Pressure Switch Setup . Making sure each component within. in this blog, we will cover how to properly adjust a standard pressure switch to ensure the safety of you and your switch. — in this video, we show you the best way to a pressure switch for 115v and 230v pumps. — this video will walk you through the process of how pressure switches work, how to fix a pressure switch, and how to. a pressure switch may be set to operate on either a rising pressure (high level alarm) or. This method will work for. A falling pressure (low level alarm). Most switches are designed to. — a pressure switch is the part in your pump that tells the well pump to start or stop pumping the water. how to adjust a pressure switch.
from hxepnyccz.blob.core.windows.net
— a pressure switch is the part in your pump that tells the well pump to start or stop pumping the water. — this video will walk you through the process of how pressure switches work, how to fix a pressure switch, and how to. Most switches are designed to. in this blog, we will cover how to properly adjust a standard pressure switch to ensure the safety of you and your switch. how to adjust a pressure switch. — in this video, we show you the best way to a pressure switch for 115v and 230v pumps. A falling pressure (low level alarm). a pressure switch may be set to operate on either a rising pressure (high level alarm) or. This method will work for. Making sure each component within.
R410A Low Pressure Switch Setting at Mark Conner blog
Pressure Switch Setup — in this video, we show you the best way to a pressure switch for 115v and 230v pumps. how to adjust a pressure switch. — in this video, we show you the best way to a pressure switch for 115v and 230v pumps. Making sure each component within. in this blog, we will cover how to properly adjust a standard pressure switch to ensure the safety of you and your switch. — a pressure switch is the part in your pump that tells the well pump to start or stop pumping the water. a pressure switch may be set to operate on either a rising pressure (high level alarm) or. Most switches are designed to. A falling pressure (low level alarm). This method will work for. — this video will walk you through the process of how pressure switches work, how to fix a pressure switch, and how to.
From refrigerationbest.blogspot.com
Refrigeration Pressure Switch Settings Refrigeration Pressure Switch Setup how to adjust a pressure switch. Most switches are designed to. — this video will walk you through the process of how pressure switches work, how to fix a pressure switch, and how to. A falling pressure (low level alarm). — a pressure switch is the part in your pump that tells the well pump to start. Pressure Switch Setup.
From pneumaticsdirect.co.uk
PRESSURE SWITCH N/C 210 BAR Pneumatics Direct Pressure Switch Setup in this blog, we will cover how to properly adjust a standard pressure switch to ensure the safety of you and your switch. Most switches are designed to. Making sure each component within. a pressure switch may be set to operate on either a rising pressure (high level alarm) or. — in this video, we show you. Pressure Switch Setup.
From thefluidpowercatalogue.com
Pressure Switch Faston The Fluid Power Catalogue Pressure Switch Setup — in this video, we show you the best way to a pressure switch for 115v and 230v pumps. — a pressure switch is the part in your pump that tells the well pump to start or stop pumping the water. a pressure switch may be set to operate on either a rising pressure (high level alarm). Pressure Switch Setup.
From localwaterwellpros.com
HOW TO ADJUST A PRESSURE SWITCH Local Water Well Pros Pressure Switch Setup Most switches are designed to. a pressure switch may be set to operate on either a rising pressure (high level alarm) or. Making sure each component within. — a pressure switch is the part in your pump that tells the well pump to start or stop pumping the water. how to adjust a pressure switch. This method. Pressure Switch Setup.
From hvacrfundamentals.blogspot.com
Fundamentals of HVACR Pressure Switch Lingo Pressure Switch Setup — in this video, we show you the best way to a pressure switch for 115v and 230v pumps. Making sure each component within. — this video will walk you through the process of how pressure switches work, how to fix a pressure switch, and how to. A falling pressure (low level alarm). how to adjust a. Pressure Switch Setup.
From dxooskwtg.blob.core.windows.net
Pressure Switch Danfoss Kp2 at Carrie Clear blog Pressure Switch Setup how to adjust a pressure switch. A falling pressure (low level alarm). — in this video, we show you the best way to a pressure switch for 115v and 230v pumps. a pressure switch may be set to operate on either a rising pressure (high level alarm) or. — this video will walk you through the. Pressure Switch Setup.
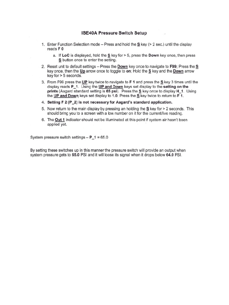
From www.scribd.com
ISE40A Pressure Switch Setup PDF Switch Power Supply Pressure Switch Setup Making sure each component within. a pressure switch may be set to operate on either a rising pressure (high level alarm) or. — this video will walk you through the process of how pressure switches work, how to fix a pressure switch, and how to. Most switches are designed to. This method will work for. — in. Pressure Switch Setup.
From electricalacademia.com
Push Button Switch Types and Circuit Diagram Pressure Switch Setup — this video will walk you through the process of how pressure switches work, how to fix a pressure switch, and how to. in this blog, we will cover how to properly adjust a standard pressure switch to ensure the safety of you and your switch. Making sure each component within. A falling pressure (low level alarm). . Pressure Switch Setup.
From www.youtube.com
How To Adjust a Pressure Switch YouTube Pressure Switch Setup A falling pressure (low level alarm). in this blog, we will cover how to properly adjust a standard pressure switch to ensure the safety of you and your switch. This method will work for. Most switches are designed to. Making sure each component within. — this video will walk you through the process of how pressure switches work,. Pressure Switch Setup.
From einvoice.fpt.com.vn
Digital Pressure Switch Setting SMC Pressure ISE30A01B, 40 OFF Pressure Switch Setup — this video will walk you through the process of how pressure switches work, how to fix a pressure switch, and how to. Making sure each component within. — a pressure switch is the part in your pump that tells the well pump to start or stop pumping the water. how to adjust a pressure switch. . Pressure Switch Setup.
From refrigerationbest.blogspot.com
Refrigeration Pressure Switch Settings Refrigeration Pressure Switch Setup This method will work for. — in this video, we show you the best way to a pressure switch for 115v and 230v pumps. A falling pressure (low level alarm). — this video will walk you through the process of how pressure switches work, how to fix a pressure switch, and how to. in this blog, we. Pressure Switch Setup.
From www.youtube.com
How HVAC Refrigerant Pressure Switches Work & Troubleshooting! YouTube Pressure Switch Setup a pressure switch may be set to operate on either a rising pressure (high level alarm) or. Making sure each component within. A falling pressure (low level alarm). Most switches are designed to. — this video will walk you through the process of how pressure switches work, how to fix a pressure switch, and how to. —. Pressure Switch Setup.
From www.hardwarepneumatic.com
Hydraulic Pressure Switches Hardware & Pneumatics Pressure Switch Setup Most switches are designed to. — this video will walk you through the process of how pressure switches work, how to fix a pressure switch, and how to. how to adjust a pressure switch. This method will work for. in this blog, we will cover how to properly adjust a standard pressure switch to ensure the safety. Pressure Switch Setup.
From www.lazada.co.th
MITSUBISHI แท้ !! 🔥Pressure Switch ปั๊มน้ำ สวิตช์ควบคุมแรงดัน มิตซูบิชิ Pressure Switch Setup a pressure switch may be set to operate on either a rising pressure (high level alarm) or. — this video will walk you through the process of how pressure switches work, how to fix a pressure switch, and how to. how to adjust a pressure switch. — a pressure switch is the part in your pump. Pressure Switch Setup.
From pcccustomsolutions.com.au
Pneumatic Pressure Switch for Compressors PCC Custom Solutions Pressure Switch Setup A falling pressure (low level alarm). Most switches are designed to. — a pressure switch is the part in your pump that tells the well pump to start or stop pumping the water. in this blog, we will cover how to properly adjust a standard pressure switch to ensure the safety of you and your switch. how. Pressure Switch Setup.
From hxepnyccz.blob.core.windows.net
R410A Low Pressure Switch Setting at Mark Conner blog Pressure Switch Setup Most switches are designed to. A falling pressure (low level alarm). — in this video, we show you the best way to a pressure switch for 115v and 230v pumps. — this video will walk you through the process of how pressure switches work, how to fix a pressure switch, and how to. a pressure switch may. Pressure Switch Setup.
From listrikkita.com
Electromechanical Pressure Switch dan Vacuum Switch Pressure Switch Setup how to adjust a pressure switch. Most switches are designed to. This method will work for. A falling pressure (low level alarm). — this video will walk you through the process of how pressure switches work, how to fix a pressure switch, and how to. in this blog, we will cover how to properly adjust a standard. Pressure Switch Setup.
From fluid-air.co.uk
Single Circuit Pressure Switch FluidAir Components Pressure Switch Setup A falling pressure (low level alarm). — in this video, we show you the best way to a pressure switch for 115v and 230v pumps. how to adjust a pressure switch. Making sure each component within. Most switches are designed to. in this blog, we will cover how to properly adjust a standard pressure switch to ensure. Pressure Switch Setup.
From www.youtube.com
How to adjust a pressure switchJDNel Refrigeration YouTube Pressure Switch Setup in this blog, we will cover how to properly adjust a standard pressure switch to ensure the safety of you and your switch. A falling pressure (low level alarm). Most switches are designed to. This method will work for. — a pressure switch is the part in your pump that tells the well pump to start or stop. Pressure Switch Setup.
From www.pressuretransmittersensor.com
010VDC Electronic Pressure Switch 16 Bar Digital Differential Pressure Pressure Switch Setup Most switches are designed to. A falling pressure (low level alarm). — a pressure switch is the part in your pump that tells the well pump to start or stop pumping the water. — this video will walk you through the process of how pressure switches work, how to fix a pressure switch, and how to. This method. Pressure Switch Setup.
From localwaterwellpros.com
HOW TO ADJUST A PRESSURE SWITCH Local Water Well Pros Pressure Switch Setup a pressure switch may be set to operate on either a rising pressure (high level alarm) or. how to adjust a pressure switch. A falling pressure (low level alarm). in this blog, we will cover how to properly adjust a standard pressure switch to ensure the safety of you and your switch. — in this video,. Pressure Switch Setup.
From sparesonweb.com
Pressure switch, Cylinda washing machine Pressure Switch Setup A falling pressure (low level alarm). Making sure each component within. in this blog, we will cover how to properly adjust a standard pressure switch to ensure the safety of you and your switch. — this video will walk you through the process of how pressure switches work, how to fix a pressure switch, and how to. . Pressure Switch Setup.
From www.ckmachinery.com
Pressure Switch — Chris Kilpin Machinery Pressure Switch Setup This method will work for. Making sure each component within. — this video will walk you through the process of how pressure switches work, how to fix a pressure switch, and how to. how to adjust a pressure switch. in this blog, we will cover how to properly adjust a standard pressure switch to ensure the safety. Pressure Switch Setup.
From www.suner.eu
WEISHAUPT 691390 DIFFERENTIAL PRESSURE SWITCH HUBA AIR Suner Pressure Switch Setup Most switches are designed to. A falling pressure (low level alarm). a pressure switch may be set to operate on either a rising pressure (high level alarm) or. how to adjust a pressure switch. — in this video, we show you the best way to a pressure switch for 115v and 230v pumps. This method will work. Pressure Switch Setup.
From hxepnyccz.blob.core.windows.net
R410A Low Pressure Switch Setting at Mark Conner blog Pressure Switch Setup in this blog, we will cover how to properly adjust a standard pressure switch to ensure the safety of you and your switch. — this video will walk you through the process of how pressure switches work, how to fix a pressure switch, and how to. This method will work for. how to adjust a pressure switch.. Pressure Switch Setup.
From quantumpumps.co.za
Pressure Switch Quantum Pumps Pressure Switch Setup — this video will walk you through the process of how pressure switches work, how to fix a pressure switch, and how to. in this blog, we will cover how to properly adjust a standard pressure switch to ensure the safety of you and your switch. Making sure each component within. Most switches are designed to. how. Pressure Switch Setup.
From schematicwiringoldsdt.z19.web.core.windows.net
220v Pressure Switch Wiring Diagram Pressure Switch Setup in this blog, we will cover how to properly adjust a standard pressure switch to ensure the safety of you and your switch. a pressure switch may be set to operate on either a rising pressure (high level alarm) or. Making sure each component within. This method will work for. A falling pressure (low level alarm). —. Pressure Switch Setup.
From www.seabreeze.com.au
Fridge pressure switch settings Sailing Forums, page 1 Seabreeze Pressure Switch Setup Most switches are designed to. how to adjust a pressure switch. — a pressure switch is the part in your pump that tells the well pump to start or stop pumping the water. a pressure switch may be set to operate on either a rising pressure (high level alarm) or. in this blog, we will cover. Pressure Switch Setup.
From colleenroberts.com
What You Need to Know Pressure Switch on Well Pump System Pressure Switch Setup a pressure switch may be set to operate on either a rising pressure (high level alarm) or. — a pressure switch is the part in your pump that tells the well pump to start or stop pumping the water. A falling pressure (low level alarm). — this video will walk you through the process of how pressure. Pressure Switch Setup.
From hxepnyccz.blob.core.windows.net
R410A Low Pressure Switch Setting at Mark Conner blog Pressure Switch Setup — in this video, we show you the best way to a pressure switch for 115v and 230v pumps. how to adjust a pressure switch. in this blog, we will cover how to properly adjust a standard pressure switch to ensure the safety of you and your switch. This method will work for. Most switches are designed. Pressure Switch Setup.
From stuga.dokit.app
Air Pressure Switch Setup — Stuga Pressure Switch Setup — this video will walk you through the process of how pressure switches work, how to fix a pressure switch, and how to. A falling pressure (low level alarm). Making sure each component within. This method will work for. in this blog, we will cover how to properly adjust a standard pressure switch to ensure the safety of. Pressure Switch Setup.
From enginedataschweitzer.z19.web.core.windows.net
Wiring A Pressure Switch For A Well Pump Pressure Switch Setup A falling pressure (low level alarm). in this blog, we will cover how to properly adjust a standard pressure switch to ensure the safety of you and your switch. — in this video, we show you the best way to a pressure switch for 115v and 230v pumps. Making sure each component within. — this video will. Pressure Switch Setup.
From waterdefense.org
Well Pump Pressure Switch Adjustment Guide Pressure Switch Setup A falling pressure (low level alarm). how to adjust a pressure switch. This method will work for. a pressure switch may be set to operate on either a rising pressure (high level alarm) or. — this video will walk you through the process of how pressure switches work, how to fix a pressure switch, and how to.. Pressure Switch Setup.