Does A Pound Equal A Pint . An imperial pint is equal to 1.2582 pounds. How many pints in a pound of strawberries? Is a pint equal to a pound? 1 us fluid pint of water equals about a pound (16 ounces). The measurement of a us pint of water is roughly around 1.04318 pounds, and this message does not maintain all around the world. A pint of water weighs about 1 pound, as water has a density of approximately 1 pound. Convert pounds to pints (lb to pt) with the cooking and baking weights and measures conversion calculator, and learn the pound to pint. This offers an increase to a recognized statement, a pint, a pound, the world around. How many pints in a pound of blueberries? So, to convert a number from pints to pounds in. Approximately 1.5 pints, considering the density of blueberries (0.63 g/cm³). No, a pint is not equal to a pound, but it can be easily converted. For water, an imperial pint equals 1.2582 pounds, and a us fluid pint equals 1.04318 pounds. No, but it can be converted. Use this pint to pound conversion for converting volume measurements to weight measurements, pint is a unit of volume, while a pound is a unit.
from www.numerade.com
A pint of water weighs about 1 pound, as water has a density of approximately 1 pound. 1 us fluid pint of water equals about a pound (16 ounces). Convert pounds to pints (lb to pt) with the cooking and baking weights and measures conversion calculator, and learn the pound to pint. This offers an increase to a recognized statement, a pint, a pound, the world around. How many pints in a pound of blueberries? Use this pint to pound conversion for converting volume measurements to weight measurements, pint is a unit of volume, while a pound is a unit. The measurement of a us pint of water is roughly around 1.04318 pounds, and this message does not maintain all around the world. So, to convert a number from pints to pounds in. For water, an imperial pint equals 1.2582 pounds, and a us fluid pint equals 1.04318 pounds. How many pounds does a pint weigh?
According to one mnemonic rhyme, "A pint's a pound, the world around
Does A Pound Equal A Pint Use this pint to pound conversion for converting volume measurements to weight measurements, pint is a unit of volume, while a pound is a unit. No, but it can be converted. Convert pounds to pints (lb to pt) with the cooking and baking weights and measures conversion calculator, and learn the pound to pint. The measurement of a us pint of water is roughly around 1.04318 pounds, and this message does not maintain all around the world. A pint of water weighs about 1 pound, as water has a density of approximately 1 pound. Approximately 1.5 pints, considering the density of blueberries (0.63 g/cm³). An imperial pint is equal to 1.2582 pounds. How many pints in a pound of blueberries? How many pints in a pound of strawberries? 1 us fluid pint of water equals about a pound (16 ounces). Is a pint equal to a pound? This offers an increase to a recognized statement, a pint, a pound, the world around. For water, an imperial pint equals 1.2582 pounds, and a us fluid pint equals 1.04318 pounds. How many pounds does a pint weigh? So, to convert a number from pints to pounds in. Use this pint to pound conversion for converting volume measurements to weight measurements, pint is a unit of volume, while a pound is a unit.
From answerdbmaligner.z21.web.core.windows.net
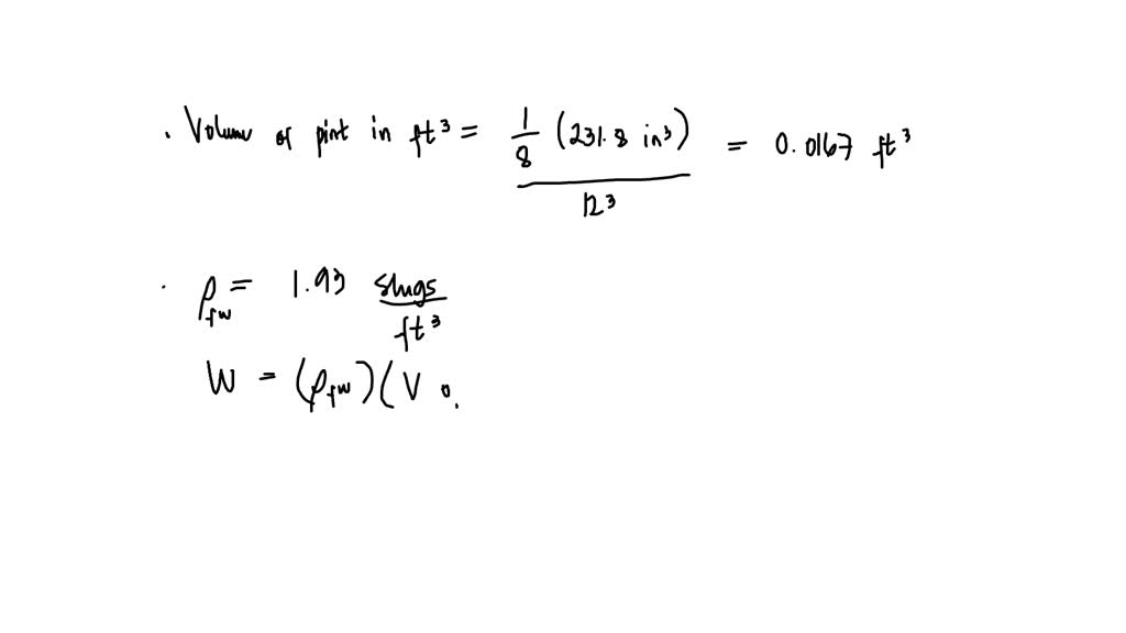
1 Pint How Many Pounds Does A Pound Equal A Pint Is a pint equal to a pound? No, but it can be converted. Convert pounds to pints (lb to pt) with the cooking and baking weights and measures conversion calculator, and learn the pound to pint. A pint of water weighs about 1 pound, as water has a density of approximately 1 pound. How many pints in a pound of. Does A Pound Equal A Pint.
From jadechan.z19.web.core.windows.net
Pints To Ounces Conversion Chart Does A Pound Equal A Pint Convert pounds to pints (lb to pt) with the cooking and baking weights and measures conversion calculator, and learn the pound to pint. So, to convert a number from pints to pounds in. Is a pint equal to a pound? How many pints in a pound of strawberries? A pint of water weighs about 1 pound, as water has a. Does A Pound Equal A Pint.
From slideplayer.com
Customary Units of Measurement ppt download Does A Pound Equal A Pint The measurement of a us pint of water is roughly around 1.04318 pounds, and this message does not maintain all around the world. No, but it can be converted. So, to convert a number from pints to pounds in. Is a pint equal to a pound? Use this pint to pound conversion for converting volume measurements to weight measurements, pint. Does A Pound Equal A Pint.
From www.numerade.com
"A pint's a pound the world around" is the old rhyme describing the Does A Pound Equal A Pint So, to convert a number from pints to pounds in. How many pounds does a pint weigh? How many pints in a pound of strawberries? This offers an increase to a recognized statement, a pint, a pound, the world around. Convert pounds to pints (lb to pt) with the cooking and baking weights and measures conversion calculator, and learn the. Does A Pound Equal A Pint.
From studycerrinikt.z21.web.core.windows.net
Pint Conversion Table Does A Pound Equal A Pint How many pints in a pound of blueberries? 1 us fluid pint of water equals about a pound (16 ounces). A pint of water weighs about 1 pound, as water has a density of approximately 1 pound. An imperial pint is equal to 1.2582 pounds. So, to convert a number from pints to pounds in. Convert pounds to pints (lb. Does A Pound Equal A Pint.
From www.omnicalculator.com
Pint to Pound Conversion Does A Pound Equal A Pint 1 us fluid pint of water equals about a pound (16 ounces). For water, an imperial pint equals 1.2582 pounds, and a us fluid pint equals 1.04318 pounds. So, to convert a number from pints to pounds in. How many pounds does a pint weigh? No, a pint is not equal to a pound, but it can be easily converted.. Does A Pound Equal A Pint.
From www.numerade.com
According to one mnemonic rhyme, "A pint's a pound, the world around Does A Pound Equal A Pint Is a pint equal to a pound? For water, an imperial pint equals 1.2582 pounds, and a us fluid pint equals 1.04318 pounds. A pint of water weighs about 1 pound, as water has a density of approximately 1 pound. So, to convert a number from pints to pounds in. How many pints in a pound of blueberries? Approximately 1.5. Does A Pound Equal A Pint.
From mungfali.com
Pounds And Ounces Conversion Chart Does A Pound Equal A Pint Approximately 1.5 pints, considering the density of blueberries (0.63 g/cm³). So, to convert a number from pints to pounds in. How many pounds does a pint weigh? No, a pint is not equal to a pound, but it can be easily converted. A pint of water weighs about 1 pound, as water has a density of approximately 1 pound. Is. Does A Pound Equal A Pint.
From www.pinterest.com
Infographic Weight equivalents chart a handy guide for converting Does A Pound Equal A Pint The measurement of a us pint of water is roughly around 1.04318 pounds, and this message does not maintain all around the world. For water, an imperial pint equals 1.2582 pounds, and a us fluid pint equals 1.04318 pounds. Convert pounds to pints (lb to pt) with the cooking and baking weights and measures conversion calculator, and learn the pound. Does A Pound Equal A Pint.
From www.howmanypedia.com
How Many Ounces in a Pint Howmanypedia Does A Pound Equal A Pint Approximately 1.5 pints, considering the density of blueberries (0.63 g/cm³). Use this pint to pound conversion for converting volume measurements to weight measurements, pint is a unit of volume, while a pound is a unit. This offers an increase to a recognized statement, a pint, a pound, the world around. For water, an imperial pint equals 1.2582 pounds, and a. Does A Pound Equal A Pint.
From www.coursehero.com
[Solved] According to one mnemonic rhyme, "A pint's a pound, the world Does A Pound Equal A Pint No, a pint is not equal to a pound, but it can be easily converted. Use this pint to pound conversion for converting volume measurements to weight measurements, pint is a unit of volume, while a pound is a unit. How many pints in a pound of strawberries? An imperial pint is equal to 1.2582 pounds. How many pounds does. Does A Pound Equal A Pint.
From almostnordic.com
How Many Ounces in a Pint? Easy Conversion AlmostNordic Does A Pound Equal A Pint How many pounds does a pint weigh? Use this pint to pound conversion for converting volume measurements to weight measurements, pint is a unit of volume, while a pound is a unit. For water, an imperial pint equals 1.2582 pounds, and a us fluid pint equals 1.04318 pounds. Approximately 1.5 pints, considering the density of blueberries (0.63 g/cm³). How many. Does A Pound Equal A Pint.
From www.printableparadise.com
Printable Ounces to Pounds Conversion Chart Does A Pound Equal A Pint How many pounds does a pint weigh? Is a pint equal to a pound? Use this pint to pound conversion for converting volume measurements to weight measurements, pint is a unit of volume, while a pound is a unit. This offers an increase to a recognized statement, a pint, a pound, the world around. For water, an imperial pint equals. Does A Pound Equal A Pint.
From www.pinterest.ca
What is a pint? Pint, Gallon, Fluid ounce Does A Pound Equal A Pint 1 us fluid pint of water equals about a pound (16 ounces). How many pints in a pound of strawberries? So, to convert a number from pints to pounds in. Approximately 1.5 pints, considering the density of blueberries (0.63 g/cm³). How many pounds does a pint weigh? No, a pint is not equal to a pound, but it can be. Does A Pound Equal A Pint.
From whatisconvert.com
What is 8 Ounces in Pounds? Convert 8 oz to lb Does A Pound Equal A Pint A pint of water weighs about 1 pound, as water has a density of approximately 1 pound. How many pounds does a pint weigh? How many pints in a pound of strawberries? So, to convert a number from pints to pounds in. Is a pint equal to a pound? 1 us fluid pint of water equals about a pound (16. Does A Pound Equal A Pint.
From www.pinterest.com
Printable Fluid Ounces to Pints Conversion Chart Conversion chart Does A Pound Equal A Pint This offers an increase to a recognized statement, a pint, a pound, the world around. Approximately 1.5 pints, considering the density of blueberries (0.63 g/cm³). Use this pint to pound conversion for converting volume measurements to weight measurements, pint is a unit of volume, while a pound is a unit. No, but it can be converted. For water, an imperial. Does A Pound Equal A Pint.
From www.inchcalculator.com
Ounces to Pounds Converter (oz to lbs) Inch Calculator Does A Pound Equal A Pint No, a pint is not equal to a pound, but it can be easily converted. An imperial pint is equal to 1.2582 pounds. 1 us fluid pint of water equals about a pound (16 ounces). So, to convert a number from pints to pounds in. The measurement of a us pint of water is roughly around 1.04318 pounds, and this. Does A Pound Equal A Pint.
From learningtanburio.z21.web.core.windows.net
Conversion Chart Cup Pint Gallon Quart Pdf Does A Pound Equal A Pint A pint of water weighs about 1 pound, as water has a density of approximately 1 pound. Convert pounds to pints (lb to pt) with the cooking and baking weights and measures conversion calculator, and learn the pound to pint. This offers an increase to a recognized statement, a pint, a pound, the world around. For water, an imperial pint. Does A Pound Equal A Pint.
From www.inchcalculator.com
Pounds to Ounces Converter (lb to oz) Inch Calculator Does A Pound Equal A Pint Is a pint equal to a pound? How many pounds does a pint weigh? This offers an increase to a recognized statement, a pint, a pound, the world around. 1 us fluid pint of water equals about a pound (16 ounces). No, a pint is not equal to a pound, but it can be easily converted. How many pints in. Does A Pound Equal A Pint.
From studycerrinikt.z21.web.core.windows.net
Pints And Quarts Math Does A Pound Equal A Pint How many pints in a pound of strawberries? How many pints in a pound of blueberries? Convert pounds to pints (lb to pt) with the cooking and baking weights and measures conversion calculator, and learn the pound to pint. No, but it can be converted. No, a pint is not equal to a pound, but it can be easily converted.. Does A Pound Equal A Pint.
From www.thecalculatorsite.com
Cooking Weights And Measures Guide Does A Pound Equal A Pint Approximately 1.5 pints, considering the density of blueberries (0.63 g/cm³). Use this pint to pound conversion for converting volume measurements to weight measurements, pint is a unit of volume, while a pound is a unit. Is a pint equal to a pound? So, to convert a number from pints to pounds in. How many pounds does a pint weigh? Convert. Does A Pound Equal A Pint.
From www.wikihow.com
How to Convert Metric Weight to Pounds 7 Steps (with Pictures) Does A Pound Equal A Pint This offers an increase to a recognized statement, a pint, a pound, the world around. For water, an imperial pint equals 1.2582 pounds, and a us fluid pint equals 1.04318 pounds. An imperial pint is equal to 1.2582 pounds. 1 us fluid pint of water equals about a pound (16 ounces). Approximately 1.5 pints, considering the density of blueberries (0.63. Does A Pound Equal A Pint.
From livelytable.com
How Many Ounces in a Pint? Does A Pound Equal A Pint How many pints in a pound of strawberries? Convert pounds to pints (lb to pt) with the cooking and baking weights and measures conversion calculator, and learn the pound to pint. A pint of water weighs about 1 pound, as water has a density of approximately 1 pound. How many pounds does a pint weigh? 1 us fluid pint of. Does A Pound Equal A Pint.
From whatsthematterwithme.org
A Pint Is A Pound What's The Matter With Me? Podcast Does A Pound Equal A Pint How many pints in a pound of blueberries? A pint of water weighs about 1 pound, as water has a density of approximately 1 pound. No, a pint is not equal to a pound, but it can be easily converted. An imperial pint is equal to 1.2582 pounds. No, but it can be converted. How many pounds does a pint. Does A Pound Equal A Pint.
From www.printableparadise.com
Printable Pounds to grams Conversion Chart Does A Pound Equal A Pint No, a pint is not equal to a pound, but it can be easily converted. Approximately 1.5 pints, considering the density of blueberries (0.63 g/cm³). How many pints in a pound of blueberries? Use this pint to pound conversion for converting volume measurements to weight measurements, pint is a unit of volume, while a pound is a unit. How many. Does A Pound Equal A Pint.
From tastymadesimple.com
How Many Ounces in a Pint Exploring the Conversion Tasty Made Simple Does A Pound Equal A Pint Use this pint to pound conversion for converting volume measurements to weight measurements, pint is a unit of volume, while a pound is a unit. For water, an imperial pint equals 1.2582 pounds, and a us fluid pint equals 1.04318 pounds. How many pounds does a pint weigh? Approximately 1.5 pints, considering the density of blueberries (0.63 g/cm³). How many. Does A Pound Equal A Pint.
From www.youtube.com
Measurements Length/foot,Liquid/cup/pint/quart/gallon,Weight/pound/ton Does A Pound Equal A Pint So, to convert a number from pints to pounds in. 1 us fluid pint of water equals about a pound (16 ounces). How many pints in a pound of blueberries? No, a pint is not equal to a pound, but it can be easily converted. Approximately 1.5 pints, considering the density of blueberries (0.63 g/cm³). This offers an increase to. Does A Pound Equal A Pint.
From giovanniindio.blogspot.com
How Many Pints Are In 10 Gallons GiovanniIndio Does A Pound Equal A Pint Approximately 1.5 pints, considering the density of blueberries (0.63 g/cm³). Use this pint to pound conversion for converting volume measurements to weight measurements, pint is a unit of volume, while a pound is a unit. A pint of water weighs about 1 pound, as water has a density of approximately 1 pound. How many pints in a pound of strawberries?. Does A Pound Equal A Pint.
From www.simplemost.com
How Many Ounces In A Pound? 7 Easy Tricks To Help You Remember Conversions Does A Pound Equal A Pint So, to convert a number from pints to pounds in. Use this pint to pound conversion for converting volume measurements to weight measurements, pint is a unit of volume, while a pound is a unit. No, a pint is not equal to a pound, but it can be easily converted. This offers an increase to a recognized statement, a pint,. Does A Pound Equal A Pint.
From www.howmanypedia.com
How Many Ounces in a Pint Howmanypedia Does A Pound Equal A Pint A pint of water weighs about 1 pound, as water has a density of approximately 1 pound. 1 us fluid pint of water equals about a pound (16 ounces). An imperial pint is equal to 1.2582 pounds. Approximately 1.5 pints, considering the density of blueberries (0.63 g/cm³). This offers an increase to a recognized statement, a pint, a pound, the. Does A Pound Equal A Pint.
From chromecrumpet.com
A Pound For A Pint!!! Chrome Crumpet Does A Pound Equal A Pint The measurement of a us pint of water is roughly around 1.04318 pounds, and this message does not maintain all around the world. So, to convert a number from pints to pounds in. Use this pint to pound conversion for converting volume measurements to weight measurements, pint is a unit of volume, while a pound is a unit. 1 us. Does A Pound Equal A Pint.
From www.wikihow.com
How to Convert Pounds to Ounces 7 Steps (with Pictures) wikiHow Does A Pound Equal A Pint Is a pint equal to a pound? Approximately 1.5 pints, considering the density of blueberries (0.63 g/cm³). No, but it can be converted. The measurement of a us pint of water is roughly around 1.04318 pounds, and this message does not maintain all around the world. 1 us fluid pint of water equals about a pound (16 ounces). Use this. Does A Pound Equal A Pint.
From www.inchcalculator.com
Tons to Pounds Conversion (t to lb) Inch Calculator Does A Pound Equal A Pint How many pints in a pound of blueberries? No, a pint is not equal to a pound, but it can be easily converted. This offers an increase to a recognized statement, a pint, a pound, the world around. A pint of water weighs about 1 pound, as water has a density of approximately 1 pound. How many pints in a. Does A Pound Equal A Pint.
From www.youtube.com
How Many Ounces In A Pound? Convert Pound (lb) Into Ounce (oz Does A Pound Equal A Pint The measurement of a us pint of water is roughly around 1.04318 pounds, and this message does not maintain all around the world. This offers an increase to a recognized statement, a pint, a pound, the world around. No, but it can be converted. Use this pint to pound conversion for converting volume measurements to weight measurements, pint is a. Does A Pound Equal A Pint.
From www.theharvestkitchen.com
How Many Ounces in a Pint The Harvest Kitchen Does A Pound Equal A Pint Use this pint to pound conversion for converting volume measurements to weight measurements, pint is a unit of volume, while a pound is a unit. So, to convert a number from pints to pounds in. 1 us fluid pint of water equals about a pound (16 ounces). Convert pounds to pints (lb to pt) with the cooking and baking weights. Does A Pound Equal A Pint.