Calculus Early Transcendentals 6Th Edition James Stewart Solutions . Early transcendentals (stewart's calculus series) 6th edition chapter 16.6 solutions now. Student solutions manual for stewart's essential calculus : Early transcendentals 6th edition published by cengage learning? Student solutions manual for calculus early transcendentals ninth edition by james stewart, daniel k. Our solutions are written by chegg experts. No need to wait for office hours.
from poshmark.com
Student solutions manual for calculus early transcendentals ninth edition by james stewart, daniel k. Early transcendentals 6th edition published by cengage learning? Student solutions manual for stewart's essential calculus : No need to wait for office hours. Early transcendentals (stewart's calculus series) 6th edition chapter 16.6 solutions now. Our solutions are written by chegg experts.
Other Calculus Early Transcendentals By James Stewart 8e Poshmark
Calculus Early Transcendentals 6Th Edition James Stewart Solutions Early transcendentals 6th edition published by cengage learning? Early transcendentals (stewart's calculus series) 6th edition chapter 16.6 solutions now. Student solutions manual for stewart's essential calculus : Early transcendentals 6th edition published by cengage learning? Our solutions are written by chegg experts. No need to wait for office hours. Student solutions manual for calculus early transcendentals ninth edition by james stewart, daniel k.
From offerup.com
James Stewart Calculus Early Transcendentals Eight Edition for Sale in Calculus Early Transcendentals 6Th Edition James Stewart Solutions Student solutions manual for calculus early transcendentals ninth edition by james stewart, daniel k. Student solutions manual for stewart's essential calculus : No need to wait for office hours. Our solutions are written by chegg experts. Early transcendentals 6th edition published by cengage learning? Early transcendentals (stewart's calculus series) 6th edition chapter 16.6 solutions now. Calculus Early Transcendentals 6Th Edition James Stewart Solutions.
From www.animalia-life.club
Calculus Book James Stewart Calculus Early Transcendentals 6Th Edition James Stewart Solutions Student solutions manual for calculus early transcendentals ninth edition by james stewart, daniel k. No need to wait for office hours. Student solutions manual for stewart's essential calculus : Early transcendentals 6th edition published by cengage learning? Our solutions are written by chegg experts. Early transcendentals (stewart's calculus series) 6th edition chapter 16.6 solutions now. Calculus Early Transcendentals 6Th Edition James Stewart Solutions.
From www.yes24.com
Calculus Early Transcendentals YES24 Calculus Early Transcendentals 6Th Edition James Stewart Solutions Our solutions are written by chegg experts. Early transcendentals (stewart's calculus series) 6th edition chapter 16.6 solutions now. No need to wait for office hours. Early transcendentals 6th edition published by cengage learning? Student solutions manual for calculus early transcendentals ninth edition by james stewart, daniel k. Student solutions manual for stewart's essential calculus : Calculus Early Transcendentals 6Th Edition James Stewart Solutions.
From quandoewallpaper.blogspot.com
Calculus Early Transcendentals Pdf 8Th Free / October 15, 2011 1347 Calculus Early Transcendentals 6Th Edition James Stewart Solutions No need to wait for office hours. Our solutions are written by chegg experts. Early transcendentals 6th edition published by cengage learning? Student solutions manual for stewart's essential calculus : Student solutions manual for calculus early transcendentals ninth edition by james stewart, daniel k. Early transcendentals (stewart's calculus series) 6th edition chapter 16.6 solutions now. Calculus Early Transcendentals 6Th Edition James Stewart Solutions.
From www.studypool.com
SOLUTION Chapter 1 functions and models part 3 calculus early Calculus Early Transcendentals 6Th Edition James Stewart Solutions Our solutions are written by chegg experts. No need to wait for office hours. Early transcendentals (stewart's calculus series) 6th edition chapter 16.6 solutions now. Student solutions manual for calculus early transcendentals ninth edition by james stewart, daniel k. Student solutions manual for stewart's essential calculus : Early transcendentals 6th edition published by cengage learning? Calculus Early Transcendentals 6Th Edition James Stewart Solutions.
From www.carousell.sg
Calculus Early Transcendentals 9th Edition, Metric Version, James Calculus Early Transcendentals 6Th Edition James Stewart Solutions Student solutions manual for stewart's essential calculus : Our solutions are written by chegg experts. Early transcendentals (stewart's calculus series) 6th edition chapter 16.6 solutions now. Early transcendentals 6th edition published by cengage learning? Student solutions manual for calculus early transcendentals ninth edition by james stewart, daniel k. No need to wait for office hours. Calculus Early Transcendentals 6Th Edition James Stewart Solutions.
From www.freelibros.net
Calculus. Early Transcendentals, 9th Edition James Stewart FreeLibros Calculus Early Transcendentals 6Th Edition James Stewart Solutions Our solutions are written by chegg experts. Student solutions manual for calculus early transcendentals ninth edition by james stewart, daniel k. Early transcendentals (stewart's calculus series) 6th edition chapter 16.6 solutions now. Student solutions manual for stewart's essential calculus : No need to wait for office hours. Early transcendentals 6th edition published by cengage learning? Calculus Early Transcendentals 6Th Edition James Stewart Solutions.
From classschoolberg.z21.web.core.windows.net
Calculus Early Transcendentals 8th Edition Pdf Calculus Early Transcendentals 6Th Edition James Stewart Solutions Our solutions are written by chegg experts. Student solutions manual for calculus early transcendentals ninth edition by james stewart, daniel k. No need to wait for office hours. Early transcendentals (stewart's calculus series) 6th edition chapter 16.6 solutions now. Student solutions manual for stewart's essential calculus : Early transcendentals 6th edition published by cengage learning? Calculus Early Transcendentals 6Th Edition James Stewart Solutions.
From www.amazon.in
Buy STUDENT SOLUTIONS MANUAL FOR SINGLE VARIABLE CALCULUS EARLY Early Calculus Early Transcendentals 6Th Edition James Stewart Solutions No need to wait for office hours. Student solutions manual for stewart's essential calculus : Our solutions are written by chegg experts. Early transcendentals 6th edition published by cengage learning? Student solutions manual for calculus early transcendentals ninth edition by james stewart, daniel k. Early transcendentals (stewart's calculus series) 6th edition chapter 16.6 solutions now. Calculus Early Transcendentals 6Th Edition James Stewart Solutions.
From www.carousell.ph
Calculus Early Transcendentals (6th Edition) by James Stewart, Hobbies Calculus Early Transcendentals 6Th Edition James Stewart Solutions Early transcendentals (stewart's calculus series) 6th edition chapter 16.6 solutions now. No need to wait for office hours. Our solutions are written by chegg experts. Early transcendentals 6th edition published by cengage learning? Student solutions manual for calculus early transcendentals ninth edition by james stewart, daniel k. Student solutions manual for stewart's essential calculus : Calculus Early Transcendentals 6Th Edition James Stewart Solutions.
From onlinebookshop.pk
Calculus Early Transcendentals 8th Edition By James Stewart Calculus Early Transcendentals 6Th Edition James Stewart Solutions Student solutions manual for stewart's essential calculus : Student solutions manual for calculus early transcendentals ninth edition by james stewart, daniel k. Early transcendentals 6th edition published by cengage learning? Early transcendentals (stewart's calculus series) 6th edition chapter 16.6 solutions now. No need to wait for office hours. Our solutions are written by chegg experts. Calculus Early Transcendentals 6Th Edition James Stewart Solutions.
From studylib.net
James Stewart Calculus Early Transcendentals (6th) Student Calculus Early Transcendentals 6Th Edition James Stewart Solutions Student solutions manual for stewart's essential calculus : Early transcendentals 6th edition published by cengage learning? No need to wait for office hours. Our solutions are written by chegg experts. Early transcendentals (stewart's calculus series) 6th edition chapter 16.6 solutions now. Student solutions manual for calculus early transcendentals ninth edition by james stewart, daniel k. Calculus Early Transcendentals 6Th Edition James Stewart Solutions.
From classfullsacroiliac.z14.web.core.windows.net
Calculus Early Transcendentals 8th Edition By James Stewart Calculus Early Transcendentals 6Th Edition James Stewart Solutions Our solutions are written by chegg experts. Student solutions manual for stewart's essential calculus : Early transcendentals 6th edition published by cengage learning? Early transcendentals (stewart's calculus series) 6th edition chapter 16.6 solutions now. Student solutions manual for calculus early transcendentals ninth edition by james stewart, daniel k. No need to wait for office hours. Calculus Early Transcendentals 6Th Edition James Stewart Solutions.
From www.carousell.sg
Calculus James Stewart Sixth Edition, Hobbies & Toys, Books & Magazines Calculus Early Transcendentals 6Th Edition James Stewart Solutions Our solutions are written by chegg experts. Early transcendentals (stewart's calculus series) 6th edition chapter 16.6 solutions now. No need to wait for office hours. Student solutions manual for stewart's essential calculus : Student solutions manual for calculus early transcendentals ninth edition by james stewart, daniel k. Early transcendentals 6th edition published by cengage learning? Calculus Early Transcendentals 6Th Edition James Stewart Solutions.
From www.studocu.com
(SM)Single Variable Calculus Early Transcendentals 9E Stewart Calculus Early Transcendentals 6Th Edition James Stewart Solutions Student solutions manual for stewart's essential calculus : No need to wait for office hours. Our solutions are written by chegg experts. Early transcendentals (stewart's calculus series) 6th edition chapter 16.6 solutions now. Student solutions manual for calculus early transcendentals ninth edition by james stewart, daniel k. Early transcendentals 6th edition published by cengage learning? Calculus Early Transcendentals 6Th Edition James Stewart Solutions.
From pdfprof.com
Stewart Calculus Early Transcedentals 6e VNUA Calculus Early Transcendentals 6Th Edition James Stewart Solutions Student solutions manual for calculus early transcendentals ninth edition by james stewart, daniel k. Early transcendentals 6th edition published by cengage learning? Early transcendentals (stewart's calculus series) 6th edition chapter 16.6 solutions now. No need to wait for office hours. Student solutions manual for stewart's essential calculus : Our solutions are written by chegg experts. Calculus Early Transcendentals 6Th Edition James Stewart Solutions.
From studylib.net
Calculus Early Transcendentals James Stewart 6th Edition Calculus Early Transcendentals 6Th Edition James Stewart Solutions No need to wait for office hours. Early transcendentals 6th edition published by cengage learning? Student solutions manual for stewart's essential calculus : Our solutions are written by chegg experts. Early transcendentals (stewart's calculus series) 6th edition chapter 16.6 solutions now. Student solutions manual for calculus early transcendentals ninth edition by james stewart, daniel k. Calculus Early Transcendentals 6Th Edition James Stewart Solutions.
From studylib.net
Single Variable Calculus Early Transcendentals, 6th Edition Calculus Early Transcendentals 6Th Edition James Stewart Solutions Our solutions are written by chegg experts. Student solutions manual for calculus early transcendentals ninth edition by james stewart, daniel k. Early transcendentals 6th edition published by cengage learning? Student solutions manual for stewart's essential calculus : Early transcendentals (stewart's calculus series) 6th edition chapter 16.6 solutions now. No need to wait for office hours. Calculus Early Transcendentals 6Th Edition James Stewart Solutions.
From ameliahurst.z19.web.core.windows.net
Calculus Early Transcendentals By James Stewart 8Th Edition Pdf Calculus Early Transcendentals 6Th Edition James Stewart Solutions Student solutions manual for calculus early transcendentals ninth edition by james stewart, daniel k. Early transcendentals (stewart's calculus series) 6th edition chapter 16.6 solutions now. No need to wait for office hours. Student solutions manual for stewart's essential calculus : Early transcendentals 6th edition published by cengage learning? Our solutions are written by chegg experts. Calculus Early Transcendentals 6Th Edition James Stewart Solutions.
From www.thenile.com.au
Essential Calculus by James Stewart, Hardcover, 9781133112280 Buy Calculus Early Transcendentals 6Th Edition James Stewart Solutions Early transcendentals 6th edition published by cengage learning? Student solutions manual for calculus early transcendentals ninth edition by james stewart, daniel k. Student solutions manual for stewart's essential calculus : Early transcendentals (stewart's calculus series) 6th edition chapter 16.6 solutions now. Our solutions are written by chegg experts. No need to wait for office hours. Calculus Early Transcendentals 6Th Edition James Stewart Solutions.
From poshmark.com
Other Calculus Early Transcendentals By James Stewart 8e Poshmark Calculus Early Transcendentals 6Th Edition James Stewart Solutions Early transcendentals (stewart's calculus series) 6th edition chapter 16.6 solutions now. Student solutions manual for calculus early transcendentals ninth edition by james stewart, daniel k. Early transcendentals 6th edition published by cengage learning? No need to wait for office hours. Student solutions manual for stewart's essential calculus : Our solutions are written by chegg experts. Calculus Early Transcendentals 6Th Edition James Stewart Solutions.
From www.amazon.com
Calculus Early Transcendentals, 6th Edition James Stewart Calculus Early Transcendentals 6Th Edition James Stewart Solutions Early transcendentals (stewart's calculus series) 6th edition chapter 16.6 solutions now. No need to wait for office hours. Early transcendentals 6th edition published by cengage learning? Our solutions are written by chegg experts. Student solutions manual for stewart's essential calculus : Student solutions manual for calculus early transcendentals ninth edition by james stewart, daniel k. Calculus Early Transcendentals 6Th Edition James Stewart Solutions.
From www.cengageasia.com
Calculus Early Transcendentals, Metric Edition Calculus Early Transcendentals 6Th Edition James Stewart Solutions Early transcendentals (stewart's calculus series) 6th edition chapter 16.6 solutions now. Student solutions manual for calculus early transcendentals ninth edition by james stewart, daniel k. Student solutions manual for stewart's essential calculus : No need to wait for office hours. Early transcendentals 6th edition published by cengage learning? Our solutions are written by chegg experts. Calculus Early Transcendentals 6Th Edition James Stewart Solutions.
From www.bol.com
Calculus, Early Transcendentals 9781305272378 James Stewart Calculus Early Transcendentals 6Th Edition James Stewart Solutions Early transcendentals 6th edition published by cengage learning? Our solutions are written by chegg experts. Student solutions manual for calculus early transcendentals ninth edition by james stewart, daniel k. Early transcendentals (stewart's calculus series) 6th edition chapter 16.6 solutions now. Student solutions manual for stewart's essential calculus : No need to wait for office hours. Calculus Early Transcendentals 6Th Edition James Stewart Solutions.
From issuu.com
Calculus early transcendentals 6th edition stewart series solution Calculus Early Transcendentals 6Th Edition James Stewart Solutions Early transcendentals (stewart's calculus series) 6th edition chapter 16.6 solutions now. Early transcendentals 6th edition published by cengage learning? No need to wait for office hours. Student solutions manual for calculus early transcendentals ninth edition by james stewart, daniel k. Student solutions manual for stewart's essential calculus : Our solutions are written by chegg experts. Calculus Early Transcendentals 6Th Edition James Stewart Solutions.
From www.goodreads.com
Calculus Early Transcendentals, Seventh Edition by James Stewart Calculus Early Transcendentals 6Th Edition James Stewart Solutions No need to wait for office hours. Early transcendentals 6th edition published by cengage learning? Our solutions are written by chegg experts. Student solutions manual for stewart's essential calculus : Student solutions manual for calculus early transcendentals ninth edition by james stewart, daniel k. Early transcendentals (stewart's calculus series) 6th edition chapter 16.6 solutions now. Calculus Early Transcendentals 6Th Edition James Stewart Solutions.
From www.studocu.com
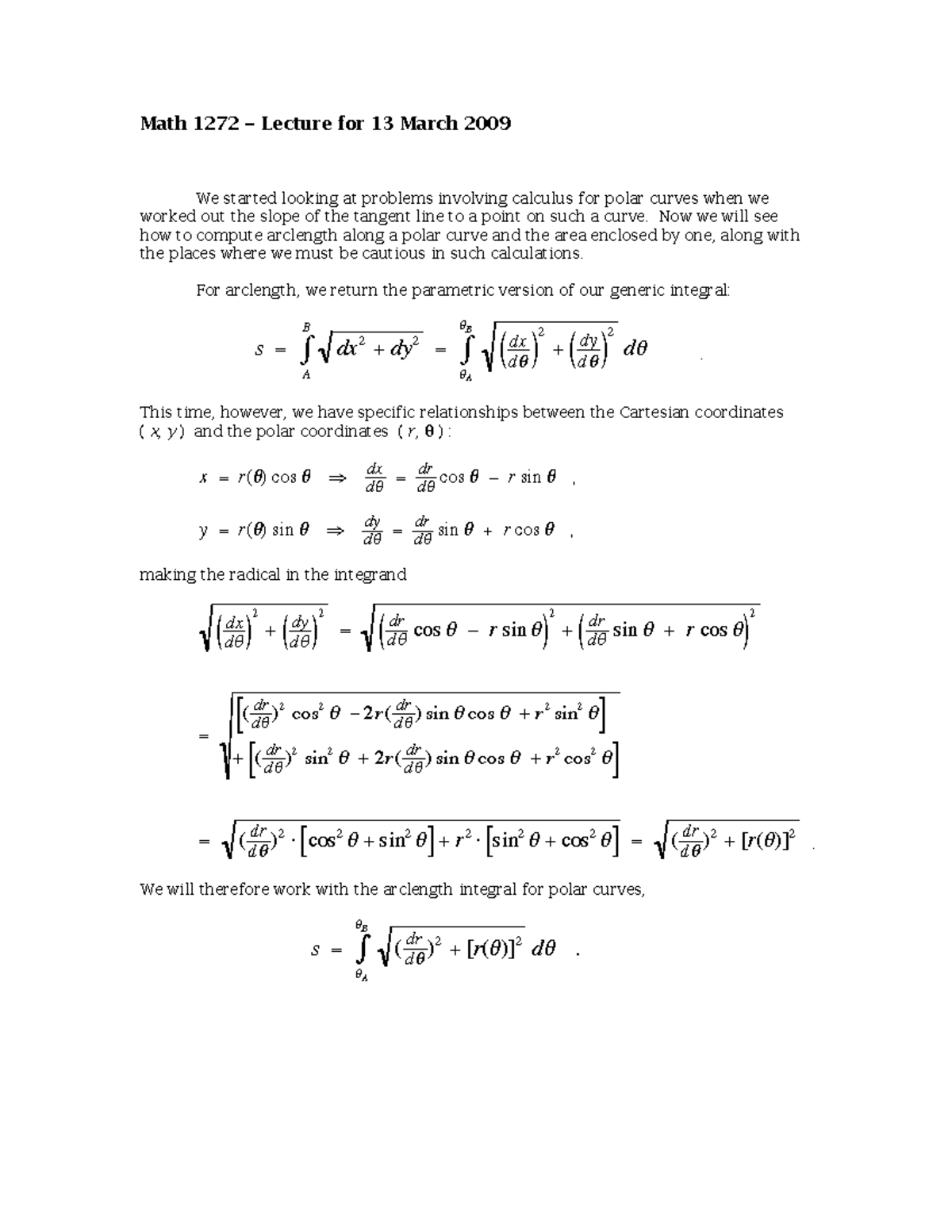
March 13lecture Stewart, Calculus Early Transcendentals, 6th Edition Calculus Early Transcendentals 6Th Edition James Stewart Solutions Student solutions manual for calculus early transcendentals ninth edition by james stewart, daniel k. Student solutions manual for stewart's essential calculus : Early transcendentals 6th edition published by cengage learning? Early transcendentals (stewart's calculus series) 6th edition chapter 16.6 solutions now. No need to wait for office hours. Our solutions are written by chegg experts. Calculus Early Transcendentals 6Th Edition James Stewart Solutions.
From www.scribd.com
Calculus Early Transcendentals 6th Edition Edwards Solutions Manual PDF Calculus Early Transcendentals 6Th Edition James Stewart Solutions No need to wait for office hours. Early transcendentals (stewart's calculus series) 6th edition chapter 16.6 solutions now. Our solutions are written by chegg experts. Student solutions manual for stewart's essential calculus : Student solutions manual for calculus early transcendentals ninth edition by james stewart, daniel k. Early transcendentals 6th edition published by cengage learning? Calculus Early Transcendentals 6Th Edition James Stewart Solutions.
From www.ebay.com
Calculus Early Transcendentals by James Stewart **8th Edition** eBay Calculus Early Transcendentals 6Th Edition James Stewart Solutions Our solutions are written by chegg experts. Early transcendentals (stewart's calculus series) 6th edition chapter 16.6 solutions now. Student solutions manual for calculus early transcendentals ninth edition by james stewart, daniel k. No need to wait for office hours. Student solutions manual for stewart's essential calculus : Early transcendentals 6th edition published by cengage learning? Calculus Early Transcendentals 6Th Edition James Stewart Solutions.
From issuu.com
Calculus Early Transcendentals 7th Edition Stewart Solutions Manual by Calculus Early Transcendentals 6Th Edition James Stewart Solutions Student solutions manual for calculus early transcendentals ninth edition by james stewart, daniel k. Our solutions are written by chegg experts. Early transcendentals (stewart's calculus series) 6th edition chapter 16.6 solutions now. Student solutions manual for stewart's essential calculus : No need to wait for office hours. Early transcendentals 6th edition published by cengage learning? Calculus Early Transcendentals 6Th Edition James Stewart Solutions.
From www.cengage.co.uk
eBook Calculus Early Transcendentals 9781305799059 Cengage Calculus Early Transcendentals 6Th Edition James Stewart Solutions Student solutions manual for calculus early transcendentals ninth edition by james stewart, daniel k. Early transcendentals (stewart's calculus series) 6th edition chapter 16.6 solutions now. Early transcendentals 6th edition published by cengage learning? No need to wait for office hours. Student solutions manual for stewart's essential calculus : Our solutions are written by chegg experts. Calculus Early Transcendentals 6Th Edition James Stewart Solutions.
From biblio.com.au
Calculus Early Transcendentals by James Stewart Hardcover 4th ed Calculus Early Transcendentals 6Th Edition James Stewart Solutions Early transcendentals 6th edition published by cengage learning? Student solutions manual for calculus early transcendentals ninth edition by james stewart, daniel k. Early transcendentals (stewart's calculus series) 6th edition chapter 16.6 solutions now. Student solutions manual for stewart's essential calculus : No need to wait for office hours. Our solutions are written by chegg experts. Calculus Early Transcendentals 6Th Edition James Stewart Solutions.
From issuu.com
James stewart calculus early transcendentals 6th edition solutions Calculus Early Transcendentals 6Th Edition James Stewart Solutions Early transcendentals 6th edition published by cengage learning? No need to wait for office hours. Our solutions are written by chegg experts. Student solutions manual for stewart's essential calculus : Early transcendentals (stewart's calculus series) 6th edition chapter 16.6 solutions now. Student solutions manual for calculus early transcendentals ninth edition by james stewart, daniel k. Calculus Early Transcendentals 6Th Edition James Stewart Solutions.
From studymagicpeter.z13.web.core.windows.net
Calculus Early Transcendentals By James Stewart 8th Edition Calculus Early Transcendentals 6Th Edition James Stewart Solutions Student solutions manual for calculus early transcendentals ninth edition by james stewart, daniel k. Student solutions manual for stewart's essential calculus : Early transcendentals 6th edition published by cengage learning? Our solutions are written by chegg experts. Early transcendentals (stewart's calculus series) 6th edition chapter 16.6 solutions now. No need to wait for office hours. Calculus Early Transcendentals 6Th Edition James Stewart Solutions.
From www.stuvia.com
SOLUTION MANUALS FOR CALCULUS EARLY TRANSCENDENTALS 9th EDITION BY Calculus Early Transcendentals 6Th Edition James Stewart Solutions Early transcendentals 6th edition published by cengage learning? Student solutions manual for calculus early transcendentals ninth edition by james stewart, daniel k. No need to wait for office hours. Early transcendentals (stewart's calculus series) 6th edition chapter 16.6 solutions now. Our solutions are written by chegg experts. Student solutions manual for stewart's essential calculus : Calculus Early Transcendentals 6Th Edition James Stewart Solutions.