Homeless Shelter Zoning Code . See below for the unofficial version of new york codes, rules and regulations (nycrr). The text of the zoning resolution consists of 14 articles that establish the zoning districts for the city and the regulations governing land use and development. Articles i through vii contain the use, bulk,. The division of shelter oversight and compliance (dsoc) is responsible for the certification and inspection of publicly funded homeless shelters. Contact the division of shelter oversight and compliance at. Homebase if you are about to become homeless, homebase can help you stay out of shelter.
from www.scribd.com
See below for the unofficial version of new york codes, rules and regulations (nycrr). The division of shelter oversight and compliance (dsoc) is responsible for the certification and inspection of publicly funded homeless shelters. Contact the division of shelter oversight and compliance at. Articles i through vii contain the use, bulk,. Homebase if you are about to become homeless, homebase can help you stay out of shelter. The text of the zoning resolution consists of 14 articles that establish the zoning districts for the city and the regulations governing land use and development.
Homeless Resource Center and Homeless Shelter Information Sheet PDF Homelessness Zoning
Homeless Shelter Zoning Code Homebase if you are about to become homeless, homebase can help you stay out of shelter. See below for the unofficial version of new york codes, rules and regulations (nycrr). The division of shelter oversight and compliance (dsoc) is responsible for the certification and inspection of publicly funded homeless shelters. Articles i through vii contain the use, bulk,. Contact the division of shelter oversight and compliance at. The text of the zoning resolution consists of 14 articles that establish the zoning districts for the city and the regulations governing land use and development. Homebase if you are about to become homeless, homebase can help you stay out of shelter.
From www.pdffiller.com
Fillable Online Homeless Resource Centers and Shelters Zoning Text Fax Email Print pdfFiller Homeless Shelter Zoning Code The text of the zoning resolution consists of 14 articles that establish the zoning districts for the city and the regulations governing land use and development. Contact the division of shelter oversight and compliance at. The division of shelter oversight and compliance (dsoc) is responsible for the certification and inspection of publicly funded homeless shelters. See below for the unofficial. Homeless Shelter Zoning Code.
From sccivics.wordpress.com
Homeless Shelter Zoning, Round 2 San Clemente Civics Homeless Shelter Zoning Code The text of the zoning resolution consists of 14 articles that establish the zoning districts for the city and the regulations governing land use and development. See below for the unofficial version of new york codes, rules and regulations (nycrr). Homebase if you are about to become homeless, homebase can help you stay out of shelter. The division of shelter. Homeless Shelter Zoning Code.
From www.pressherald.com
South Portland gives first OK to homeless shelter plan Homeless Shelter Zoning Code See below for the unofficial version of new york codes, rules and regulations (nycrr). The division of shelter oversight and compliance (dsoc) is responsible for the certification and inspection of publicly funded homeless shelters. Homebase if you are about to become homeless, homebase can help you stay out of shelter. Articles i through vii contain the use, bulk,. The text. Homeless Shelter Zoning Code.
From www.scribd.com
1.4 Ranasinghe Valverde Toronto Shelter Zoning ByLaw PDF Homelessness Zoning Homeless Shelter Zoning Code Contact the division of shelter oversight and compliance at. Homebase if you are about to become homeless, homebase can help you stay out of shelter. The text of the zoning resolution consists of 14 articles that establish the zoning districts for the city and the regulations governing land use and development. See below for the unofficial version of new york. Homeless Shelter Zoning Code.
From klewtv.com
Lewiston Planning and Zoning discuss homeless shelter zoning KLEW Homeless Shelter Zoning Code Homebase if you are about to become homeless, homebase can help you stay out of shelter. The division of shelter oversight and compliance (dsoc) is responsible for the certification and inspection of publicly funded homeless shelters. Articles i through vii contain the use, bulk,. See below for the unofficial version of new york codes, rules and regulations (nycrr). Contact the. Homeless Shelter Zoning Code.
From www.mi-reporter.com
Bellevue council approves code amendment for homeless shelters Mercer Island Reporter Homeless Shelter Zoning Code Contact the division of shelter oversight and compliance at. Articles i through vii contain the use, bulk,. Homebase if you are about to become homeless, homebase can help you stay out of shelter. See below for the unofficial version of new york codes, rules and regulations (nycrr). The division of shelter oversight and compliance (dsoc) is responsible for the certification. Homeless Shelter Zoning Code.
From www.wxii12.com
North Wilkesboro homeless shelter sues town over zoning rules Homeless Shelter Zoning Code The division of shelter oversight and compliance (dsoc) is responsible for the certification and inspection of publicly funded homeless shelters. Articles i through vii contain the use, bulk,. Homebase if you are about to become homeless, homebase can help you stay out of shelter. Contact the division of shelter oversight and compliance at. See below for the unofficial version of. Homeless Shelter Zoning Code.
From www.scribd.com
Zoning Issue HomeLess Shelter PDF Homelessness Homeless Shelter Zoning Code See below for the unofficial version of new york codes, rules and regulations (nycrr). Contact the division of shelter oversight and compliance at. The text of the zoning resolution consists of 14 articles that establish the zoning districts for the city and the regulations governing land use and development. Articles i through vii contain the use, bulk,. The division of. Homeless Shelter Zoning Code.
From thesummitpinnacle.com
Bend’s New City Zoning Codes Will Allow for More Homeless Shelters The Summit Pinnacle Homeless Shelter Zoning Code The text of the zoning resolution consists of 14 articles that establish the zoning districts for the city and the regulations governing land use and development. See below for the unofficial version of new york codes, rules and regulations (nycrr). The division of shelter oversight and compliance (dsoc) is responsible for the certification and inspection of publicly funded homeless shelters.. Homeless Shelter Zoning Code.
From www.coloradopolitics.com
Denver clears path for zoning change that could free up land for managed homeless campsites Homeless Shelter Zoning Code See below for the unofficial version of new york codes, rules and regulations (nycrr). Articles i through vii contain the use, bulk,. The text of the zoning resolution consists of 14 articles that establish the zoning districts for the city and the regulations governing land use and development. The division of shelter oversight and compliance (dsoc) is responsible for the. Homeless Shelter Zoning Code.
From wgme.com
Brunswick approves new zoning rules for homeless shelters Homeless Shelter Zoning Code See below for the unofficial version of new york codes, rules and regulations (nycrr). Homebase if you are about to become homeless, homebase can help you stay out of shelter. Contact the division of shelter oversight and compliance at. Articles i through vii contain the use, bulk,. The text of the zoning resolution consists of 14 articles that establish the. Homeless Shelter Zoning Code.
From www.americanpress.com
Lake Charles zoning board approves homeless shelter proposal American Press American Press Homeless Shelter Zoning Code Articles i through vii contain the use, bulk,. See below for the unofficial version of new york codes, rules and regulations (nycrr). The division of shelter oversight and compliance (dsoc) is responsible for the certification and inspection of publicly funded homeless shelters. The text of the zoning resolution consists of 14 articles that establish the zoning districts for the city. Homeless Shelter Zoning Code.
From lancasteronline.com
City zoning board approves youth homeless shelter Local News Homeless Shelter Zoning Code See below for the unofficial version of new york codes, rules and regulations (nycrr). Contact the division of shelter oversight and compliance at. The division of shelter oversight and compliance (dsoc) is responsible for the certification and inspection of publicly funded homeless shelters. Homebase if you are about to become homeless, homebase can help you stay out of shelter. Articles. Homeless Shelter Zoning Code.
From www.phelpscountyfocus.com
Proposed zoning code changes for homeless shelters filed with P&Z News Homeless Shelter Zoning Code Contact the division of shelter oversight and compliance at. Articles i through vii contain the use, bulk,. Homebase if you are about to become homeless, homebase can help you stay out of shelter. The text of the zoning resolution consists of 14 articles that establish the zoning districts for the city and the regulations governing land use and development. The. Homeless Shelter Zoning Code.
From www.ideastream.org
New Philadelphia homeless shelter location rejected due to zoning Ideastream Public Media Homeless Shelter Zoning Code Contact the division of shelter oversight and compliance at. Articles i through vii contain the use, bulk,. The division of shelter oversight and compliance (dsoc) is responsible for the certification and inspection of publicly funded homeless shelters. The text of the zoning resolution consists of 14 articles that establish the zoning districts for the city and the regulations governing land. Homeless Shelter Zoning Code.
From www.slc.gov
Homeless Resource Centers and Shelters Zoning Text Amendments Planning Homeless Shelter Zoning Code The text of the zoning resolution consists of 14 articles that establish the zoning districts for the city and the regulations governing land use and development. Articles i through vii contain the use, bulk,. The division of shelter oversight and compliance (dsoc) is responsible for the certification and inspection of publicly funded homeless shelters. See below for the unofficial version. Homeless Shelter Zoning Code.
From www.tffn.net
How to Start a Homeless Shelter Steps, Planning & Resources The Enlightened Mindset Homeless Shelter Zoning Code Contact the division of shelter oversight and compliance at. Homebase if you are about to become homeless, homebase can help you stay out of shelter. See below for the unofficial version of new york codes, rules and regulations (nycrr). The text of the zoning resolution consists of 14 articles that establish the zoning districts for the city and the regulations. Homeless Shelter Zoning Code.
From www.scribd.com
Homeless Resource Center and Homeless Shelter Information Sheet PDF Homelessness Zoning Homeless Shelter Zoning Code Articles i through vii contain the use, bulk,. The division of shelter oversight and compliance (dsoc) is responsible for the certification and inspection of publicly funded homeless shelters. The text of the zoning resolution consists of 14 articles that establish the zoning districts for the city and the regulations governing land use and development. Homebase if you are about to. Homeless Shelter Zoning Code.
From tdn.com
How to find the Longview shelter zoning map Local Homeless Shelter Zoning Code Homebase if you are about to become homeless, homebase can help you stay out of shelter. See below for the unofficial version of new york codes, rules and regulations (nycrr). Contact the division of shelter oversight and compliance at. Articles i through vii contain the use, bulk,. The text of the zoning resolution consists of 14 articles that establish the. Homeless Shelter Zoning Code.
From slideplayer.com
Zoning Code Amendment Emergency Shelters, Limited ppt download Homeless Shelter Zoning Code See below for the unofficial version of new york codes, rules and regulations (nycrr). Contact the division of shelter oversight and compliance at. Articles i through vii contain the use, bulk,. The text of the zoning resolution consists of 14 articles that establish the zoning districts for the city and the regulations governing land use and development. The division of. Homeless Shelter Zoning Code.
From www.phelpscountyfocus.com
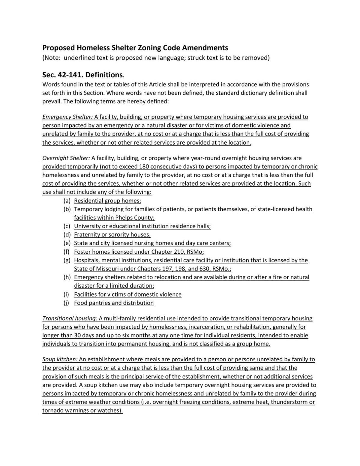
Proposed Homeless Shelter Zoning Code Amendments Homeless Shelter Zoning Code Contact the division of shelter oversight and compliance at. Articles i through vii contain the use, bulk,. The division of shelter oversight and compliance (dsoc) is responsible for the certification and inspection of publicly funded homeless shelters. The text of the zoning resolution consists of 14 articles that establish the zoning districts for the city and the regulations governing land. Homeless Shelter Zoning Code.
From www.careforthehomeless.org
Care For the Homeless Mapping the Solutions to Homelessness Part 1 Care For the Homeless Homeless Shelter Zoning Code Homebase if you are about to become homeless, homebase can help you stay out of shelter. Articles i through vii contain the use, bulk,. The division of shelter oversight and compliance (dsoc) is responsible for the certification and inspection of publicly funded homeless shelters. See below for the unofficial version of new york codes, rules and regulations (nycrr). The text. Homeless Shelter Zoning Code.
From www.latimes.com
Permanent Costa Mesa homeless shelter may get needed zoning tweak Los Angeles Times Homeless Shelter Zoning Code See below for the unofficial version of new york codes, rules and regulations (nycrr). The text of the zoning resolution consists of 14 articles that establish the zoning districts for the city and the regulations governing land use and development. Articles i through vii contain the use, bulk,. Homebase if you are about to become homeless, homebase can help you. Homeless Shelter Zoning Code.
From www.pinterest.ph
CrossRoads House Homeless Shelter Container Proposal on Behance Shelter design, Homeless Homeless Shelter Zoning Code See below for the unofficial version of new york codes, rules and regulations (nycrr). The text of the zoning resolution consists of 14 articles that establish the zoning districts for the city and the regulations governing land use and development. Contact the division of shelter oversight and compliance at. Articles i through vii contain the use, bulk,. The division of. Homeless Shelter Zoning Code.
From studylib.net
Zoning and Restricting Locations of Homeless Shelters Homeless Shelter Zoning Code The text of the zoning resolution consists of 14 articles that establish the zoning districts for the city and the regulations governing land use and development. Articles i through vii contain the use, bulk,. The division of shelter oversight and compliance (dsoc) is responsible for the certification and inspection of publicly funded homeless shelters. Homebase if you are about to. Homeless Shelter Zoning Code.
From www.wmtw.com
Westbrook City Council moves forward with zoning ordinance that would allow homeless shelters to Homeless Shelter Zoning Code See below for the unofficial version of new york codes, rules and regulations (nycrr). The division of shelter oversight and compliance (dsoc) is responsible for the certification and inspection of publicly funded homeless shelters. The text of the zoning resolution consists of 14 articles that establish the zoning districts for the city and the regulations governing land use and development.. Homeless Shelter Zoning Code.
From slideplayer.com
Zoning Code Amendment Emergency Shelters, Limited ppt download Homeless Shelter Zoning Code The division of shelter oversight and compliance (dsoc) is responsible for the certification and inspection of publicly funded homeless shelters. Contact the division of shelter oversight and compliance at. See below for the unofficial version of new york codes, rules and regulations (nycrr). The text of the zoning resolution consists of 14 articles that establish the zoning districts for the. Homeless Shelter Zoning Code.
From www.wynnecre.com
San Clemente Homeless Shelter Update Truth, Confusion, and Misinformation — WynneCRE Orange Homeless Shelter Zoning Code See below for the unofficial version of new york codes, rules and regulations (nycrr). The division of shelter oversight and compliance (dsoc) is responsible for the certification and inspection of publicly funded homeless shelters. Homebase if you are about to become homeless, homebase can help you stay out of shelter. The text of the zoning resolution consists of 14 articles. Homeless Shelter Zoning Code.
From www.adn.com
Anchorage Assembly postpones action on zoning ordinance allowing homeless shelters Anchorage Homeless Shelter Zoning Code Contact the division of shelter oversight and compliance at. The division of shelter oversight and compliance (dsoc) is responsible for the certification and inspection of publicly funded homeless shelters. The text of the zoning resolution consists of 14 articles that establish the zoning districts for the city and the regulations governing land use and development. Articles i through vii contain. Homeless Shelter Zoning Code.
From www.pinterest.com
San Francisco Zoning Laws Eased To Help Homeless cbssf sanfrancisco homeless shelters Homeless Shelter Zoning Code Articles i through vii contain the use, bulk,. See below for the unofficial version of new york codes, rules and regulations (nycrr). The division of shelter oversight and compliance (dsoc) is responsible for the certification and inspection of publicly funded homeless shelters. Contact the division of shelter oversight and compliance at. Homebase if you are about to become homeless, homebase. Homeless Shelter Zoning Code.
From www.adn.com
Proposed change to Anchorage land use code focus of debate over future of homeless Homeless Shelter Zoning Code The text of the zoning resolution consists of 14 articles that establish the zoning districts for the city and the regulations governing land use and development. The division of shelter oversight and compliance (dsoc) is responsible for the certification and inspection of publicly funded homeless shelters. See below for the unofficial version of new york codes, rules and regulations (nycrr).. Homeless Shelter Zoning Code.
From buildingsaltlake.com
Mayor’s ban on new homeless shelters meets Planning Commission, which votes to allow small Homeless Shelter Zoning Code The division of shelter oversight and compliance (dsoc) is responsible for the certification and inspection of publicly funded homeless shelters. Articles i through vii contain the use, bulk,. Contact the division of shelter oversight and compliance at. See below for the unofficial version of new york codes, rules and regulations (nycrr). The text of the zoning resolution consists of 14. Homeless Shelter Zoning Code.
From 1029rewindradio.ca
BC Housing gives update on Cranbrook homeless shelter project 102.9 Rewind Radio Homeless Shelter Zoning Code Contact the division of shelter oversight and compliance at. The division of shelter oversight and compliance (dsoc) is responsible for the certification and inspection of publicly funded homeless shelters. Articles i through vii contain the use, bulk,. The text of the zoning resolution consists of 14 articles that establish the zoning districts for the city and the regulations governing land. Homeless Shelter Zoning Code.
From www.phelpscountyfocus.com
Proposed Homeless Shelter Zoning Code Amendments Homeless Shelter Zoning Code The division of shelter oversight and compliance (dsoc) is responsible for the certification and inspection of publicly funded homeless shelters. The text of the zoning resolution consists of 14 articles that establish the zoning districts for the city and the regulations governing land use and development. Homebase if you are about to become homeless, homebase can help you stay out. Homeless Shelter Zoning Code.
From www.ktvb.com
Boise's proposed zoning code could impact local shelters Homeless Shelter Zoning Code Contact the division of shelter oversight and compliance at. Homebase if you are about to become homeless, homebase can help you stay out of shelter. The division of shelter oversight and compliance (dsoc) is responsible for the certification and inspection of publicly funded homeless shelters. See below for the unofficial version of new york codes, rules and regulations (nycrr). Articles. Homeless Shelter Zoning Code.