Define Diode Saturation Current . Understand the factors that affect the diode current, such as reverse. Learn how to derive and use the diode current equation, which shows the relationship between the current and voltage of a diode. Learn how to calculate the current through a diode as a function of voltage and temperature using the diode equation. The saturation current (or scale current), more accurately the reverse saturation current, is the part of the reverse current in a. See how the dark saturation. Saturation current refers to the maximum constant current that flows through a semiconductor device, such as a diode, when it is in the forward.
from copyprogramming.com
Learn how to calculate the current through a diode as a function of voltage and temperature using the diode equation. The saturation current (or scale current), more accurately the reverse saturation current, is the part of the reverse current in a. Learn how to derive and use the diode current equation, which shows the relationship between the current and voltage of a diode. Saturation current refers to the maximum constant current that flows through a semiconductor device, such as a diode, when it is in the forward. Understand the factors that affect the diode current, such as reverse. See how the dark saturation.
Diodes Measuring the Saturation Current of a Diode A Guide
Define Diode Saturation Current The saturation current (or scale current), more accurately the reverse saturation current, is the part of the reverse current in a. Learn how to calculate the current through a diode as a function of voltage and temperature using the diode equation. Understand the factors that affect the diode current, such as reverse. The saturation current (or scale current), more accurately the reverse saturation current, is the part of the reverse current in a. Saturation current refers to the maximum constant current that flows through a semiconductor device, such as a diode, when it is in the forward. Learn how to derive and use the diode current equation, which shows the relationship between the current and voltage of a diode. See how the dark saturation.
From www.youtube.com
How To Find Saturation current For Diode at Temperature YouTube Define Diode Saturation Current The saturation current (or scale current), more accurately the reverse saturation current, is the part of the reverse current in a. Understand the factors that affect the diode current, such as reverse. See how the dark saturation. Learn how to derive and use the diode current equation, which shows the relationship between the current and voltage of a diode. Learn. Define Diode Saturation Current.
From techterms.com
Diode Definition Define Diode Saturation Current Learn how to calculate the current through a diode as a function of voltage and temperature using the diode equation. See how the dark saturation. Understand the factors that affect the diode current, such as reverse. Saturation current refers to the maximum constant current that flows through a semiconductor device, such as a diode, when it is in the forward.. Define Diode Saturation Current.
From www.numerade.com
For diodes, define forward voltage drop, maximum forward current Define Diode Saturation Current The saturation current (or scale current), more accurately the reverse saturation current, is the part of the reverse current in a. See how the dark saturation. Learn how to derive and use the diode current equation, which shows the relationship between the current and voltage of a diode. Learn how to calculate the current through a diode as a function. Define Diode Saturation Current.
From electricalworkbook.com
Reverse Saturation Current of PN Junction Diode Definition & Theory Define Diode Saturation Current Learn how to calculate the current through a diode as a function of voltage and temperature using the diode equation. Learn how to derive and use the diode current equation, which shows the relationship between the current and voltage of a diode. Saturation current refers to the maximum constant current that flows through a semiconductor device, such as a diode,. Define Diode Saturation Current.
From slidetodoc.com
Notes on Diodes 1 Diode saturation current The Define Diode Saturation Current Understand the factors that affect the diode current, such as reverse. See how the dark saturation. The saturation current (or scale current), more accurately the reverse saturation current, is the part of the reverse current in a. Learn how to calculate the current through a diode as a function of voltage and temperature using the diode equation. Learn how to. Define Diode Saturation Current.
From itecnotes.com
Current saturation Valuable Tech Notes Define Diode Saturation Current Learn how to derive and use the diode current equation, which shows the relationship between the current and voltage of a diode. Saturation current refers to the maximum constant current that flows through a semiconductor device, such as a diode, when it is in the forward. The saturation current (or scale current), more accurately the reverse saturation current, is the. Define Diode Saturation Current.
From www.youtube.com
CALCULATION OF SILLICON DIODE CURRENT AND REVERSE SATURATION CURRENT Define Diode Saturation Current Saturation current refers to the maximum constant current that flows through a semiconductor device, such as a diode, when it is in the forward. The saturation current (or scale current), more accurately the reverse saturation current, is the part of the reverse current in a. Learn how to derive and use the diode current equation, which shows the relationship between. Define Diode Saturation Current.
From www.slideserve.com
PPT Ideal Diode Equation PowerPoint Presentation, free download ID Define Diode Saturation Current Learn how to derive and use the diode current equation, which shows the relationship between the current and voltage of a diode. Saturation current refers to the maximum constant current that flows through a semiconductor device, such as a diode, when it is in the forward. The saturation current (or scale current), more accurately the reverse saturation current, is the. Define Diode Saturation Current.
From learn.sparkfun.com
Diodes SparkFun Learn Define Diode Saturation Current Saturation current refers to the maximum constant current that flows through a semiconductor device, such as a diode, when it is in the forward. Learn how to derive and use the diode current equation, which shows the relationship between the current and voltage of a diode. The saturation current (or scale current), more accurately the reverse saturation current, is the. Define Diode Saturation Current.
From slidetodoc.com
Notes on Diodes 1 Diode saturation current The Define Diode Saturation Current Saturation current refers to the maximum constant current that flows through a semiconductor device, such as a diode, when it is in the forward. See how the dark saturation. The saturation current (or scale current), more accurately the reverse saturation current, is the part of the reverse current in a. Understand the factors that affect the diode current, such as. Define Diode Saturation Current.
From www.numerade.com
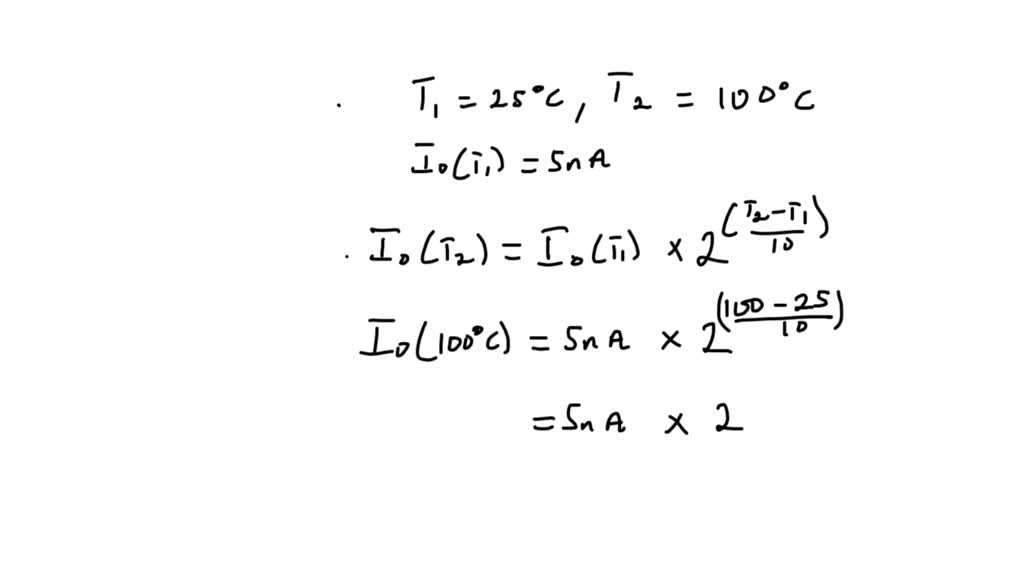
A silicon diode has a saturation current of 5 nA at 25°C. What is the Define Diode Saturation Current Learn how to calculate the current through a diode as a function of voltage and temperature using the diode equation. Understand the factors that affect the diode current, such as reverse. Saturation current refers to the maximum constant current that flows through a semiconductor device, such as a diode, when it is in the forward. The saturation current (or scale. Define Diode Saturation Current.
From www.researchgate.net
Influence of the reverse diode saturation current on the IV Define Diode Saturation Current See how the dark saturation. The saturation current (or scale current), more accurately the reverse saturation current, is the part of the reverse current in a. Understand the factors that affect the diode current, such as reverse. Learn how to derive and use the diode current equation, which shows the relationship between the current and voltage of a diode. Learn. Define Diode Saturation Current.
From yourelectrical.blogspot.com
Electrical Engineering DiodeCircuits Define Diode Saturation Current The saturation current (or scale current), more accurately the reverse saturation current, is the part of the reverse current in a. Learn how to derive and use the diode current equation, which shows the relationship between the current and voltage of a diode. Saturation current refers to the maximum constant current that flows through a semiconductor device, such as a. Define Diode Saturation Current.
From slidetodoc.com
Notes on Diodes 1 Diode saturation current The Define Diode Saturation Current See how the dark saturation. The saturation current (or scale current), more accurately the reverse saturation current, is the part of the reverse current in a. Learn how to derive and use the diode current equation, which shows the relationship between the current and voltage of a diode. Saturation current refers to the maximum constant current that flows through a. Define Diode Saturation Current.
From www.youtube.com
PN Junction Diode Example Reverse Saturation Current Density YouTube Define Diode Saturation Current Learn how to calculate the current through a diode as a function of voltage and temperature using the diode equation. The saturation current (or scale current), more accurately the reverse saturation current, is the part of the reverse current in a. See how the dark saturation. Understand the factors that affect the diode current, such as reverse. Learn how to. Define Diode Saturation Current.
From slidetodoc.com
Notes on Diodes 1 Diode saturation current The Define Diode Saturation Current Learn how to calculate the current through a diode as a function of voltage and temperature using the diode equation. The saturation current (or scale current), more accurately the reverse saturation current, is the part of the reverse current in a. Learn how to derive and use the diode current equation, which shows the relationship between the current and voltage. Define Diode Saturation Current.
From www.chegg.com
Solved 2(a). Calculate the ideal reverse saturation current Define Diode Saturation Current Saturation current refers to the maximum constant current that flows through a semiconductor device, such as a diode, when it is in the forward. Learn how to derive and use the diode current equation, which shows the relationship between the current and voltage of a diode. Learn how to calculate the current through a diode as a function of voltage. Define Diode Saturation Current.
From www.researchgate.net
Plot of the forward current density for an ideal SiC Schottky diode Define Diode Saturation Current Learn how to calculate the current through a diode as a function of voltage and temperature using the diode equation. The saturation current (or scale current), more accurately the reverse saturation current, is the part of the reverse current in a. See how the dark saturation. Understand the factors that affect the diode current, such as reverse. Saturation current refers. Define Diode Saturation Current.
From slidetodoc.com
Notes on Diodes 1 Diode saturation current The Define Diode Saturation Current Saturation current refers to the maximum constant current that flows through a semiconductor device, such as a diode, when it is in the forward. The saturation current (or scale current), more accurately the reverse saturation current, is the part of the reverse current in a. See how the dark saturation. Understand the factors that affect the diode current, such as. Define Diode Saturation Current.
From byjus.com
What will be the curve between current I and potential difference V for Define Diode Saturation Current The saturation current (or scale current), more accurately the reverse saturation current, is the part of the reverse current in a. See how the dark saturation. Saturation current refers to the maximum constant current that flows through a semiconductor device, such as a diode, when it is in the forward. Understand the factors that affect the diode current, such as. Define Diode Saturation Current.
From slidetodoc.com
Notes on Diodes 1 Diode saturation current The Define Diode Saturation Current Saturation current refers to the maximum constant current that flows through a semiconductor device, such as a diode, when it is in the forward. Learn how to calculate the current through a diode as a function of voltage and temperature using the diode equation. Understand the factors that affect the diode current, such as reverse. Learn how to derive and. Define Diode Saturation Current.
From www.chegg.com
Solved A silicon diode has a saturation current of 12.03nA Define Diode Saturation Current Saturation current refers to the maximum constant current that flows through a semiconductor device, such as a diode, when it is in the forward. Understand the factors that affect the diode current, such as reverse. Learn how to calculate the current through a diode as a function of voltage and temperature using the diode equation. See how the dark saturation.. Define Diode Saturation Current.
From www.slideserve.com
PPT Lecture 4 PowerPoint Presentation, free download ID789317 Define Diode Saturation Current Learn how to derive and use the diode current equation, which shows the relationship between the current and voltage of a diode. Saturation current refers to the maximum constant current that flows through a semiconductor device, such as a diode, when it is in the forward. The saturation current (or scale current), more accurately the reverse saturation current, is the. Define Diode Saturation Current.
From www.researchgate.net
Effect of the change in reverse diode saturation current (I o ) on the Define Diode Saturation Current Learn how to calculate the current through a diode as a function of voltage and temperature using the diode equation. Understand the factors that affect the diode current, such as reverse. The saturation current (or scale current), more accurately the reverse saturation current, is the part of the reverse current in a. Learn how to derive and use the diode. Define Diode Saturation Current.
From www.researchgate.net
Reverse saturation current density of the n=1 component of the diode Define Diode Saturation Current Understand the factors that affect the diode current, such as reverse. Learn how to derive and use the diode current equation, which shows the relationship between the current and voltage of a diode. Learn how to calculate the current through a diode as a function of voltage and temperature using the diode equation. See how the dark saturation. Saturation current. Define Diode Saturation Current.
From copyprogramming.com
Diodes Measuring the Saturation Current of a Diode A Guide Define Diode Saturation Current Understand the factors that affect the diode current, such as reverse. Learn how to calculate the current through a diode as a function of voltage and temperature using the diode equation. Learn how to derive and use the diode current equation, which shows the relationship between the current and voltage of a diode. Saturation current refers to the maximum constant. Define Diode Saturation Current.
From www.slideserve.com
PPT Chapter 6 pn Junction Diodes I V Characteristics PowerPoint Define Diode Saturation Current Saturation current refers to the maximum constant current that flows through a semiconductor device, such as a diode, when it is in the forward. The saturation current (or scale current), more accurately the reverse saturation current, is the part of the reverse current in a. Understand the factors that affect the diode current, such as reverse. Learn how to derive. Define Diode Saturation Current.
From www.youtube.com
What is reverse saturation current in transistor/diode ? YouTube Define Diode Saturation Current Understand the factors that affect the diode current, such as reverse. See how the dark saturation. Saturation current refers to the maximum constant current that flows through a semiconductor device, such as a diode, when it is in the forward. Learn how to calculate the current through a diode as a function of voltage and temperature using the diode equation.. Define Diode Saturation Current.
From www.slideserve.com
PPT Lecture 15 PowerPoint Presentation, free download ID1101586 Define Diode Saturation Current Saturation current refers to the maximum constant current that flows through a semiconductor device, such as a diode, when it is in the forward. Learn how to calculate the current through a diode as a function of voltage and temperature using the diode equation. Learn how to derive and use the diode current equation, which shows the relationship between the. Define Diode Saturation Current.
From giodjtchs.blob.core.windows.net
Breakdown Voltage Of Diodes at Cornelius Garcia blog Define Diode Saturation Current Understand the factors that affect the diode current, such as reverse. Learn how to calculate the current through a diode as a function of voltage and temperature using the diode equation. The saturation current (or scale current), more accurately the reverse saturation current, is the part of the reverse current in a. Learn how to derive and use the diode. Define Diode Saturation Current.
From www.youtube.com
4 What is reverse saturation current in a diode YouTube Define Diode Saturation Current Learn how to derive and use the diode current equation, which shows the relationship between the current and voltage of a diode. Saturation current refers to the maximum constant current that flows through a semiconductor device, such as a diode, when it is in the forward. The saturation current (or scale current), more accurately the reverse saturation current, is the. Define Diode Saturation Current.
From enginerileypurlings.z21.web.core.windows.net
Voltage To Current Equation Define Diode Saturation Current See how the dark saturation. Understand the factors that affect the diode current, such as reverse. Learn how to derive and use the diode current equation, which shows the relationship between the current and voltage of a diode. The saturation current (or scale current), more accurately the reverse saturation current, is the part of the reverse current in a. Saturation. Define Diode Saturation Current.
From www.researchgate.net
Schottky diode reverse saturation current density versus the effective Define Diode Saturation Current Learn how to calculate the current through a diode as a function of voltage and temperature using the diode equation. See how the dark saturation. Learn how to derive and use the diode current equation, which shows the relationship between the current and voltage of a diode. Understand the factors that affect the diode current, such as reverse. Saturation current. Define Diode Saturation Current.
From www.slideserve.com
PPT Lecture 6 SolidState Diodes and Diode Circuits PowerPoint Define Diode Saturation Current Learn how to derive and use the diode current equation, which shows the relationship between the current and voltage of a diode. Understand the factors that affect the diode current, such as reverse. The saturation current (or scale current), more accurately the reverse saturation current, is the part of the reverse current in a. Learn how to calculate the current. Define Diode Saturation Current.
From www.slideserve.com
PPT Biasing Modes for Diodes PowerPoint Presentation, free download Define Diode Saturation Current See how the dark saturation. The saturation current (or scale current), more accurately the reverse saturation current, is the part of the reverse current in a. Saturation current refers to the maximum constant current that flows through a semiconductor device, such as a diode, when it is in the forward. Learn how to calculate the current through a diode as. Define Diode Saturation Current.