How Many Meq Is 99 Mg Of Potassium . Start using our potassium mg to meq conversion calculator today and take control of your potassium levels! 20 meq potassium to mg is a conversion ratio used to determine the equivalent dosage of potassium in milligrams. To determine meq from mg, take the atomic weight of the element & divide it into the mg. We will look at the equation that convert meq to mg, and solve an example of 20 meq potassium chloride to mg using this equation. Meq to mg conversion charts. Potassium has a strong relationship with sodium, the main regulator of extracellular fluid volume, including plasma volume. The usual dose is 1 to 3 meq of potassium per kilogram (kg) (0.45 to 1.36 meq per pound) of body weight taken in smaller doses. The potassium mg to meq conversion calculator is a tool that assists medical professionals and individuals in converting the quantity of potassium from milligrams (mg) to milliequivalents (meq). This conversion is vital in the realm of healthcare, particularly when monitoring or administering medication dosage based on one’s potassium levels.
from mynaturesdelight.com
The potassium mg to meq conversion calculator is a tool that assists medical professionals and individuals in converting the quantity of potassium from milligrams (mg) to milliequivalents (meq). To determine meq from mg, take the atomic weight of the element & divide it into the mg. The usual dose is 1 to 3 meq of potassium per kilogram (kg) (0.45 to 1.36 meq per pound) of body weight taken in smaller doses. 20 meq potassium to mg is a conversion ratio used to determine the equivalent dosage of potassium in milligrams. This conversion is vital in the realm of healthcare, particularly when monitoring or administering medication dosage based on one’s potassium levels. Meq to mg conversion charts. We will look at the equation that convert meq to mg, and solve an example of 20 meq potassium chloride to mg using this equation. Start using our potassium mg to meq conversion calculator today and take control of your potassium levels! Potassium has a strong relationship with sodium, the main regulator of extracellular fluid volume, including plasma volume.
Potassium 99 mg 100 Vegan Tabs My Natures Delight
How Many Meq Is 99 Mg Of Potassium This conversion is vital in the realm of healthcare, particularly when monitoring or administering medication dosage based on one’s potassium levels. This conversion is vital in the realm of healthcare, particularly when monitoring or administering medication dosage based on one’s potassium levels. The potassium mg to meq conversion calculator is a tool that assists medical professionals and individuals in converting the quantity of potassium from milligrams (mg) to milliequivalents (meq). Meq to mg conversion charts. Start using our potassium mg to meq conversion calculator today and take control of your potassium levels! Potassium has a strong relationship with sodium, the main regulator of extracellular fluid volume, including plasma volume. 20 meq potassium to mg is a conversion ratio used to determine the equivalent dosage of potassium in milligrams. To determine meq from mg, take the atomic weight of the element & divide it into the mg. We will look at the equation that convert meq to mg, and solve an example of 20 meq potassium chloride to mg using this equation. The usual dose is 1 to 3 meq of potassium per kilogram (kg) (0.45 to 1.36 meq per pound) of body weight taken in smaller doses.
From www.pinterest.com
How many 99mg potassium citrate tablets equate to one 10 meq tablet How Many Meq Is 99 Mg Of Potassium Meq to mg conversion charts. This conversion is vital in the realm of healthcare, particularly when monitoring or administering medication dosage based on one’s potassium levels. Potassium has a strong relationship with sodium, the main regulator of extracellular fluid volume, including plasma volume. The usual dose is 1 to 3 meq of potassium per kilogram (kg) (0.45 to 1.36 meq. How Many Meq Is 99 Mg Of Potassium.
From answerlibaccuses.z21.web.core.windows.net
How Many Mg Is 1000mcg How Many Meq Is 99 Mg Of Potassium Meq to mg conversion charts. The potassium mg to meq conversion calculator is a tool that assists medical professionals and individuals in converting the quantity of potassium from milligrams (mg) to milliequivalents (meq). Potassium has a strong relationship with sodium, the main regulator of extracellular fluid volume, including plasma volume. This conversion is vital in the realm of healthcare, particularly. How Many Meq Is 99 Mg Of Potassium.
From www.numerade.com
SOLVED How many milliequivalents (mEq) per liter (mEq/L) are in 667 mg How Many Meq Is 99 Mg Of Potassium This conversion is vital in the realm of healthcare, particularly when monitoring or administering medication dosage based on one’s potassium levels. 20 meq potassium to mg is a conversion ratio used to determine the equivalent dosage of potassium in milligrams. The usual dose is 1 to 3 meq of potassium per kilogram (kg) (0.45 to 1.36 meq per pound) of. How Many Meq Is 99 Mg Of Potassium.
From slideplayer.com
Electrolyte solutions Milliequivalents, millimoles and milliosmoles How Many Meq Is 99 Mg Of Potassium Meq to mg conversion charts. The potassium mg to meq conversion calculator is a tool that assists medical professionals and individuals in converting the quantity of potassium from milligrams (mg) to milliequivalents (meq). Start using our potassium mg to meq conversion calculator today and take control of your potassium levels! This conversion is vital in the realm of healthcare, particularly. How Many Meq Is 99 Mg Of Potassium.
From marckruwoconnor.blogspot.com
How to Convert Meq to Mg for Potassium MarckruwOconnor How Many Meq Is 99 Mg Of Potassium The usual dose is 1 to 3 meq of potassium per kilogram (kg) (0.45 to 1.36 meq per pound) of body weight taken in smaller doses. We will look at the equation that convert meq to mg, and solve an example of 20 meq potassium chloride to mg using this equation. Potassium has a strong relationship with sodium, the main. How Many Meq Is 99 Mg Of Potassium.
From www.puritan.com
Potassium 99 mg 250 Tablets Mineral Products How Many Meq Is 99 Mg Of Potassium This conversion is vital in the realm of healthcare, particularly when monitoring or administering medication dosage based on one’s potassium levels. To determine meq from mg, take the atomic weight of the element & divide it into the mg. Start using our potassium mg to meq conversion calculator today and take control of your potassium levels! The potassium mg to. How Many Meq Is 99 Mg Of Potassium.
From www.walmart.com
Spring Valley Potassium Heart Health Dietary Supplement Caplets, 99 mg How Many Meq Is 99 Mg Of Potassium Meq to mg conversion charts. We will look at the equation that convert meq to mg, and solve an example of 20 meq potassium chloride to mg using this equation. The usual dose is 1 to 3 meq of potassium per kilogram (kg) (0.45 to 1.36 meq per pound) of body weight taken in smaller doses. To determine meq from. How Many Meq Is 99 Mg Of Potassium.
From www.micoope.com.gt
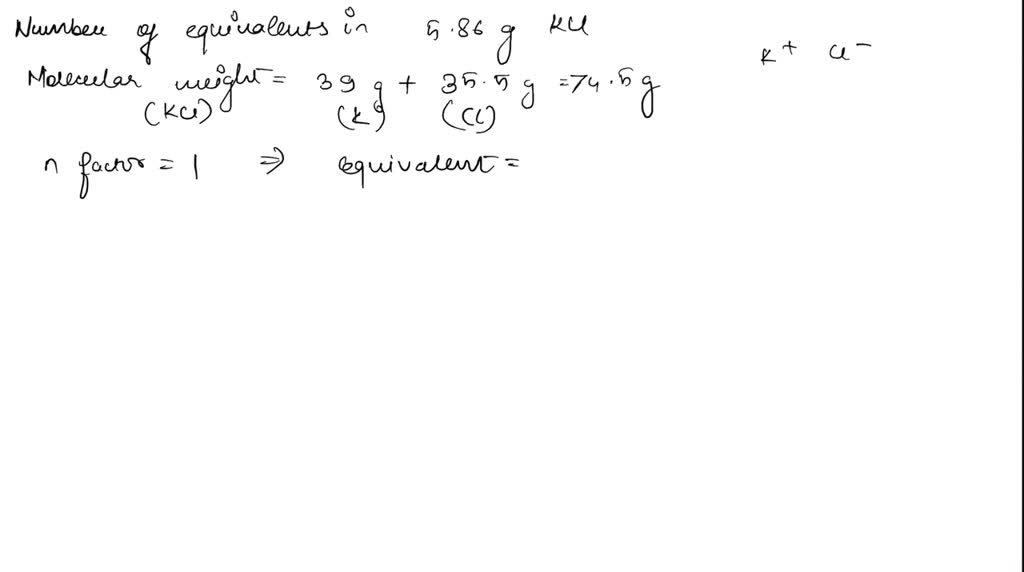
SOLVED Calculate How Many MEq Of Sodium (MW 23) Are, 57 OFF How Many Meq Is 99 Mg Of Potassium To determine meq from mg, take the atomic weight of the element & divide it into the mg. The potassium mg to meq conversion calculator is a tool that assists medical professionals and individuals in converting the quantity of potassium from milligrams (mg) to milliequivalents (meq). Start using our potassium mg to meq conversion calculator today and take control of. How Many Meq Is 99 Mg Of Potassium.
From www.mysupplementstore.com
Now Foods Potassium Gluconate 99 Mg 100 Tablets How Many Meq Is 99 Mg Of Potassium The potassium mg to meq conversion calculator is a tool that assists medical professionals and individuals in converting the quantity of potassium from milligrams (mg) to milliequivalents (meq). 20 meq potassium to mg is a conversion ratio used to determine the equivalent dosage of potassium in milligrams. To determine meq from mg, take the atomic weight of the element &. How Many Meq Is 99 Mg Of Potassium.
From www.walmart.com
Best Naturals Potassium Chloride 99 mg, 400 Tabs, NonGMO, GlutenFree How Many Meq Is 99 Mg Of Potassium To determine meq from mg, take the atomic weight of the element & divide it into the mg. 20 meq potassium to mg is a conversion ratio used to determine the equivalent dosage of potassium in milligrams. This conversion is vital in the realm of healthcare, particularly when monitoring or administering medication dosage based on one’s potassium levels. Potassium has. How Many Meq Is 99 Mg Of Potassium.
From alifersolson.blogspot.com
How to Convert Meq to Mg for Potassium How Many Meq Is 99 Mg Of Potassium The potassium mg to meq conversion calculator is a tool that assists medical professionals and individuals in converting the quantity of potassium from milligrams (mg) to milliequivalents (meq). This conversion is vital in the realm of healthcare, particularly when monitoring or administering medication dosage based on one’s potassium levels. Potassium has a strong relationship with sodium, the main regulator of. How Many Meq Is 99 Mg Of Potassium.
From exotaiksz.blob.core.windows.net
Potassium Daily Requirement Meq at Thomas Ware blog How Many Meq Is 99 Mg Of Potassium Meq to mg conversion charts. Potassium has a strong relationship with sodium, the main regulator of extracellular fluid volume, including plasma volume. This conversion is vital in the realm of healthcare, particularly when monitoring or administering medication dosage based on one’s potassium levels. The usual dose is 1 to 3 meq of potassium per kilogram (kg) (0.45 to 1.36 meq. How Many Meq Is 99 Mg Of Potassium.
From greenpharmacyonline.com
POTASSIUM CHLORIDE ER 10MEQ RX Products How Many Meq Is 99 Mg Of Potassium Meq to mg conversion charts. To determine meq from mg, take the atomic weight of the element & divide it into the mg. 20 meq potassium to mg is a conversion ratio used to determine the equivalent dosage of potassium in milligrams. We will look at the equation that convert meq to mg, and solve an example of 20 meq. How Many Meq Is 99 Mg Of Potassium.
From rk.md
Milliequivalents (mEq) versus Millimole (mmol) RK.MD How Many Meq Is 99 Mg Of Potassium 20 meq potassium to mg is a conversion ratio used to determine the equivalent dosage of potassium in milligrams. This conversion is vital in the realm of healthcare, particularly when monitoring or administering medication dosage based on one’s potassium levels. Meq to mg conversion charts. To determine meq from mg, take the atomic weight of the element & divide it. How Many Meq Is 99 Mg Of Potassium.
From mynaturesdelight.com
Potassium 99 mg 100 Vegan Tabs My Natures Delight How Many Meq Is 99 Mg Of Potassium Meq to mg conversion charts. The usual dose is 1 to 3 meq of potassium per kilogram (kg) (0.45 to 1.36 meq per pound) of body weight taken in smaller doses. This conversion is vital in the realm of healthcare, particularly when monitoring or administering medication dosage based on one’s potassium levels. We will look at the equation that convert. How Many Meq Is 99 Mg Of Potassium.
From www.coursehero.com
[Solved] 6. Potassium Chloride 20 mEq is ordered to be added to an IV How Many Meq Is 99 Mg Of Potassium We will look at the equation that convert meq to mg, and solve an example of 20 meq potassium chloride to mg using this equation. This conversion is vital in the realm of healthcare, particularly when monitoring or administering medication dosage based on one’s potassium levels. The usual dose is 1 to 3 meq of potassium per kilogram (kg) (0.45. How Many Meq Is 99 Mg Of Potassium.
From www.botaniq.ro
Potassium 99 mg (100 capsule) Botaniq.ro Magazin Online How Many Meq Is 99 Mg Of Potassium To determine meq from mg, take the atomic weight of the element & divide it into the mg. This conversion is vital in the realm of healthcare, particularly when monitoring or administering medication dosage based on one’s potassium levels. We will look at the equation that convert meq to mg, and solve an example of 20 meq potassium chloride to. How Many Meq Is 99 Mg Of Potassium.
From joifqrotr.blob.core.windows.net
How Much Potassium Is In A Potassium Supplement at Ernest Das blog How Many Meq Is 99 Mg Of Potassium We will look at the equation that convert meq to mg, and solve an example of 20 meq potassium chloride to mg using this equation. The usual dose is 1 to 3 meq of potassium per kilogram (kg) (0.45 to 1.36 meq per pound) of body weight taken in smaller doses. Meq to mg conversion charts. This conversion is vital. How Many Meq Is 99 Mg Of Potassium.
From www.heb.com
Central Market Potassium 99 mg Vegan Tablets Shop Minerals at HEB How Many Meq Is 99 Mg Of Potassium This conversion is vital in the realm of healthcare, particularly when monitoring or administering medication dosage based on one’s potassium levels. Meq to mg conversion charts. 20 meq potassium to mg is a conversion ratio used to determine the equivalent dosage of potassium in milligrams. To determine meq from mg, take the atomic weight of the element & divide it. How Many Meq Is 99 Mg Of Potassium.
From www.numerade.com
SOLVED The physician orders 5 mEq of potassium/250mL of normal saline How Many Meq Is 99 Mg Of Potassium Start using our potassium mg to meq conversion calculator today and take control of your potassium levels! Meq to mg conversion charts. We will look at the equation that convert meq to mg, and solve an example of 20 meq potassium chloride to mg using this equation. The potassium mg to meq conversion calculator is a tool that assists medical. How Many Meq Is 99 Mg Of Potassium.
From www.iherb.com
Nutricost, Potassium, 99 mg, 500 Capsules How Many Meq Is 99 Mg Of Potassium Meq to mg conversion charts. The usual dose is 1 to 3 meq of potassium per kilogram (kg) (0.45 to 1.36 meq per pound) of body weight taken in smaller doses. Start using our potassium mg to meq conversion calculator today and take control of your potassium levels! The potassium mg to meq conversion calculator is a tool that assists. How Many Meq Is 99 Mg Of Potassium.
From lifeirl.com
Potassium Supplement 99 mg Caplets 3+ Month Supply (100 Caplets How Many Meq Is 99 Mg Of Potassium Meq to mg conversion charts. We will look at the equation that convert meq to mg, and solve an example of 20 meq potassium chloride to mg using this equation. 20 meq potassium to mg is a conversion ratio used to determine the equivalent dosage of potassium in milligrams. Start using our potassium mg to meq conversion calculator today and. How Many Meq Is 99 Mg Of Potassium.
From www.numerade.com
SOLVED A serum potassium (MW = 39) is 19.5 mg/100 mL. This value is How Many Meq Is 99 Mg Of Potassium The potassium mg to meq conversion calculator is a tool that assists medical professionals and individuals in converting the quantity of potassium from milligrams (mg) to milliequivalents (meq). Meq to mg conversion charts. We will look at the equation that convert meq to mg, and solve an example of 20 meq potassium chloride to mg using this equation. This conversion. How Many Meq Is 99 Mg Of Potassium.
From greenpharmacyonline.com
POTASSIUM CHLORIDE ER 10MEQ RX Products How Many Meq Is 99 Mg Of Potassium We will look at the equation that convert meq to mg, and solve an example of 20 meq potassium chloride to mg using this equation. To determine meq from mg, take the atomic weight of the element & divide it into the mg. Start using our potassium mg to meq conversion calculator today and take control of your potassium levels!. How Many Meq Is 99 Mg Of Potassium.
From www.kroger.com
Carlson Potassium 99 mg 100 Tablets, 100 Count Kroger How Many Meq Is 99 Mg Of Potassium This conversion is vital in the realm of healthcare, particularly when monitoring or administering medication dosage based on one’s potassium levels. The usual dose is 1 to 3 meq of potassium per kilogram (kg) (0.45 to 1.36 meq per pound) of body weight taken in smaller doses. 20 meq potassium to mg is a conversion ratio used to determine the. How Many Meq Is 99 Mg Of Potassium.
From www.infestis.com
How to buy the best potassium chloride tablets 10 meq? How Many Meq Is 99 Mg Of Potassium The usual dose is 1 to 3 meq of potassium per kilogram (kg) (0.45 to 1.36 meq per pound) of body weight taken in smaller doses. We will look at the equation that convert meq to mg, and solve an example of 20 meq potassium chloride to mg using this equation. This conversion is vital in the realm of healthcare,. How Many Meq Is 99 Mg Of Potassium.
From www.coursehero.com
[Solved] Please answer both. KlorC What is mEq of potassium chloride How Many Meq Is 99 Mg Of Potassium We will look at the equation that convert meq to mg, and solve an example of 20 meq potassium chloride to mg using this equation. The potassium mg to meq conversion calculator is a tool that assists medical professionals and individuals in converting the quantity of potassium from milligrams (mg) to milliequivalents (meq). The usual dose is 1 to 3. How Many Meq Is 99 Mg Of Potassium.
From vitaminemaroc.com
Potassium 99 Mg, 100 Capsules, Nature's Way How Many Meq Is 99 Mg Of Potassium The usual dose is 1 to 3 meq of potassium per kilogram (kg) (0.45 to 1.36 meq per pound) of body weight taken in smaller doses. We will look at the equation that convert meq to mg, and solve an example of 20 meq potassium chloride to mg using this equation. Start using our potassium mg to meq conversion calculator. How Many Meq Is 99 Mg Of Potassium.
From www.numerade.com
SOLVED A normal concentration of sodium (Na) in blood plasma is 141 How Many Meq Is 99 Mg Of Potassium To determine meq from mg, take the atomic weight of the element & divide it into the mg. Meq to mg conversion charts. The usual dose is 1 to 3 meq of potassium per kilogram (kg) (0.45 to 1.36 meq per pound) of body weight taken in smaller doses. 20 meq potassium to mg is a conversion ratio used to. How Many Meq Is 99 Mg Of Potassium.
From www.numerade.com
SOLVED 12. Complete the following TPN calculations using the How Many Meq Is 99 Mg Of Potassium The potassium mg to meq conversion calculator is a tool that assists medical professionals and individuals in converting the quantity of potassium from milligrams (mg) to milliequivalents (meq). We will look at the equation that convert meq to mg, and solve an example of 20 meq potassium chloride to mg using this equation. The usual dose is 1 to 3. How Many Meq Is 99 Mg Of Potassium.
From www.puritan.com
Potassium 99 mg, 100 Caplets (1110) Puritan's Pride How Many Meq Is 99 Mg Of Potassium 20 meq potassium to mg is a conversion ratio used to determine the equivalent dosage of potassium in milligrams. This conversion is vital in the realm of healthcare, particularly when monitoring or administering medication dosage based on one’s potassium levels. Start using our potassium mg to meq conversion calculator today and take control of your potassium levels! The usual dose. How Many Meq Is 99 Mg Of Potassium.
From www.victorteaches.com
Best Potassium Supplement A Comprehensive Guide to Choosing the Right How Many Meq Is 99 Mg Of Potassium 20 meq potassium to mg is a conversion ratio used to determine the equivalent dosage of potassium in milligrams. The potassium mg to meq conversion calculator is a tool that assists medical professionals and individuals in converting the quantity of potassium from milligrams (mg) to milliequivalents (meq). Start using our potassium mg to meq conversion calculator today and take control. How Many Meq Is 99 Mg Of Potassium.
From www.jigsawcad.com
Let the experts talk about How many mg is equal to 1 mEq [New Research] How Many Meq Is 99 Mg Of Potassium Potassium has a strong relationship with sodium, the main regulator of extracellular fluid volume, including plasma volume. To determine meq from mg, take the atomic weight of the element & divide it into the mg. Start using our potassium mg to meq conversion calculator today and take control of your potassium levels! This conversion is vital in the realm of. How Many Meq Is 99 Mg Of Potassium.
From gbu-taganskij.ru
Solved] A Continuous IV Of 1000 Ml With 40 MEq KCL Is, 59 OFF How Many Meq Is 99 Mg Of Potassium 20 meq potassium to mg is a conversion ratio used to determine the equivalent dosage of potassium in milligrams. Potassium has a strong relationship with sodium, the main regulator of extracellular fluid volume, including plasma volume. The usual dose is 1 to 3 meq of potassium per kilogram (kg) (0.45 to 1.36 meq per pound) of body weight taken in. How Many Meq Is 99 Mg Of Potassium.
From exotaiksz.blob.core.windows.net
Potassium Daily Requirement Meq at Thomas Ware blog How Many Meq Is 99 Mg Of Potassium The usual dose is 1 to 3 meq of potassium per kilogram (kg) (0.45 to 1.36 meq per pound) of body weight taken in smaller doses. The potassium mg to meq conversion calculator is a tool that assists medical professionals and individuals in converting the quantity of potassium from milligrams (mg) to milliequivalents (meq). To determine meq from mg, take. How Many Meq Is 99 Mg Of Potassium.