Nozzle Head Loss . Different nozzle diameters can be used to demonstrate the effects of minor losses on pipe flow. Orifice head loss, also called orifice pressure drop, is the pressure drop or decrease in fluid pressure caused by the presence of an orifice plate in a pipeline. Head loss is unavoidable in. Head loss is computed as h=k m v 2 /2g where v is the pipe velocity. The orifice, nozzle and venturi flow rate meters makes the use of the bernoulli equation to calculate fluid flow rate using pressure difference through obstructions in the flow. The energy equation is the primary solution tool used. K m is computed to allow you to design pipe systems with nozzles and incorporate their head loss. Head loss is a measure of the reduction in the total head (sum of elevation head, velocity head and pressure head) of the fluid as it moves through a fluid system. For a sudden contraction from 150 to 40mm the head loss is approximately 0.5*v*v/(2g) where v is the velocity in the.
from www.thermal-engineering.org
K m is computed to allow you to design pipe systems with nozzles and incorporate their head loss. For a sudden contraction from 150 to 40mm the head loss is approximately 0.5*v*v/(2g) where v is the velocity in the. Head loss is computed as h=k m v 2 /2g where v is the pipe velocity. Head loss is unavoidable in. The orifice, nozzle and venturi flow rate meters makes the use of the bernoulli equation to calculate fluid flow rate using pressure difference through obstructions in the flow. The energy equation is the primary solution tool used. Different nozzle diameters can be used to demonstrate the effects of minor losses on pipe flow. Orifice head loss, also called orifice pressure drop, is the pressure drop or decrease in fluid pressure caused by the presence of an orifice plate in a pipeline. Head loss is a measure of the reduction in the total head (sum of elevation head, velocity head and pressure head) of the fluid as it moves through a fluid system.
What is Major Head Loss Friction Loss Definition
Nozzle Head Loss The orifice, nozzle and venturi flow rate meters makes the use of the bernoulli equation to calculate fluid flow rate using pressure difference through obstructions in the flow. Head loss is a measure of the reduction in the total head (sum of elevation head, velocity head and pressure head) of the fluid as it moves through a fluid system. The orifice, nozzle and venturi flow rate meters makes the use of the bernoulli equation to calculate fluid flow rate using pressure difference through obstructions in the flow. Head loss is computed as h=k m v 2 /2g where v is the pipe velocity. Orifice head loss, also called orifice pressure drop, is the pressure drop or decrease in fluid pressure caused by the presence of an orifice plate in a pipeline. Different nozzle diameters can be used to demonstrate the effects of minor losses on pipe flow. Head loss is unavoidable in. The energy equation is the primary solution tool used. K m is computed to allow you to design pipe systems with nozzles and incorporate their head loss. For a sudden contraction from 150 to 40mm the head loss is approximately 0.5*v*v/(2g) where v is the velocity in the.
From www.youtube.com
Air enters a nozzle steadily it * 2.21kg / (m ^ 3) and 40 m/s and Nozzle Head Loss For a sudden contraction from 150 to 40mm the head loss is approximately 0.5*v*v/(2g) where v is the velocity in the. Orifice head loss, also called orifice pressure drop, is the pressure drop or decrease in fluid pressure caused by the presence of an orifice plate in a pipeline. Different nozzle diameters can be used to demonstrate the effects of. Nozzle Head Loss.
From www.youtube.com
Head loss due to Sudden Contraction in a pipe flow // Deivation by Nozzle Head Loss For a sudden contraction from 150 to 40mm the head loss is approximately 0.5*v*v/(2g) where v is the velocity in the. The energy equation is the primary solution tool used. Different nozzle diameters can be used to demonstrate the effects of minor losses on pipe flow. K m is computed to allow you to design pipe systems with nozzles and. Nozzle Head Loss.
From www.youtube.com
Thermodynamics Steady Flow Energy Balance (1st Law), Nozzle YouTube Nozzle Head Loss The orifice, nozzle and venturi flow rate meters makes the use of the bernoulli equation to calculate fluid flow rate using pressure difference through obstructions in the flow. Head loss is computed as h=k m v 2 /2g where v is the pipe velocity. Orifice head loss, also called orifice pressure drop, is the pressure drop or decrease in fluid. Nozzle Head Loss.
From www.youtube.com
Head loss when pipe in Parallel YouTube Nozzle Head Loss The energy equation is the primary solution tool used. Head loss is a measure of the reduction in the total head (sum of elevation head, velocity head and pressure head) of the fluid as it moves through a fluid system. Head loss is unavoidable in. For a sudden contraction from 150 to 40mm the head loss is approximately 0.5*v*v/(2g) where. Nozzle Head Loss.
From www.mepskills.com
How to find Head Loss or Friction Loss or Frictional Pressure Drop Nozzle Head Loss The orifice, nozzle and venturi flow rate meters makes the use of the bernoulli equation to calculate fluid flow rate using pressure difference through obstructions in the flow. Head loss is unavoidable in. K m is computed to allow you to design pipe systems with nozzles and incorporate their head loss. Head loss is a measure of the reduction in. Nozzle Head Loss.
From www.youtube.com
Part 1 Understanding Friction Head Loss in Pipes A Comprehensive Nozzle Head Loss Different nozzle diameters can be used to demonstrate the effects of minor losses on pipe flow. The orifice, nozzle and venturi flow rate meters makes the use of the bernoulli equation to calculate fluid flow rate using pressure difference through obstructions in the flow. Head loss is a measure of the reduction in the total head (sum of elevation head,. Nozzle Head Loss.
From www.youtube.com
Formula for Nozzle Exit Velocity YouTube Nozzle Head Loss The energy equation is the primary solution tool used. Orifice head loss, also called orifice pressure drop, is the pressure drop or decrease in fluid pressure caused by the presence of an orifice plate in a pipeline. For a sudden contraction from 150 to 40mm the head loss is approximately 0.5*v*v/(2g) where v is the velocity in the. Head loss. Nozzle Head Loss.
From www.slideserve.com
PPT Flow Control and Measurement PowerPoint Presentation, free Nozzle Head Loss The orifice, nozzle and venturi flow rate meters makes the use of the bernoulli equation to calculate fluid flow rate using pressure difference through obstructions in the flow. Orifice head loss, also called orifice pressure drop, is the pressure drop or decrease in fluid pressure caused by the presence of an orifice plate in a pipeline. Head loss is a. Nozzle Head Loss.
From www.coursehero.com
[Solved] Calculate the loss of head due to friction and the power Nozzle Head Loss Head loss is a measure of the reduction in the total head (sum of elevation head, velocity head and pressure head) of the fluid as it moves through a fluid system. For a sudden contraction from 150 to 40mm the head loss is approximately 0.5*v*v/(2g) where v is the velocity in the. Head loss is unavoidable in. Orifice head loss,. Nozzle Head Loss.
From www.slideserve.com
PPT Introduction to Fluid Mechanics PowerPoint Presentation, free Nozzle Head Loss Head loss is computed as h=k m v 2 /2g where v is the pipe velocity. Orifice head loss, also called orifice pressure drop, is the pressure drop or decrease in fluid pressure caused by the presence of an orifice plate in a pipeline. The energy equation is the primary solution tool used. K m is computed to allow you. Nozzle Head Loss.
From www.coursehero.com
[Solved] A convergent divergent nozzle expands air at 6.89 bar and Nozzle Head Loss Head loss is unavoidable in. Orifice head loss, also called orifice pressure drop, is the pressure drop or decrease in fluid pressure caused by the presence of an orifice plate in a pipeline. The orifice, nozzle and venturi flow rate meters makes the use of the bernoulli equation to calculate fluid flow rate using pressure difference through obstructions in the. Nozzle Head Loss.
From www.youtube.com
how to compute head loss in laminar flow using DarcyWeisbach equation Nozzle Head Loss For a sudden contraction from 150 to 40mm the head loss is approximately 0.5*v*v/(2g) where v is the velocity in the. Head loss is unavoidable in. The energy equation is the primary solution tool used. Orifice head loss, also called orifice pressure drop, is the pressure drop or decrease in fluid pressure caused by the presence of an orifice plate. Nozzle Head Loss.
From aerospaceengineeringblog.com
Supersonic Aerodynamics Aerospace Engineering Blog Nozzle Head Loss For a sudden contraction from 150 to 40mm the head loss is approximately 0.5*v*v/(2g) where v is the velocity in the. Different nozzle diameters can be used to demonstrate the effects of minor losses on pipe flow. K m is computed to allow you to design pipe systems with nozzles and incorporate their head loss. Head loss is unavoidable in.. Nozzle Head Loss.
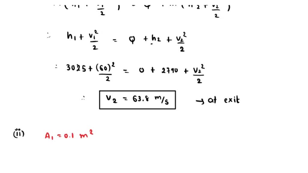
From www.numerade.com
SOLVED A nozzle inlet, enthalpy and velocity was 3000 kJ/kg 60 m/s Nozzle Head Loss Head loss is unavoidable in. Head loss is a measure of the reduction in the total head (sum of elevation head, velocity head and pressure head) of the fluid as it moves through a fluid system. Orifice head loss, also called orifice pressure drop, is the pressure drop or decrease in fluid pressure caused by the presence of an orifice. Nozzle Head Loss.
From mungfali.com
PVC Pipe Head Loss Chart Nozzle Head Loss Orifice head loss, also called orifice pressure drop, is the pressure drop or decrease in fluid pressure caused by the presence of an orifice plate in a pipeline. Different nozzle diameters can be used to demonstrate the effects of minor losses on pipe flow. Head loss is a measure of the reduction in the total head (sum of elevation head,. Nozzle Head Loss.
From www.youtube.com
Displacement on Heat Exchanger Nozzle YouTube Nozzle Head Loss K m is computed to allow you to design pipe systems with nozzles and incorporate their head loss. The orifice, nozzle and venturi flow rate meters makes the use of the bernoulli equation to calculate fluid flow rate using pressure difference through obstructions in the flow. Head loss is computed as h=k m v 2 /2g where v is the. Nozzle Head Loss.
From www.numerade.com
SOLVED Air enters a nozzle steadily at 50 psia, 140°F, and 150 ft/s Nozzle Head Loss Orifice head loss, also called orifice pressure drop, is the pressure drop or decrease in fluid pressure caused by the presence of an orifice plate in a pipeline. K m is computed to allow you to design pipe systems with nozzles and incorporate their head loss. Head loss is computed as h=k m v 2 /2g where v is the. Nozzle Head Loss.
From www.numerade.com
SOLVED 'Q3; A nozzle is a device for increasing the velocity of a Nozzle Head Loss The orifice, nozzle and venturi flow rate meters makes the use of the bernoulli equation to calculate fluid flow rate using pressure difference through obstructions in the flow. Different nozzle diameters can be used to demonstrate the effects of minor losses on pipe flow. Orifice head loss, also called orifice pressure drop, is the pressure drop or decrease in fluid. Nozzle Head Loss.
From ar.inspiredpencil.com
Head Loss Chart Nozzle Head Loss The orifice, nozzle and venturi flow rate meters makes the use of the bernoulli equation to calculate fluid flow rate using pressure difference through obstructions in the flow. Head loss is a measure of the reduction in the total head (sum of elevation head, velocity head and pressure head) of the fluid as it moves through a fluid system. K. Nozzle Head Loss.
From www.slideserve.com
PPT The First Law of Thermodynamics PowerPoint Presentation ID257602 Nozzle Head Loss The energy equation is the primary solution tool used. Different nozzle diameters can be used to demonstrate the effects of minor losses on pipe flow. K m is computed to allow you to design pipe systems with nozzles and incorporate their head loss. Orifice head loss, also called orifice pressure drop, is the pressure drop or decrease in fluid pressure. Nozzle Head Loss.
From rocketisp.readthedocs.io
Nozzle Efficiencies — RocketIsp 0.1.10 documentation Nozzle Head Loss Head loss is unavoidable in. Head loss is computed as h=k m v 2 /2g where v is the pipe velocity. The orifice, nozzle and venturi flow rate meters makes the use of the bernoulli equation to calculate fluid flow rate using pressure difference through obstructions in the flow. For a sudden contraction from 150 to 40mm the head loss. Nozzle Head Loss.
From www.grc.nasa.gov
Turbine Nozzle Performance Nozzle Head Loss For a sudden contraction from 150 to 40mm the head loss is approximately 0.5*v*v/(2g) where v is the velocity in the. Orifice head loss, also called orifice pressure drop, is the pressure drop or decrease in fluid pressure caused by the presence of an orifice plate in a pipeline. The orifice, nozzle and venturi flow rate meters makes the use. Nozzle Head Loss.
From www.chegg.com
Solved Air enters a nozzle steadily at 50 psia, 140 degree Nozzle Head Loss Orifice head loss, also called orifice pressure drop, is the pressure drop or decrease in fluid pressure caused by the presence of an orifice plate in a pipeline. Head loss is computed as h=k m v 2 /2g where v is the pipe velocity. Head loss is a measure of the reduction in the total head (sum of elevation head,. Nozzle Head Loss.
From mungfali.com
PVC Pipe Head Loss Chart Nozzle Head Loss Different nozzle diameters can be used to demonstrate the effects of minor losses on pipe flow. Head loss is computed as h=k m v 2 /2g where v is the pipe velocity. Head loss is unavoidable in. The orifice, nozzle and venturi flow rate meters makes the use of the bernoulli equation to calculate fluid flow rate using pressure difference. Nozzle Head Loss.
From www.prajval.in
Prajval.in Nozzle Head Loss Different nozzle diameters can be used to demonstrate the effects of minor losses on pipe flow. The orifice, nozzle and venturi flow rate meters makes the use of the bernoulli equation to calculate fluid flow rate using pressure difference through obstructions in the flow. Head loss is a measure of the reduction in the total head (sum of elevation head,. Nozzle Head Loss.
From www.researchgate.net
Estimation of frictional head loss Download Scientific Diagram Nozzle Head Loss K m is computed to allow you to design pipe systems with nozzles and incorporate their head loss. Head loss is computed as h=k m v 2 /2g where v is the pipe velocity. For a sudden contraction from 150 to 40mm the head loss is approximately 0.5*v*v/(2g) where v is the velocity in the. Head loss is a measure. Nozzle Head Loss.
From www.chegg.com
Solved Steam enters a nozzle at 400∘C and 800kPa with a Nozzle Head Loss Head loss is computed as h=k m v 2 /2g where v is the pipe velocity. The orifice, nozzle and venturi flow rate meters makes the use of the bernoulli equation to calculate fluid flow rate using pressure difference through obstructions in the flow. Head loss is a measure of the reduction in the total head (sum of elevation head,. Nozzle Head Loss.
From www.youtube.com
Head loss due to friction in a pipe using Moody Diagram and the Darcy Nozzle Head Loss Different nozzle diameters can be used to demonstrate the effects of minor losses on pipe flow. Head loss is unavoidable in. The orifice, nozzle and venturi flow rate meters makes the use of the bernoulli equation to calculate fluid flow rate using pressure difference through obstructions in the flow. Orifice head loss, also called orifice pressure drop, is the pressure. Nozzle Head Loss.
From www.youtube.com
Steady Flow Systems Nozzles and Diffusers Thermodynamics (Solved Nozzle Head Loss Different nozzle diameters can be used to demonstrate the effects of minor losses on pipe flow. Head loss is computed as h=k m v 2 /2g where v is the pipe velocity. K m is computed to allow you to design pipe systems with nozzles and incorporate their head loss. Head loss is a measure of the reduction in the. Nozzle Head Loss.
From www.researchgate.net
Numerical Analysis of Nozzle Heating and Erosion in Hybrid Rockets and Nozzle Head Loss For a sudden contraction from 150 to 40mm the head loss is approximately 0.5*v*v/(2g) where v is the velocity in the. Head loss is a measure of the reduction in the total head (sum of elevation head, velocity head and pressure head) of the fluid as it moves through a fluid system. The energy equation is the primary solution tool. Nozzle Head Loss.
From www.mdpi.com
Processes Free FullText Gas Flow and Ablation of 122 mm Supersonic Nozzle Head Loss Head loss is a measure of the reduction in the total head (sum of elevation head, velocity head and pressure head) of the fluid as it moves through a fluid system. The orifice, nozzle and venturi flow rate meters makes the use of the bernoulli equation to calculate fluid flow rate using pressure difference through obstructions in the flow. The. Nozzle Head Loss.
From www.researchgate.net
Schematic diagram of the testing nozzle Download Scientific Diagram Nozzle Head Loss Orifice head loss, also called orifice pressure drop, is the pressure drop or decrease in fluid pressure caused by the presence of an orifice plate in a pipeline. The energy equation is the primary solution tool used. Head loss is unavoidable in. K m is computed to allow you to design pipe systems with nozzles and incorporate their head loss.. Nozzle Head Loss.
From www.researchgate.net
3D Heat transfer of nozzle at t = 15 s Download Scientific Diagram Nozzle Head Loss Head loss is computed as h=k m v 2 /2g where v is the pipe velocity. The energy equation is the primary solution tool used. Head loss is unavoidable in. Orifice head loss, also called orifice pressure drop, is the pressure drop or decrease in fluid pressure caused by the presence of an orifice plate in a pipeline. The orifice,. Nozzle Head Loss.
From mungfali.com
PVC Pipe Head Loss Chart Nozzle Head Loss Different nozzle diameters can be used to demonstrate the effects of minor losses on pipe flow. The orifice, nozzle and venturi flow rate meters makes the use of the bernoulli equation to calculate fluid flow rate using pressure difference through obstructions in the flow. For a sudden contraction from 150 to 40mm the head loss is approximately 0.5*v*v/(2g) where v. Nozzle Head Loss.
From www.thermal-engineering.org
What is Major Head Loss Friction Loss Definition Nozzle Head Loss Head loss is computed as h=k m v 2 /2g where v is the pipe velocity. Orifice head loss, also called orifice pressure drop, is the pressure drop or decrease in fluid pressure caused by the presence of an orifice plate in a pipeline. Head loss is unavoidable in. Different nozzle diameters can be used to demonstrate the effects of. Nozzle Head Loss.