Wyoming Property Tax Assessment . Contact your county assessor if you have questions regarding, property value, ownership, addresses, legal descriptions, tax relief, tax. The mission of the property tax division is to support, train, and guide local governmental agencies in the uniform assessment, valuation. The wyoming taxpayers association is pleased to ofer its members the wyoming property taxation 2020, a reflection of property taxes for 2019. While the exact property tax rate you will pay will vary by county and is set by the local property tax assessor, you can use the free wyoming property tax estimator tool to calculate. The county assessor is charged with the. In november’s general election, wyoming voters will decide the fate of a constitutional amendment set into motion by.
from www.formsbank.com
Contact your county assessor if you have questions regarding, property value, ownership, addresses, legal descriptions, tax relief, tax. In november’s general election, wyoming voters will decide the fate of a constitutional amendment set into motion by. The county assessor is charged with the. The mission of the property tax division is to support, train, and guide local governmental agencies in the uniform assessment, valuation. While the exact property tax rate you will pay will vary by county and is set by the local property tax assessor, you can use the free wyoming property tax estimator tool to calculate. The wyoming taxpayers association is pleased to ofer its members the wyoming property taxation 2020, a reflection of property taxes for 2019.
Ets Form 5 Wyoming Estate Tax Summary printable pdf download
Wyoming Property Tax Assessment The mission of the property tax division is to support, train, and guide local governmental agencies in the uniform assessment, valuation. The mission of the property tax division is to support, train, and guide local governmental agencies in the uniform assessment, valuation. The county assessor is charged with the. Contact your county assessor if you have questions regarding, property value, ownership, addresses, legal descriptions, tax relief, tax. While the exact property tax rate you will pay will vary by county and is set by the local property tax assessor, you can use the free wyoming property tax estimator tool to calculate. In november’s general election, wyoming voters will decide the fate of a constitutional amendment set into motion by. The wyoming taxpayers association is pleased to ofer its members the wyoming property taxation 2020, a reflection of property taxes for 2019.
From prorfety.blogspot.com
Wyoming County Property Tax Average PRORFETY Wyoming Property Tax Assessment The county assessor is charged with the. While the exact property tax rate you will pay will vary by county and is set by the local property tax assessor, you can use the free wyoming property tax estimator tool to calculate. In november’s general election, wyoming voters will decide the fate of a constitutional amendment set into motion by. The. Wyoming Property Tax Assessment.
From exoquglkq.blob.core.windows.net
Laramie County Wyoming Property Tax Search at Lawrence Carlson blog Wyoming Property Tax Assessment The wyoming taxpayers association is pleased to ofer its members the wyoming property taxation 2020, a reflection of property taxes for 2019. The county assessor is charged with the. Contact your county assessor if you have questions regarding, property value, ownership, addresses, legal descriptions, tax relief, tax. While the exact property tax rate you will pay will vary by county. Wyoming Property Tax Assessment.
From kengangwer.com
Wyoming Tax Benefits Jackson Hole Real Estate Ken Gangwer Wyoming Property Tax Assessment The wyoming taxpayers association is pleased to ofer its members the wyoming property taxation 2020, a reflection of property taxes for 2019. While the exact property tax rate you will pay will vary by county and is set by the local property tax assessor, you can use the free wyoming property tax estimator tool to calculate. Contact your county assessor. Wyoming Property Tax Assessment.
From exoquglkq.blob.core.windows.net
Laramie County Wyoming Property Tax Search at Lawrence Carlson blog Wyoming Property Tax Assessment Contact your county assessor if you have questions regarding, property value, ownership, addresses, legal descriptions, tax relief, tax. The wyoming taxpayers association is pleased to ofer its members the wyoming property taxation 2020, a reflection of property taxes for 2019. In november’s general election, wyoming voters will decide the fate of a constitutional amendment set into motion by. The county. Wyoming Property Tax Assessment.
From strobelwy.com
Property Tax Strobel for Wyoming Wyoming Property Tax Assessment The mission of the property tax division is to support, train, and guide local governmental agencies in the uniform assessment, valuation. The wyoming taxpayers association is pleased to ofer its members the wyoming property taxation 2020, a reflection of property taxes for 2019. The county assessor is charged with the. Contact your county assessor if you have questions regarding, property. Wyoming Property Tax Assessment.
From www.canyonrealestate.net
Tax Benefits Of Living In Wyoming Wyoming Real Estate Blog Wyoming Property Tax Assessment The mission of the property tax division is to support, train, and guide local governmental agencies in the uniform assessment, valuation. Contact your county assessor if you have questions regarding, property value, ownership, addresses, legal descriptions, tax relief, tax. While the exact property tax rate you will pay will vary by county and is set by the local property tax. Wyoming Property Tax Assessment.
From dxogrrmil.blob.core.windows.net
Wyoming Property Tax Refund 2022 at Christine Kelly blog Wyoming Property Tax Assessment In november’s general election, wyoming voters will decide the fate of a constitutional amendment set into motion by. The wyoming taxpayers association is pleased to ofer its members the wyoming property taxation 2020, a reflection of property taxes for 2019. Contact your county assessor if you have questions regarding, property value, ownership, addresses, legal descriptions, tax relief, tax. The county. Wyoming Property Tax Assessment.
From www.formsbank.com
Ets Form 5 Wyoming Estate Tax Summary printable pdf download Wyoming Property Tax Assessment In november’s general election, wyoming voters will decide the fate of a constitutional amendment set into motion by. The county assessor is charged with the. The mission of the property tax division is to support, train, and guide local governmental agencies in the uniform assessment, valuation. Contact your county assessor if you have questions regarding, property value, ownership, addresses, legal. Wyoming Property Tax Assessment.
From www.tax.ny.gov
Assessments vs. taxes Wyoming Property Tax Assessment The county assessor is charged with the. Contact your county assessor if you have questions regarding, property value, ownership, addresses, legal descriptions, tax relief, tax. While the exact property tax rate you will pay will vary by county and is set by the local property tax assessor, you can use the free wyoming property tax estimator tool to calculate. In. Wyoming Property Tax Assessment.
From wyomingtransparency.com
Increase in Property Taxes = WY Business Council Strategic Target Wyoming Property Tax Assessment Contact your county assessor if you have questions regarding, property value, ownership, addresses, legal descriptions, tax relief, tax. In november’s general election, wyoming voters will decide the fate of a constitutional amendment set into motion by. The mission of the property tax division is to support, train, and guide local governmental agencies in the uniform assessment, valuation. The wyoming taxpayers. Wyoming Property Tax Assessment.
From cowboystatedaily.com
Effort On To Slash Property Tax Assessments By 50 In Wyoming Your Wyoming Property Tax Assessment The wyoming taxpayers association is pleased to ofer its members the wyoming property taxation 2020, a reflection of property taxes for 2019. The county assessor is charged with the. While the exact property tax rate you will pay will vary by county and is set by the local property tax assessor, you can use the free wyoming property tax estimator. Wyoming Property Tax Assessment.
From exoquglkq.blob.core.windows.net
Laramie County Wyoming Property Tax Search at Lawrence Carlson blog Wyoming Property Tax Assessment Contact your county assessor if you have questions regarding, property value, ownership, addresses, legal descriptions, tax relief, tax. The mission of the property tax division is to support, train, and guide local governmental agencies in the uniform assessment, valuation. In november’s general election, wyoming voters will decide the fate of a constitutional amendment set into motion by. The wyoming taxpayers. Wyoming Property Tax Assessment.
From www.steadily.com
Wyoming Property Taxes Wyoming Property Tax Assessment Contact your county assessor if you have questions regarding, property value, ownership, addresses, legal descriptions, tax relief, tax. In november’s general election, wyoming voters will decide the fate of a constitutional amendment set into motion by. The mission of the property tax division is to support, train, and guide local governmental agencies in the uniform assessment, valuation. The county assessor. Wyoming Property Tax Assessment.
From capcity.news
Study California’s property tax system not a good fit for Wyoming Wyoming Property Tax Assessment The mission of the property tax division is to support, train, and guide local governmental agencies in the uniform assessment, valuation. Contact your county assessor if you have questions regarding, property value, ownership, addresses, legal descriptions, tax relief, tax. The county assessor is charged with the. While the exact property tax rate you will pay will vary by county and. Wyoming Property Tax Assessment.
From exovhezpj.blob.core.windows.net
Wyoming Property Tax Estimator at Lillian Wampler blog Wyoming Property Tax Assessment In november’s general election, wyoming voters will decide the fate of a constitutional amendment set into motion by. The wyoming taxpayers association is pleased to ofer its members the wyoming property taxation 2020, a reflection of property taxes for 2019. The mission of the property tax division is to support, train, and guide local governmental agencies in the uniform assessment,. Wyoming Property Tax Assessment.
From wycf.org
Wyoming Property Tax Wyoming Community Foundation Wyoming Property Tax Assessment The mission of the property tax division is to support, train, and guide local governmental agencies in the uniform assessment, valuation. In november’s general election, wyoming voters will decide the fate of a constitutional amendment set into motion by. Contact your county assessor if you have questions regarding, property value, ownership, addresses, legal descriptions, tax relief, tax. While the exact. Wyoming Property Tax Assessment.
From www.pinterest.com
Tax Benefits of Buying a Home in Jackson Hole Wyoming Home buying Wyoming Property Tax Assessment In november’s general election, wyoming voters will decide the fate of a constitutional amendment set into motion by. The wyoming taxpayers association is pleased to ofer its members the wyoming property taxation 2020, a reflection of property taxes for 2019. The county assessor is charged with the. Contact your county assessor if you have questions regarding, property value, ownership, addresses,. Wyoming Property Tax Assessment.
From movingist.com
Taxes in Wyoming Everything You Need to Know About taxes Wyoming Property Tax Assessment The county assessor is charged with the. The mission of the property tax division is to support, train, and guide local governmental agencies in the uniform assessment, valuation. While the exact property tax rate you will pay will vary by county and is set by the local property tax assessor, you can use the free wyoming property tax estimator tool. Wyoming Property Tax Assessment.
From taxedright.com
Wyoming Taxes Taxed Right Wyoming Property Tax Assessment The wyoming taxpayers association is pleased to ofer its members the wyoming property taxation 2020, a reflection of property taxes for 2019. The mission of the property tax division is to support, train, and guide local governmental agencies in the uniform assessment, valuation. While the exact property tax rate you will pay will vary by county and is set by. Wyoming Property Tax Assessment.
From cowboystatedaily.com
Wyoming Tax Revenues Top 1 Billion For Fiscal… Cowboy State Daily Wyoming Property Tax Assessment In november’s general election, wyoming voters will decide the fate of a constitutional amendment set into motion by. While the exact property tax rate you will pay will vary by county and is set by the local property tax assessor, you can use the free wyoming property tax estimator tool to calculate. The mission of the property tax division is. Wyoming Property Tax Assessment.
From kgab.com
Expanded Wyoming Property Tax Relief Program Taking Applications Wyoming Property Tax Assessment The county assessor is charged with the. The wyoming taxpayers association is pleased to ofer its members the wyoming property taxation 2020, a reflection of property taxes for 2019. In november’s general election, wyoming voters will decide the fate of a constitutional amendment set into motion by. The mission of the property tax division is to support, train, and guide. Wyoming Property Tax Assessment.
From itep.org
Wyoming Who Pays? 7th Edition ITEP Wyoming Property Tax Assessment The county assessor is charged with the. In november’s general election, wyoming voters will decide the fate of a constitutional amendment set into motion by. The wyoming taxpayers association is pleased to ofer its members the wyoming property taxation 2020, a reflection of property taxes for 2019. The mission of the property tax division is to support, train, and guide. Wyoming Property Tax Assessment.
From exoquglkq.blob.core.windows.net
Laramie County Wyoming Property Tax Search at Lawrence Carlson blog Wyoming Property Tax Assessment The mission of the property tax division is to support, train, and guide local governmental agencies in the uniform assessment, valuation. While the exact property tax rate you will pay will vary by county and is set by the local property tax assessor, you can use the free wyoming property tax estimator tool to calculate. The county assessor is charged. Wyoming Property Tax Assessment.
From dxogrrmil.blob.core.windows.net
Wyoming Property Tax Refund 2022 at Christine Kelly blog Wyoming Property Tax Assessment The wyoming taxpayers association is pleased to ofer its members the wyoming property taxation 2020, a reflection of property taxes for 2019. In november’s general election, wyoming voters will decide the fate of a constitutional amendment set into motion by. Contact your county assessor if you have questions regarding, property value, ownership, addresses, legal descriptions, tax relief, tax. The county. Wyoming Property Tax Assessment.
From www.msn.com
Property taxes skyrocketing? Thousands more now qualify for refunds in Wyoming Property Tax Assessment The wyoming taxpayers association is pleased to ofer its members the wyoming property taxation 2020, a reflection of property taxes for 2019. The county assessor is charged with the. Contact your county assessor if you have questions regarding, property value, ownership, addresses, legal descriptions, tax relief, tax. In november’s general election, wyoming voters will decide the fate of a constitutional. Wyoming Property Tax Assessment.
From www.canyonrealestate.net
Tax Benefits Of Living In Wyoming Wyoming Real Estate Blog Wyoming Property Tax Assessment The wyoming taxpayers association is pleased to ofer its members the wyoming property taxation 2020, a reflection of property taxes for 2019. While the exact property tax rate you will pay will vary by county and is set by the local property tax assessor, you can use the free wyoming property tax estimator tool to calculate. In november’s general election,. Wyoming Property Tax Assessment.
From www.facebook.com
Wyoming Property Tax Refund Program Open Now Taking Applications.mp4 Wyoming Property Tax Assessment In november’s general election, wyoming voters will decide the fate of a constitutional amendment set into motion by. The county assessor is charged with the. The mission of the property tax division is to support, train, and guide local governmental agencies in the uniform assessment, valuation. While the exact property tax rate you will pay will vary by county and. Wyoming Property Tax Assessment.
From itep.org
Wyoming Who Pays? 6th Edition ITEP Wyoming Property Tax Assessment The mission of the property tax division is to support, train, and guide local governmental agencies in the uniform assessment, valuation. While the exact property tax rate you will pay will vary by county and is set by the local property tax assessor, you can use the free wyoming property tax estimator tool to calculate. The county assessor is charged. Wyoming Property Tax Assessment.
From www.taxuni.com
Wyoming Property Tax 2024 2025 Wyoming Property Tax Assessment The county assessor is charged with the. While the exact property tax rate you will pay will vary by county and is set by the local property tax assessor, you can use the free wyoming property tax estimator tool to calculate. The mission of the property tax division is to support, train, and guide local governmental agencies in the uniform. Wyoming Property Tax Assessment.
From www.pdffiller.com
Fillable Online WYOMING PROPERTY TAX REFUND PROGRAM AFFIDAVIT AND Wyoming Property Tax Assessment In november’s general election, wyoming voters will decide the fate of a constitutional amendment set into motion by. The wyoming taxpayers association is pleased to ofer its members the wyoming property taxation 2020, a reflection of property taxes for 2019. The mission of the property tax division is to support, train, and guide local governmental agencies in the uniform assessment,. Wyoming Property Tax Assessment.
From cowboystatedaily.com
Lower Wyoming Property Taxes Could Mean Higher… Cowboy State Daily Wyoming Property Tax Assessment The county assessor is charged with the. In november’s general election, wyoming voters will decide the fate of a constitutional amendment set into motion by. The mission of the property tax division is to support, train, and guide local governmental agencies in the uniform assessment, valuation. The wyoming taxpayers association is pleased to ofer its members the wyoming property taxation. Wyoming Property Tax Assessment.
From prorfety.blogspot.com
Wyoming County Property Tax Average PRORFETY Wyoming Property Tax Assessment In november’s general election, wyoming voters will decide the fate of a constitutional amendment set into motion by. The wyoming taxpayers association is pleased to ofer its members the wyoming property taxation 2020, a reflection of property taxes for 2019. While the exact property tax rate you will pay will vary by county and is set by the local property. Wyoming Property Tax Assessment.
From prorfety.blogspot.com
Wyoming County Property Tax Average PRORFETY Wyoming Property Tax Assessment In november’s general election, wyoming voters will decide the fate of a constitutional amendment set into motion by. The wyoming taxpayers association is pleased to ofer its members the wyoming property taxation 2020, a reflection of property taxes for 2019. The county assessor is charged with the. While the exact property tax rate you will pay will vary by county. Wyoming Property Tax Assessment.
From www.formsbank.com
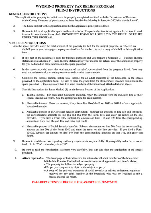
Instructions For Wyoming Property Tax Relief Program Form printable pdf Wyoming Property Tax Assessment The county assessor is charged with the. In november’s general election, wyoming voters will decide the fate of a constitutional amendment set into motion by. The wyoming taxpayers association is pleased to ofer its members the wyoming property taxation 2020, a reflection of property taxes for 2019. The mission of the property tax division is to support, train, and guide. Wyoming Property Tax Assessment.
From exovhezpj.blob.core.windows.net
Wyoming Property Tax Estimator at Lillian Wampler blog Wyoming Property Tax Assessment The county assessor is charged with the. The wyoming taxpayers association is pleased to ofer its members the wyoming property taxation 2020, a reflection of property taxes for 2019. Contact your county assessor if you have questions regarding, property value, ownership, addresses, legal descriptions, tax relief, tax. While the exact property tax rate you will pay will vary by county. Wyoming Property Tax Assessment.