Differential Equations Lamar . Despite the fact that these are my. In this chapter we will look at several of the standard solution methods for first order differential equations including linear,. Included are most of the. We will give a derivation of the solution. In this section we solve linear first order differential equations, i.e. Here are my online notes for my differential equations course that i teach here at lamar university. In this section we solve separable first order differential equations, i.e. We give an in depth overview of the process used to solve. Throughout this chapter we’ve been talking about and solving partial differential equations using the method of separation of. Despite the fact that these are my “class. Differential equations in the form n(y) y' = m(x). In this section we’ll start the chapter off with a quick look at some of the basic ideas behind solving higher order linear differential. Here is a set of notes used by paul dawkins to teach his differential equations course at lamar university. Here are my notes for my differential equations course that i teach here at lamar university. Differential equations in the form y' + p(t) y = g(t).
from www.youtube.com
Included are most of the. Despite the fact that these are my. In this section we solve separable first order differential equations, i.e. We give an in depth overview of the process used to solve. In this section we solve linear first order differential equations, i.e. Here are my online notes for my differential equations course that i teach here at lamar university. Differential equations in the form y' + p(t) y = g(t). Differential equations in the form n(y) y' = m(x). We will give a derivation of the solution. In this chapter we will look at several of the standard solution methods for first order differential equations including linear,.
🔵13 Non Exact Differential Equations and Integrating Factors 1 YouTube
Differential Equations Lamar In this section we solve separable first order differential equations, i.e. Here is a set of notes used by paul dawkins to teach his differential equations course at lamar university. In this section we solve linear first order differential equations, i.e. In this section we’ll start the chapter off with a quick look at some of the basic ideas behind solving higher order linear differential. Throughout this chapter we’ve been talking about and solving partial differential equations using the method of separation of. In this chapter we will look at several of the standard solution methods for first order differential equations including linear,. In this section we solve separable first order differential equations, i.e. We will give a derivation of the solution. Despite the fact that these are my. Differential equations in the form y' + p(t) y = g(t). Here are my notes for my differential equations course that i teach here at lamar university. Included are most of the. We give an in depth overview of the process used to solve. Here are my online notes for my differential equations course that i teach here at lamar university. Despite the fact that these are my “class. Differential equations in the form n(y) y' = m(x).
From www.studocu.com
P.D.E Lamar University MATH 4302 F11 lecture 11 MATH 18 COURSE NOTES Differential Equations Lamar Despite the fact that these are my. Differential equations in the form n(y) y' = m(x). In this chapter we will look at several of the standard solution methods for first order differential equations including linear,. We will give a derivation of the solution. Throughout this chapter we’ve been talking about and solving partial differential equations using the method of. Differential Equations Lamar.
From in.eteachers.edu.vn
Update more than 61 differential sketch latest in.eteachers Differential Equations Lamar Despite the fact that these are my “class. Here are my online notes for my differential equations course that i teach here at lamar university. We will give a derivation of the solution. Included are most of the. We give an in depth overview of the process used to solve. Differential equations in the form n(y) y' = m(x). Despite. Differential Equations Lamar.
From www.studocu.com
P.D.E Lamar University MATH 4302 F11 lecture 3 MATH 18 COURSE NOTES Differential Equations Lamar Here are my online notes for my differential equations course that i teach here at lamar university. Throughout this chapter we’ve been talking about and solving partial differential equations using the method of separation of. We will give a derivation of the solution. Differential equations in the form n(y) y' = m(x). Despite the fact that these are my. In. Differential Equations Lamar.
From www.youtube.com
🔵13 Non Exact Differential Equations and Integrating Factors 1 YouTube Differential Equations Lamar In this section we’ll start the chapter off with a quick look at some of the basic ideas behind solving higher order linear differential. Differential equations in the form y' + p(t) y = g(t). We will give a derivation of the solution. Throughout this chapter we’ve been talking about and solving partial differential equations using the method of separation. Differential Equations Lamar.
From www.freelibros.me
Differential Equations Paul Dawkins FreeLibros Differential Equations Lamar In this section we solve separable first order differential equations, i.e. Here are my notes for my differential equations course that i teach here at lamar university. Throughout this chapter we’ve been talking about and solving partial differential equations using the method of separation of. Here is a set of notes used by paul dawkins to teach his differential equations. Differential Equations Lamar.
From www.yawin.in
Exact differential equations Yawin Differential Equations Lamar Despite the fact that these are my. Here are my online notes for my differential equations course that i teach here at lamar university. Throughout this chapter we’ve been talking about and solving partial differential equations using the method of separation of. We give an in depth overview of the process used to solve. Despite the fact that these are. Differential Equations Lamar.
From boareseverett.blogspot.com
Define Second Order Differential Equation BoaresEverett Differential Equations Lamar Differential equations in the form y' + p(t) y = g(t). In this chapter we will look at several of the standard solution methods for first order differential equations including linear,. Included are most of the. Here are my online notes for my differential equations course that i teach here at lamar university. We will give a derivation of the. Differential Equations Lamar.
From www.studocu.com
P.D.E Lamar University MATH 4302 F11 lecture 01 18 Introduction to Differential Equations Lamar Included are most of the. Despite the fact that these are my “class. In this section we solve separable first order differential equations, i.e. In this chapter we will look at several of the standard solution methods for first order differential equations including linear,. Here are my online notes for my differential equations course that i teach here at lamar. Differential Equations Lamar.
From desklib.com
Solutions to Differential Equations Desklib Differential Equations Lamar In this section we solve separable first order differential equations, i.e. Throughout this chapter we’ve been talking about and solving partial differential equations using the method of separation of. We give an in depth overview of the process used to solve. Here are my online notes for my differential equations course that i teach here at lamar university. In this. Differential Equations Lamar.
From www.studocu.com
P.D.E Lamar University MATH 4302 F11 lecture 10 18 Introduction to Differential Equations Lamar We give an in depth overview of the process used to solve. Included are most of the. Here are my online notes for my differential equations course that i teach here at lamar university. Despite the fact that these are my “class. In this section we solve linear first order differential equations, i.e. In this section we solve separable first. Differential Equations Lamar.
From thesispapers.web.fc2.com
How to write differential equations Differential Equations Lamar In this section we solve linear first order differential equations, i.e. Differential equations in the form y' + p(t) y = g(t). Included are most of the. In this section we solve separable first order differential equations, i.e. Throughout this chapter we’ve been talking about and solving partial differential equations using the method of separation of. Here are my notes. Differential Equations Lamar.
From math.stackexchange.com
ordinary differential equations Noncritical Level Lines of Energy in Differential Equations Lamar Despite the fact that these are my. Differential equations in the form n(y) y' = m(x). Despite the fact that these are my “class. Included are most of the. In this chapter we will look at several of the standard solution methods for first order differential equations including linear,. Differential equations in the form y' + p(t) y = g(t).. Differential Equations Lamar.
From dokumen.tips
(PDF) Homogeneous Diff Equations Diff Equations.pdf Differential Equations Lamar Throughout this chapter we’ve been talking about and solving partial differential equations using the method of separation of. Differential equations in the form n(y) y' = m(x). In this section we solve separable first order differential equations, i.e. Here are my online notes for my differential equations course that i teach here at lamar university. Despite the fact that these. Differential Equations Lamar.
From www.reddit.com
Differential equations why use hyperbolic functions? learnmath Differential Equations Lamar We will give a derivation of the solution. Here is a set of notes used by paul dawkins to teach his differential equations course at lamar university. Differential equations in the form n(y) y' = m(x). In this section we solve separable first order differential equations, i.e. In this section we’ll start the chapter off with a quick look at. Differential Equations Lamar.
From www.studocu.com
P.D.E Lamar University MATH 4302 F11 lecture 02 18 Introduction to Differential Equations Lamar We give an in depth overview of the process used to solve. We will give a derivation of the solution. Here is a set of notes used by paul dawkins to teach his differential equations course at lamar university. Here are my notes for my differential equations course that i teach here at lamar university. Despite the fact that these. Differential Equations Lamar.
From www.numerade.com
SOLVED Differential Equations Modeling with HigherOrder Differential Differential Equations Lamar Included are most of the. In this chapter we will look at several of the standard solution methods for first order differential equations including linear,. Differential equations in the form n(y) y' = m(x). We will give a derivation of the solution. Despite the fact that these are my. Here are my online notes for my differential equations course that. Differential Equations Lamar.
From www.youtube.com
🔵15 Linear Differential Equations Initial Value Problems (Solving Differential Equations Lamar Differential equations in the form n(y) y' = m(x). In this section we solve linear first order differential equations, i.e. Here are my notes for my differential equations course that i teach here at lamar university. In this section we’ll start the chapter off with a quick look at some of the basic ideas behind solving higher order linear differential.. Differential Equations Lamar.
From www.studocu.com
P.D.E Lamar University MATH 4302 F11 lecture 18 18 Introduction to Differential Equations Lamar Here are my notes for my differential equations course that i teach here at lamar university. Included are most of the. In this section we solve linear first order differential equations, i.e. Differential equations in the form n(y) y' = m(x). We will give a derivation of the solution. Despite the fact that these are my. We give an in. Differential Equations Lamar.
From www.teachoo.com
[Class 12] Find the general solution of differential equation (x^2+yz Differential Equations Lamar Here are my online notes for my differential equations course that i teach here at lamar university. Here is a set of notes used by paul dawkins to teach his differential equations course at lamar university. In this section we solve separable first order differential equations, i.e. Here are my notes for my differential equations course that i teach here. Differential Equations Lamar.
From www.pngjoy.com
Equations Solving Separable Differential Equations For General, Png Differential Equations Lamar In this section we solve linear first order differential equations, i.e. In this section we’ll start the chapter off with a quick look at some of the basic ideas behind solving higher order linear differential. Throughout this chapter we’ve been talking about and solving partial differential equations using the method of separation of. Included are most of the. Despite the. Differential Equations Lamar.
From www.yawin.in
Bernoulli’s differential equation Yawin Differential Equations Lamar In this section we solve linear first order differential equations, i.e. In this chapter we will look at several of the standard solution methods for first order differential equations including linear,. We give an in depth overview of the process used to solve. In this section we’ll start the chapter off with a quick look at some of the basic. Differential Equations Lamar.
From www.studocu.com
Separable Differential equations Assume the rate of change of the Differential Equations Lamar We will give a derivation of the solution. In this section we solve linear first order differential equations, i.e. In this section we solve separable first order differential equations, i.e. Despite the fact that these are my “class. In this chapter we will look at several of the standard solution methods for first order differential equations including linear,. Here are. Differential Equations Lamar.
From www.pinterest.com
Differential Equations Paul's online maths notes Differential Differential Equations Lamar Here are my notes for my differential equations course that i teach here at lamar university. In this chapter we will look at several of the standard solution methods for first order differential equations including linear,. In this section we solve linear first order differential equations, i.e. Throughout this chapter we’ve been talking about and solving partial differential equations using. Differential Equations Lamar.
From www.studocu.com
P.D.E Lamar University MATH 4302 F11 lecture 9 18 Introduction to Differential Equations Lamar Differential equations in the form n(y) y' = m(x). We give an in depth overview of the process used to solve. In this section we solve linear first order differential equations, i.e. In this section we solve separable first order differential equations, i.e. We will give a derivation of the solution. Despite the fact that these are my “class. Included. Differential Equations Lamar.
From www.studocu.com
P.D.E Lamar University MATH 4302 F11 lecture 16 18 Introduction to Differential Equations Lamar Included are most of the. We will give a derivation of the solution. Here are my notes for my differential equations course that i teach here at lamar university. In this section we’ll start the chapter off with a quick look at some of the basic ideas behind solving higher order linear differential. In this section we solve separable first. Differential Equations Lamar.
From www.youtube.com
Seprable Equations / Differential equations / lec in Urdu YouTube Differential Equations Lamar Here is a set of notes used by paul dawkins to teach his differential equations course at lamar university. Differential equations in the form n(y) y' = m(x). Differential equations in the form y' + p(t) y = g(t). Despite the fact that these are my “class. We will give a derivation of the solution. Despite the fact that these. Differential Equations Lamar.
From www.studocu.com
P.D.E Lamar University MATH 4302 F11 lecture 4 MATH 18 COURSE NOTES Differential Equations Lamar We give an in depth overview of the process used to solve. Here is a set of notes used by paul dawkins to teach his differential equations course at lamar university. In this section we solve linear first order differential equations, i.e. In this chapter we will look at several of the standard solution methods for first order differential equations. Differential Equations Lamar.
From www.youtube.com
First Order Differential Equations 5 (Variable Separable method Differential Equations Lamar In this chapter we will look at several of the standard solution methods for first order differential equations including linear,. Included are most of the. Despite the fact that these are my. Differential equations in the form y' + p(t) y = g(t). Throughout this chapter we’ve been talking about and solving partial differential equations using the method of separation. Differential Equations Lamar.
From www.studocu.com
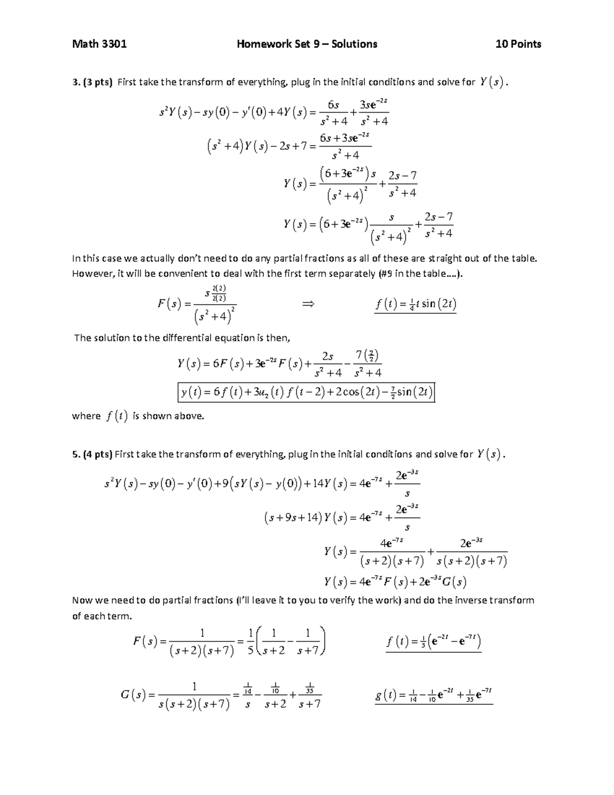
16Spring Hwk 09 Soln. Warning TT undefined function 22 3. (3 pts Differential Equations Lamar Despite the fact that these are my “class. Here are my notes for my differential equations course that i teach here at lamar university. In this section we solve separable first order differential equations, i.e. Differential equations in the form y' + p(t) y = g(t). We give an in depth overview of the process used to solve. Throughout this. Differential Equations Lamar.
From www.numerade.com
SOLVED Objective Solving boundaryvalue problem by using the shooting Differential Equations Lamar We give an in depth overview of the process used to solve. Throughout this chapter we’ve been talking about and solving partial differential equations using the method of separation of. Here are my notes for my differential equations course that i teach here at lamar university. Despite the fact that these are my. In this section we’ll start the chapter. Differential Equations Lamar.
From www.reddit.com
Can you find an error in my list of differential equations (wrong or Differential Equations Lamar In this section we solve linear first order differential equations, i.e. Throughout this chapter we’ve been talking about and solving partial differential equations using the method of separation of. Here are my notes for my differential equations course that i teach here at lamar university. We will give a derivation of the solution. Differential equations in the form n(y) y'. Differential Equations Lamar.
From www.studocu.com
P.D.E Lamar University MATH 4302 F11 lecture 15 18 Introduction to Differential Equations Lamar In this section we solve separable first order differential equations, i.e. In this chapter we will look at several of the standard solution methods for first order differential equations including linear,. We give an in depth overview of the process used to solve. Throughout this chapter we’ve been talking about and solving partial differential equations using the method of separation. Differential Equations Lamar.
From www.studocu.com
Tabla de TDL Differential Equations 250 © 2018 Paul Dawkins tutorial Differential Equations Lamar In this chapter we will look at several of the standard solution methods for first order differential equations including linear,. In this section we’ll start the chapter off with a quick look at some of the basic ideas behind solving higher order linear differential. Here are my online notes for my differential equations course that i teach here at lamar. Differential Equations Lamar.
From www.animalia-life.club
Partial Differential Equations Examples Differential Equations Lamar In this section we’ll start the chapter off with a quick look at some of the basic ideas behind solving higher order linear differential. Despite the fact that these are my. In this section we solve separable first order differential equations, i.e. Throughout this chapter we’ve been talking about and solving partial differential equations using the method of separation of.. Differential Equations Lamar.
From www.youtube.com
Linear Differential Equations YouTube Differential Equations Lamar Included are most of the. Despite the fact that these are my “class. Here is a set of notes used by paul dawkins to teach his differential equations course at lamar university. Throughout this chapter we’ve been talking about and solving partial differential equations using the method of separation of. We give an in depth overview of the process used. Differential Equations Lamar.