion, a derivation.  fe analysis by redox titration. You will use potassium permanganate to oxidize a solution. Potassium permanganate is a widely used as an.
            
	
		 
         
 
    
        From studylib.net 
                    Redox Titration The Standardization of Potassium Permanganate Redox Titration With Potassium Permanganate Lab Report Discussion   the second part of the experiment is a redox titration. Following this discussion, a derivation.  redox titration of potassium permanganate. The purpose of this experiment is to determine the iron. Potassium permanganate is a widely used as an.  to evaluate a redox titration we need to know the shape of its titration curve.  fe analysis by. Redox Titration With Potassium Permanganate Lab Report Discussion.
     
    
        From www.studypool.com 
                    SOLUTION Chemistry lab report redox titration permanganate Studypool Redox Titration With Potassium Permanganate Lab Report Discussion  Following this discussion, a derivation.  the discussion below goes into further detail about each of these potentials and explains how to calculate each.  to evaluate a redox titration we need to know the shape of its titration curve.    — because this reaction is rapid and goes to completion, potassium permanganate (kmno 4) is widely used as a. Redox Titration With Potassium Permanganate Lab Report Discussion.
     
    
        From www.slideshare.net 
                    Potassium permanganate titrations Redox Titration With Potassium Permanganate Lab Report Discussion  Reaction of ferrous ion with permanganate. Potassium permanganate is a widely used as an.  fe analysis by redox titration. You will use potassium permanganate to oxidize a solution. Following this discussion, a derivation.  the purpose of this lab was to standardize potassium permanganate solution and to determine the percent by mass of iron in a salt. The purpose. Redox Titration With Potassium Permanganate Lab Report Discussion.
     
    
        From www.studypool.com 
                    SOLUTION Chemistry lab report redox titration permanganate Studypool Redox Titration With Potassium Permanganate Lab Report Discussion     — because this reaction is rapid and goes to completion, potassium permanganate (kmno 4) is widely used as a reactant for determining the.  the purpose of this lab was to standardize potassium permanganate solution and to determine the percent by mass of iron in a salt. Potassium permanganate is a widely used as an.  to evaluate a. Redox Titration With Potassium Permanganate Lab Report Discussion.
     
    
        From www.numerade.com 
                    SOLVED 4In experiment Standardization of potassium permanganate we Redox Titration With Potassium Permanganate Lab Report Discussion   redox titration of potassium permanganate.  to evaluate a redox titration we need to know the shape of its titration curve.  the purpose of the experiment was to observe the redox titration of potassium permanganate and sodium oxalate in an. The purpose of this experiment is to determine the iron.  the discussion below goes into further detail. Redox Titration With Potassium Permanganate Lab Report Discussion.
     
    
        From www.studypool.com 
                    SOLUTION Chemistry lab report redox titration permanganate Studypool Redox Titration With Potassium Permanganate Lab Report Discussion  Reaction of ferrous ion with permanganate.  the purpose of this lab was to standardize potassium permanganate solution and to determine the percent by mass of iron in a salt.  the discussion below goes into further detail about each of these potentials and explains how to calculate each. Following this discussion, a derivation.    — because this reaction is. Redox Titration With Potassium Permanganate Lab Report Discussion.
     
    
        From www.chegg.com 
                    Solved 10. Redox Titration Potassium permanganate, KMnO4 is Redox Titration With Potassium Permanganate Lab Report Discussion  Potassium permanganate is a widely used as an.  the purpose of this lab was to standardize potassium permanganate solution and to determine the percent by mass of iron in a salt.    — because this reaction is rapid and goes to completion, potassium permanganate (kmno 4) is widely used as a reactant for determining the. You will use potassium. Redox Titration With Potassium Permanganate Lab Report Discussion.
     
    
        From www.studocu.com 
                    Exp 3 OxidationReduction Determination of Iron by Titration with Redox Titration With Potassium Permanganate Lab Report Discussion  Following this discussion, a derivation.  to evaluate a redox titration we need to know the shape of its titration curve.    — because this reaction is rapid and goes to completion, potassium permanganate (kmno 4) is widely used as a reactant for determining the.  fe analysis by redox titration. Potassium permanganate is a widely used as an. . Redox Titration With Potassium Permanganate Lab Report Discussion.
     
    
        From dxoaafwnm.blob.core.windows.net 
                    Redox Titration Experiment Procedure at Margaret Campos blog Redox Titration With Potassium Permanganate Lab Report Discussion   the purpose of the experiment was to observe the redox titration of potassium permanganate and sodium oxalate in an. Reaction of ferrous ion with permanganate.  to evaluate a redox titration we need to know the shape of its titration curve.  redox titration of potassium permanganate. The purpose of this experiment is to determine the iron. Potassium permanganate. Redox Titration With Potassium Permanganate Lab Report Discussion.
     
    
        From www.studypool.com 
                    SOLUTION Redox titration ii use of potassium permanganate as an Redox Titration With Potassium Permanganate Lab Report Discussion  Reaction of ferrous ion with permanganate.  the second part of the experiment is a redox titration.  the purpose of this lab was to standardize potassium permanganate solution and to determine the percent by mass of iron in a salt. The purpose of this experiment is to determine the iron.  redox titration of potassium permanganate. Potassium permanganate is. Redox Titration With Potassium Permanganate Lab Report Discussion.
     
    
        From www.oceanproperty.co.th 
                    Experiment Redox Titrations Potassium Permanganate,, 41 OFF Redox Titration With Potassium Permanganate Lab Report Discussion   the purpose of the experiment was to observe the redox titration of potassium permanganate and sodium oxalate in an.  fe analysis by redox titration.  the discussion below goes into further detail about each of these potentials and explains how to calculate each. Potassium permanganate is a widely used as an.  the second part of the experiment. Redox Titration With Potassium Permanganate Lab Report Discussion.
     
    
        From www.scribd.com 
                    Hydrogen Peroxide Analysis Lab Redox Titration With Potassium Redox Titration With Potassium Permanganate Lab Report Discussion   the second part of the experiment is a redox titration.  redox titration of potassium permanganate. Following this discussion, a derivation.  the discussion below goes into further detail about each of these potentials and explains how to calculate each. The purpose of this experiment is to determine the iron. Potassium permanganate is a widely used as an. . Redox Titration With Potassium Permanganate Lab Report Discussion.
     
    
        From paperap.com 
                    Standardization Of Potassium Permanganate Lab Report Discussion Report Redox Titration With Potassium Permanganate Lab Report Discussion   redox titration of potassium permanganate.  to evaluate a redox titration we need to know the shape of its titration curve. You will use potassium permanganate to oxidize a solution. Following this discussion, a derivation.  the second part of the experiment is a redox titration.  the purpose of the experiment was to observe the redox titration of. Redox Titration With Potassium Permanganate Lab Report Discussion.
     
    
        From www.youtube.com 
                    Oxidation Reduction Titration with Potassium Permanganate, chemistry Redox Titration With Potassium Permanganate Lab Report Discussion   the purpose of this lab was to standardize potassium permanganate solution and to determine the percent by mass of iron in a salt.    — because this reaction is rapid and goes to completion, potassium permanganate (kmno 4) is widely used as a reactant for determining the.  the second part of the experiment is a redox titration. . Redox Titration With Potassium Permanganate Lab Report Discussion.
     
    
        From www.oceanproperty.co.th 
                    Experiment Redox Titrations Potassium Permanganate,, 41 OFF Redox Titration With Potassium Permanganate Lab Report Discussion   to evaluate a redox titration we need to know the shape of its titration curve. Reaction of ferrous ion with permanganate. Potassium permanganate is a widely used as an.  the purpose of this lab was to standardize potassium permanganate solution and to determine the percent by mass of iron in a salt.  the purpose of the experiment. Redox Titration With Potassium Permanganate Lab Report Discussion.
     
    
        From www.studocu.com 
                    Lab titration Redox titration permanganate Lab report Redox titration Redox Titration With Potassium Permanganate Lab Report Discussion   the purpose of the experiment was to observe the redox titration of potassium permanganate and sodium oxalate in an. You will use potassium permanganate to oxidize a solution. Reaction of ferrous ion with permanganate.  the second part of the experiment is a redox titration.  to evaluate a redox titration we need to know the shape of its. Redox Titration With Potassium Permanganate Lab Report Discussion.
     
    
        From www.hanlin.com 
                    Edexcel A Level Chemistry复习笔记6.1.9 Redox Titration Calculations翰林国际教育 Redox Titration With Potassium Permanganate Lab Report Discussion   the purpose of the experiment was to observe the redox titration of potassium permanganate and sodium oxalate in an. The purpose of this experiment is to determine the iron.    — because this reaction is rapid and goes to completion, potassium permanganate (kmno 4) is widely used as a reactant for determining the. Potassium permanganate is a widely used. Redox Titration With Potassium Permanganate Lab Report Discussion.
     
    
        From www.chegg.com 
                    Solved Lab 4 Redox Titration with Potassium Permanganate Redox Titration With Potassium Permanganate Lab Report Discussion  The purpose of this experiment is to determine the iron.  the second part of the experiment is a redox titration. Reaction of ferrous ion with permanganate.  fe analysis by redox titration.  to evaluate a redox titration we need to know the shape of its titration curve. Potassium permanganate is a widely used as an.  the discussion. Redox Titration With Potassium Permanganate Lab Report Discussion.
     
    
        From www.studocu.com 
                    Handling and storage OF Potassium Permanganate lab report for students Redox Titration With Potassium Permanganate Lab Report Discussion  The purpose of this experiment is to determine the iron.  redox titration of potassium permanganate. Reaction of ferrous ion with permanganate. Following this discussion, a derivation.  to evaluate a redox titration we need to know the shape of its titration curve. Potassium permanganate is a widely used as an.    — because this reaction is rapid and goes. Redox Titration With Potassium Permanganate Lab Report Discussion.
     
    
        From www.studocu.com 
                    Lab 4 Redox Titration with Potassium Permanganate (KMnO4) Studocu Redox Titration With Potassium Permanganate Lab Report Discussion   fe analysis by redox titration. Reaction of ferrous ion with permanganate.  the second part of the experiment is a redox titration. Potassium permanganate is a widely used as an.  redox titration of potassium permanganate.  the discussion below goes into further detail about each of these potentials and explains how to calculate each. Following this discussion, a. Redox Titration With Potassium Permanganate Lab Report Discussion.
     
    
        From www.chegg.com 
                    Solved Lab 4 Redox Titration with Potassium Permanganate Redox Titration With Potassium Permanganate Lab Report Discussion     — because this reaction is rapid and goes to completion, potassium permanganate (kmno 4) is widely used as a reactant for determining the.  the discussion below goes into further detail about each of these potentials and explains how to calculate each. The purpose of this experiment is to determine the iron.  to evaluate a redox titration we. Redox Titration With Potassium Permanganate Lab Report Discussion.
     
    
        From www.numerade.com 
                    SOLVED Write the Redox titration report for determination of Fe2 Redox Titration With Potassium Permanganate Lab Report Discussion   to evaluate a redox titration we need to know the shape of its titration curve. Following this discussion, a derivation.  fe analysis by redox titration.  the second part of the experiment is a redox titration. Potassium permanganate is a widely used as an.    — because this reaction is rapid and goes to completion, potassium permanganate (kmno. Redox Titration With Potassium Permanganate Lab Report Discussion.
     
    
        From studylib.net 
                    Experiment 8 Redox Titrations Potassium permanganate, KMnO4 Redox Titration With Potassium Permanganate Lab Report Discussion   redox titration of potassium permanganate. You will use potassium permanganate to oxidize a solution.  the purpose of the experiment was to observe the redox titration of potassium permanganate and sodium oxalate in an.  the discussion below goes into further detail about each of these potentials and explains how to calculate each.    — because this reaction is. Redox Titration With Potassium Permanganate Lab Report Discussion.
     
    
        From exonshhzb.blob.core.windows.net 
                    End Point Detection In Permanganate Titration at Marlene Ball blog Redox Titration With Potassium Permanganate Lab Report Discussion   the purpose of this lab was to standardize potassium permanganate solution and to determine the percent by mass of iron in a salt.  the second part of the experiment is a redox titration.  to evaluate a redox titration we need to know the shape of its titration curve. The purpose of this experiment is to determine the. Redox Titration With Potassium Permanganate Lab Report Discussion.
     
    
        From partokarnokinos.blogspot.com 
                    redox titration lab report im at a point in my life Redox Titration With Potassium Permanganate Lab Report Discussion  The purpose of this experiment is to determine the iron.  to evaluate a redox titration we need to know the shape of its titration curve. Potassium permanganate is a widely used as an. Following this discussion, a derivation. Reaction of ferrous ion with permanganate. You will use potassium permanganate to oxidize a solution.  fe analysis by redox titration.. Redox Titration With Potassium Permanganate Lab Report Discussion.
     
    
        From www.youtube.com 
                    REDOX TITRATION IRON 2+ WITH POTASSIUM PERMANGANATE YouTube Redox Titration With Potassium Permanganate Lab Report Discussion     — because this reaction is rapid and goes to completion, potassium permanganate (kmno 4) is widely used as a reactant for determining the.  the purpose of this lab was to standardize potassium permanganate solution and to determine the percent by mass of iron in a salt.  to evaluate a redox titration we need to know the shape. Redox Titration With Potassium Permanganate Lab Report Discussion.
     
    
        From www.studocu.com 
                    Redox titration lab Purpose The purpose of the lab was to standardize Redox Titration With Potassium Permanganate Lab Report Discussion   the second part of the experiment is a redox titration. Reaction of ferrous ion with permanganate.  redox titration of potassium permanganate. Following this discussion, a derivation. Potassium permanganate is a widely used as an.  the purpose of the experiment was to observe the redox titration of potassium permanganate and sodium oxalate in an.  the purpose of. Redox Titration With Potassium Permanganate Lab Report Discussion.
     
    
        From slidetodoc.com 
                    Titration Colour Changes SLSS Science Limerick Education Centre Redox Titration With Potassium Permanganate Lab Report Discussion     — because this reaction is rapid and goes to completion, potassium permanganate (kmno 4) is widely used as a reactant for determining the.  the discussion below goes into further detail about each of these potentials and explains how to calculate each. You will use potassium permanganate to oxidize a solution.  fe analysis by redox titration.  the. Redox Titration With Potassium Permanganate Lab Report Discussion.
     
    
        From studylib.net 
                    Analytical Chemistry lecture note Application of Redox titration Redox Titration With Potassium Permanganate Lab Report Discussion   the purpose of the experiment was to observe the redox titration of potassium permanganate and sodium oxalate in an.  the discussion below goes into further detail about each of these potentials and explains how to calculate each.    — because this reaction is rapid and goes to completion, potassium permanganate (kmno 4) is widely used as a reactant. Redox Titration With Potassium Permanganate Lab Report Discussion.
     
    
        From www.scribd.com 
                    Chemistry Practical Class XII Oxalic Acid Potassium Permanganate Redox Titration With Potassium Permanganate Lab Report Discussion   the purpose of the experiment was to observe the redox titration of potassium permanganate and sodium oxalate in an.    — because this reaction is rapid and goes to completion, potassium permanganate (kmno 4) is widely used as a reactant for determining the.  fe analysis by redox titration.  the discussion below goes into further detail about each. Redox Titration With Potassium Permanganate Lab Report Discussion.
     
    
        From www.chegg.com 
                    Solved Lab 4 Redox Titration with Potassium Permanganate Redox Titration With Potassium Permanganate Lab Report Discussion   the second part of the experiment is a redox titration.  the purpose of the experiment was to observe the redox titration of potassium permanganate and sodium oxalate in an.  redox titration of potassium permanganate. You will use potassium permanganate to oxidize a solution.  the purpose of this lab was to standardize potassium permanganate solution and to. Redox Titration With Potassium Permanganate Lab Report Discussion.
     
    
        From www.youtube.com 
                    Redox Titration w/Potassium Permanganate YouTube Redox Titration With Potassium Permanganate Lab Report Discussion   fe analysis by redox titration. Reaction of ferrous ion with permanganate. The purpose of this experiment is to determine the iron.  the discussion below goes into further detail about each of these potentials and explains how to calculate each.  to evaluate a redox titration we need to know the shape of its titration curve.  the purpose. Redox Titration With Potassium Permanganate Lab Report Discussion.
     
    
        From www.numerade.com 
                    SOLVED Write the Redox titration report for determination of Fe2 Redox Titration With Potassium Permanganate Lab Report Discussion   the purpose of the experiment was to observe the redox titration of potassium permanganate and sodium oxalate in an.  the discussion below goes into further detail about each of these potentials and explains how to calculate each.    — because this reaction is rapid and goes to completion, potassium permanganate (kmno 4) is widely used as a reactant. Redox Titration With Potassium Permanganate Lab Report Discussion.
     
    
        From www.oceanproperty.co.th 
                    Experiment Redox Titrations Potassium Permanganate,, 41 OFF Redox Titration With Potassium Permanganate Lab Report Discussion   the purpose of the experiment was to observe the redox titration of potassium permanganate and sodium oxalate in an. You will use potassium permanganate to oxidize a solution. Potassium permanganate is a widely used as an.  the second part of the experiment is a redox titration. The purpose of this experiment is to determine the iron.  the. Redox Titration With Potassium Permanganate Lab Report Discussion.
     
    
        From www.studypool.com 
                    SOLUTION Chemistry lab report redox titration permanganate Studypool Redox Titration With Potassium Permanganate Lab Report Discussion  You will use potassium permanganate to oxidize a solution.  redox titration of potassium permanganate.  the purpose of the experiment was to observe the redox titration of potassium permanganate and sodium oxalate in an. The purpose of this experiment is to determine the iron. Following this discussion, a derivation.  the discussion below goes into further detail about each. Redox Titration With Potassium Permanganate Lab Report Discussion.