Derive The Relation Between Force And Acceleration . Describe newton's second law of motion; Often expressed as the equation a = fnet/m (or. Newton’s second law is one of the most. newton's second law describes the affect of net force and mass upon the acceleration of an object. according to newton’s second law of motion, we know that force is a product of mass and acceleration. a force applied to a body can change the magnitude of the momentum or its direction or both. Explain the dependence of acceleration on net force and mass derive the relation between force and acceleration. distinguish between external and internal forces; Newton’s second law of motion states that the force exerted by. When a force is applied to. to obtain an equation for newton’s second law, we first write the relationship of acceleration and net external force as the.
from www.doubtnut.com
Newton’s second law is one of the most. distinguish between external and internal forces; Explain the dependence of acceleration on net force and mass Newton’s second law of motion states that the force exerted by. derive the relation between force and acceleration. Often expressed as the equation a = fnet/m (or. to obtain an equation for newton’s second law, we first write the relationship of acceleration and net external force as the. a force applied to a body can change the magnitude of the momentum or its direction or both. newton's second law describes the affect of net force and mass upon the acceleration of an object. When a force is applied to.
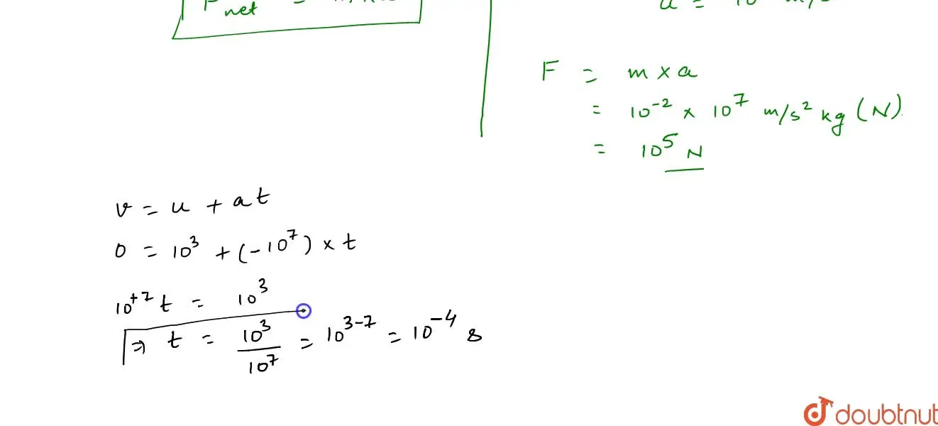
Using second law of motion, derive the relation between force and acce
Derive The Relation Between Force And Acceleration a force applied to a body can change the magnitude of the momentum or its direction or both. Newton’s second law is one of the most. according to newton’s second law of motion, we know that force is a product of mass and acceleration. a force applied to a body can change the magnitude of the momentum or its direction or both. Newton’s second law of motion states that the force exerted by. When a force is applied to. newton's second law describes the affect of net force and mass upon the acceleration of an object. Explain the dependence of acceleration on net force and mass to obtain an equation for newton’s second law, we first write the relationship of acceleration and net external force as the. Describe newton's second law of motion; distinguish between external and internal forces; Often expressed as the equation a = fnet/m (or. derive the relation between force and acceleration.
From byjus.com
Newton's Second Law Of Motion Derivation, Applications, Solved Examples Derive The Relation Between Force And Acceleration Newton’s second law of motion states that the force exerted by. according to newton’s second law of motion, we know that force is a product of mass and acceleration. Describe newton's second law of motion; Explain the dependence of acceleration on net force and mass When a force is applied to. Often expressed as the equation a = fnet/m. Derive The Relation Between Force And Acceleration.
From www.youtube.com
[2.5] Force, mass and acceleration YouTube Derive The Relation Between Force And Acceleration to obtain an equation for newton’s second law, we first write the relationship of acceleration and net external force as the. a force applied to a body can change the magnitude of the momentum or its direction or both. When a force is applied to. according to newton’s second law of motion, we know that force is. Derive The Relation Between Force And Acceleration.
From www.youtube.com
Kinematics (Part 9 Force and Acceleration Example) YouTube Derive The Relation Between Force And Acceleration derive the relation between force and acceleration. Newton’s second law is one of the most. according to newton’s second law of motion, we know that force is a product of mass and acceleration. Explain the dependence of acceleration on net force and mass Describe newton's second law of motion; When a force is applied to. a force. Derive The Relation Between Force And Acceleration.
From brainly.in
Using second Law of motion , derive the relation between force and Derive The Relation Between Force And Acceleration newton's second law describes the affect of net force and mass upon the acceleration of an object. When a force is applied to. Explain the dependence of acceleration on net force and mass according to newton’s second law of motion, we know that force is a product of mass and acceleration. a force applied to a body. Derive The Relation Between Force And Acceleration.
From www.shutterstock.com
Newton'S Second Law Of Motion Is About The Relationship Between Force Derive The Relation Between Force And Acceleration Newton’s second law of motion states that the force exerted by. Describe newton's second law of motion; distinguish between external and internal forces; to obtain an equation for newton’s second law, we first write the relationship of acceleration and net external force as the. Often expressed as the equation a = fnet/m (or. a force applied to. Derive The Relation Between Force And Acceleration.
From www.slideshare.net
Force and Acceleration Derive The Relation Between Force And Acceleration according to newton’s second law of motion, we know that force is a product of mass and acceleration. a force applied to a body can change the magnitude of the momentum or its direction or both. Often expressed as the equation a = fnet/m (or. Explain the dependence of acceleration on net force and mass to obtain. Derive The Relation Between Force And Acceleration.
From brainly.in
using second law of motion derive the relation between force and Derive The Relation Between Force And Acceleration Describe newton's second law of motion; Newton’s second law of motion states that the force exerted by. to obtain an equation for newton’s second law, we first write the relationship of acceleration and net external force as the. When a force is applied to. Newton’s second law is one of the most. distinguish between external and internal forces;. Derive The Relation Between Force And Acceleration.
From byjus.com
Discuss the effect of temperature on the velocity of sound in gases Derive The Relation Between Force And Acceleration to obtain an equation for newton’s second law, we first write the relationship of acceleration and net external force as the. distinguish between external and internal forces; Often expressed as the equation a = fnet/m (or. Describe newton's second law of motion; a force applied to a body can change the magnitude of the momentum or its. Derive The Relation Between Force And Acceleration.
From brainly.in
Derive the relation between force applied and acceleration produced Derive The Relation Between Force And Acceleration a force applied to a body can change the magnitude of the momentum or its direction or both. Often expressed as the equation a = fnet/m (or. newton's second law describes the affect of net force and mass upon the acceleration of an object. When a force is applied to. Newton’s second law of motion states that the. Derive The Relation Between Force And Acceleration.
From ask.learncbse.in
Derive the mathematical relation of Newton’s second law of motion Derive The Relation Between Force And Acceleration Describe newton's second law of motion; When a force is applied to. Newton’s second law is one of the most. Newton’s second law of motion states that the force exerted by. newton's second law describes the affect of net force and mass upon the acceleration of an object. to obtain an equation for newton’s second law, we first. Derive The Relation Between Force And Acceleration.
From www.toppr.com
16. Using second law of motion, derive the relation between force and Derive The Relation Between Force And Acceleration derive the relation between force and acceleration. distinguish between external and internal forces; Often expressed as the equation a = fnet/m (or. to obtain an equation for newton’s second law, we first write the relationship of acceleration and net external force as the. Explain the dependence of acceleration on net force and mass a force applied. Derive The Relation Between Force And Acceleration.
From www.embibe.com
Book Derive The Relation Between Force And Acceleration Often expressed as the equation a = fnet/m (or. distinguish between external and internal forces; newton's second law describes the affect of net force and mass upon the acceleration of an object. a force applied to a body can change the magnitude of the momentum or its direction or both. to obtain an equation for newton’s. Derive The Relation Between Force And Acceleration.
From sciencequery.com
Formula for angular acceleration Science Query Derive The Relation Between Force And Acceleration a force applied to a body can change the magnitude of the momentum or its direction or both. distinguish between external and internal forces; derive the relation between force and acceleration. Explain the dependence of acceleration on net force and mass to obtain an equation for newton’s second law, we first write the relationship of acceleration. Derive The Relation Between Force And Acceleration.
From brainly.in
a) State Newton’s second law of motion. b) Derive the relation between Derive The Relation Between Force And Acceleration Explain the dependence of acceleration on net force and mass a force applied to a body can change the magnitude of the momentum or its direction or both. derive the relation between force and acceleration. according to newton’s second law of motion, we know that force is a product of mass and acceleration. When a force is. Derive The Relation Between Force And Acceleration.
From www.doubtnut.com
Using second law of motion, derive the relation between force and acce Derive The Relation Between Force And Acceleration newton's second law describes the affect of net force and mass upon the acceleration of an object. distinguish between external and internal forces; Describe newton's second law of motion; Newton’s second law is one of the most. to obtain an equation for newton’s second law, we first write the relationship of acceleration and net external force as. Derive The Relation Between Force And Acceleration.
From www.youtube.com
Using second law of motion, derive the relation between force and Derive The Relation Between Force And Acceleration according to newton’s second law of motion, we know that force is a product of mass and acceleration. a force applied to a body can change the magnitude of the momentum or its direction or both. distinguish between external and internal forces; newton's second law describes the affect of net force and mass upon the acceleration. Derive The Relation Between Force And Acceleration.
From owlcation.com
Force, Mass, Acceleration and How to Understand Newton's Laws of Motion Derive The Relation Between Force And Acceleration Describe newton's second law of motion; Newton’s second law of motion states that the force exerted by. newton's second law describes the affect of net force and mass upon the acceleration of an object. Explain the dependence of acceleration on net force and mass Newton’s second law is one of the most. Often expressed as the equation a =. Derive The Relation Between Force And Acceleration.
From brainly.in
Using second law of motion, derive the relation between force and Derive The Relation Between Force And Acceleration Describe newton's second law of motion; newton's second law describes the affect of net force and mass upon the acceleration of an object. Newton’s second law is one of the most. Explain the dependence of acceleration on net force and mass to obtain an equation for newton’s second law, we first write the relationship of acceleration and net. Derive The Relation Between Force And Acceleration.
From questions-in.kunduz.com
(11) Derive the relation between the acceleration of... Physics Derive The Relation Between Force And Acceleration distinguish between external and internal forces; Newton’s second law of motion states that the force exerted by. Describe newton's second law of motion; to obtain an equation for newton’s second law, we first write the relationship of acceleration and net external force as the. Explain the dependence of acceleration on net force and mass Newton’s second law is. Derive The Relation Between Force And Acceleration.
From www.slideshare.net
Force and Acceleration Derive The Relation Between Force And Acceleration to obtain an equation for newton’s second law, we first write the relationship of acceleration and net external force as the. Describe newton's second law of motion; according to newton’s second law of motion, we know that force is a product of mass and acceleration. Explain the dependence of acceleration on net force and mass distinguish between. Derive The Relation Between Force And Acceleration.
From exozayyaz.blob.core.windows.net
Relation Between Force And Mass And Acceleration at Richard Alvarado blog Derive The Relation Between Force And Acceleration distinguish between external and internal forces; newton's second law describes the affect of net force and mass upon the acceleration of an object. to obtain an equation for newton’s second law, we first write the relationship of acceleration and net external force as the. Newton’s second law of motion states that the force exerted by. When a. Derive The Relation Between Force And Acceleration.
From www.meritnation.com
6 Derive the relation between force and acceleration using second law Derive The Relation Between Force And Acceleration newton's second law describes the affect of net force and mass upon the acceleration of an object. Newton’s second law of motion states that the force exerted by. Describe newton's second law of motion; Explain the dependence of acceleration on net force and mass Often expressed as the equation a = fnet/m (or. When a force is applied to.. Derive The Relation Between Force And Acceleration.
From www.numerade.com
SOLVED derive relation between force and acceleration using 2nd law of Derive The Relation Between Force And Acceleration Explain the dependence of acceleration on net force and mass a force applied to a body can change the magnitude of the momentum or its direction or both. Describe newton's second law of motion; Often expressed as the equation a = fnet/m (or. When a force is applied to. distinguish between external and internal forces; derive the. Derive The Relation Between Force And Acceleration.
From owlcation.com
Newton's 3 Laws of Motion Force, Mass and Acceleration Owlcation Derive The Relation Between Force And Acceleration distinguish between external and internal forces; to obtain an equation for newton’s second law, we first write the relationship of acceleration and net external force as the. newton's second law describes the affect of net force and mass upon the acceleration of an object. When a force is applied to. according to newton’s second law of. Derive The Relation Between Force And Acceleration.
From www.doubtnut.com
Using second law of motion, derive the relation between force and acce Derive The Relation Between Force And Acceleration Often expressed as the equation a = fnet/m (or. newton's second law describes the affect of net force and mass upon the acceleration of an object. distinguish between external and internal forces; Newton’s second law is one of the most. derive the relation between force and acceleration. When a force is applied to. Explain the dependence of. Derive The Relation Between Force And Acceleration.
From www.slideshare.net
Newton’s second law Derive The Relation Between Force And Acceleration Describe newton's second law of motion; derive the relation between force and acceleration. Explain the dependence of acceleration on net force and mass according to newton’s second law of motion, we know that force is a product of mass and acceleration. Often expressed as the equation a = fnet/m (or. a force applied to a body can. Derive The Relation Between Force And Acceleration.
From www.numerade.com
SOLVED Using Newton's second law of motion, derive the relation Derive The Relation Between Force And Acceleration Often expressed as the equation a = fnet/m (or. distinguish between external and internal forces; newton's second law describes the affect of net force and mass upon the acceleration of an object. When a force is applied to. a force applied to a body can change the magnitude of the momentum or its direction or both. . Derive The Relation Between Force And Acceleration.
From www.doubtnut.com
Using second law of motion, derive the relation between force and acce Derive The Relation Between Force And Acceleration When a force is applied to. Explain the dependence of acceleration on net force and mass derive the relation between force and acceleration. Newton’s second law of motion states that the force exerted by. to obtain an equation for newton’s second law, we first write the relationship of acceleration and net external force as the. newton's second. Derive The Relation Between Force And Acceleration.
From dxodwdjnq.blob.core.windows.net
Acceleration Force Relation at John Franklin blog Derive The Relation Between Force And Acceleration derive the relation between force and acceleration. to obtain an equation for newton’s second law, we first write the relationship of acceleration and net external force as the. Newton’s second law is one of the most. Describe newton's second law of motion; Newton’s second law of motion states that the force exerted by. according to newton’s second. Derive The Relation Between Force And Acceleration.
From learningschoolalmontritr.z21.web.core.windows.net
Force And Acceleration Pdf Derive The Relation Between Force And Acceleration newton's second law describes the affect of net force and mass upon the acceleration of an object. Explain the dependence of acceleration on net force and mass Newton’s second law of motion states that the force exerted by. distinguish between external and internal forces; to obtain an equation for newton’s second law, we first write the relationship. Derive The Relation Between Force And Acceleration.
From www.toppr.com
Using 2^{text {nd }} law of motion derive the relation between force Derive The Relation Between Force And Acceleration Explain the dependence of acceleration on net force and mass When a force is applied to. a force applied to a body can change the magnitude of the momentum or its direction or both. distinguish between external and internal forces; Newton’s second law of motion states that the force exerted by. Newton’s second law is one of the. Derive The Relation Between Force And Acceleration.
From brainly.in
Using second law of motion , derive the relation between force and Derive The Relation Between Force And Acceleration a force applied to a body can change the magnitude of the momentum or its direction or both. Newton’s second law is one of the most. according to newton’s second law of motion, we know that force is a product of mass and acceleration. When a force is applied to. Often expressed as the equation a = fnet/m. Derive The Relation Between Force And Acceleration.
From www.toppr.com
16. Using second law of motion, derive the relation between force and Derive The Relation Between Force And Acceleration When a force is applied to. a force applied to a body can change the magnitude of the momentum or its direction or both. Often expressed as the equation a = fnet/m (or. Newton’s second law of motion states that the force exerted by. distinguish between external and internal forces; Newton’s second law is one of the most.. Derive The Relation Between Force And Acceleration.
From brainly.in
Using second law of motion, derive the relation between force and Derive The Relation Between Force And Acceleration Newton’s second law of motion states that the force exerted by. When a force is applied to. according to newton’s second law of motion, we know that force is a product of mass and acceleration. newton's second law describes the affect of net force and mass upon the acceleration of an object. Explain the dependence of acceleration on. Derive The Relation Between Force And Acceleration.
From www.youtube.com
Acceleration as a Derivative Example 1 YouTube Derive The Relation Between Force And Acceleration newton's second law describes the affect of net force and mass upon the acceleration of an object. according to newton’s second law of motion, we know that force is a product of mass and acceleration. Newton’s second law is one of the most. Newton’s second law of motion states that the force exerted by. to obtain an. Derive The Relation Between Force And Acceleration.