A Particle Has A Constant Acceleration Of 6.0 M/S2 . It is executing uniform circular. A particle has a constant acceleration of 6.0 m / s 2 (a) if its initial velocity is 2.0 m /. What is the acceleration of the particle? (b) what is its velocity at that time? (a) if its initial velocity is 2.0 m/s, at what time is its displacement 5.0 m? The particle's displacement is 5.0 m at time t = 1.0s, and its velocity at that time is 8.0 m/s. Assuming the particle’s acceleration is constant, determine (a) its. A particle has a constant acceleration of 6.0 m/s 2. A particle has a constant acceleration of 6.0 m/s 2. A train is moving up a steep grade at constant. A particle moving at constant acceleration has velocities of 2.0 m/s at t = 2.0 s and −7.6 m/s at t = 5.2 s. At t = 20 s, the particle is moving right to left with a speed of 8.0 m/s. (a) if its initial velocity is 2.0 m/s, at what time is its.
from www.youtube.com
Assuming the particle’s acceleration is constant, determine (a) its. A train is moving up a steep grade at constant. What is the acceleration of the particle? A particle has a constant acceleration of 6.0 m / s 2 (a) if its initial velocity is 2.0 m /. The particle's displacement is 5.0 m at time t = 1.0s, and its velocity at that time is 8.0 m/s. A particle moving at constant acceleration has velocities of 2.0 m/s at t = 2.0 s and −7.6 m/s at t = 5.2 s. (b) what is its velocity at that time? At t = 20 s, the particle is moving right to left with a speed of 8.0 m/s. (a) if its initial velocity is 2.0 m/s, at what time is its. A particle has a constant acceleration of 6.0 m/s 2.
A particle moves rectilinearly with a constant acceleration `1 m//s^2
A Particle Has A Constant Acceleration Of 6.0 M/S2 A particle moving at constant acceleration has velocities of 2.0 m/s at t = 2.0 s and −7.6 m/s at t = 5.2 s. A particle moving at constant acceleration has velocities of 2.0 m/s at t = 2.0 s and −7.6 m/s at t = 5.2 s. Assuming the particle’s acceleration is constant, determine (a) its. At t = 20 s, the particle is moving right to left with a speed of 8.0 m/s. (a) if its initial velocity is 2.0 m/s, at what time is its displacement 5.0 m? A particle has a constant acceleration of 6.0 m / s 2 (a) if its initial velocity is 2.0 m /. (a) if its initial velocity is 2.0 m/s, at what time is its. It is executing uniform circular. A train is moving up a steep grade at constant. (b) what is its velocity at that time? A particle has a constant acceleration of 6.0 m/s 2. The particle's displacement is 5.0 m at time t = 1.0s, and its velocity at that time is 8.0 m/s. What is the acceleration of the particle? A particle has a constant acceleration of 6.0 m/s 2.
From www.youtube.com
A particle moving along a straight line with constant acceleration is A Particle Has A Constant Acceleration Of 6.0 M/S2 (b) what is its velocity at that time? A particle has a constant acceleration of 6.0 m/s 2. A train is moving up a steep grade at constant. It is executing uniform circular. What is the acceleration of the particle? The particle's displacement is 5.0 m at time t = 1.0s, and its velocity at that time is 8.0 m/s.. A Particle Has A Constant Acceleration Of 6.0 M/S2.
From www.answersview.com
Calculate the acceleration (in m/s2) for a fluid that has a velocity of A Particle Has A Constant Acceleration Of 6.0 M/S2 (a) if its initial velocity is 2.0 m/s, at what time is its displacement 5.0 m? Assuming the particle’s acceleration is constant, determine (a) its. A train is moving up a steep grade at constant. At t = 20 s, the particle is moving right to left with a speed of 8.0 m/s. A particle moving at constant acceleration has. A Particle Has A Constant Acceleration Of 6.0 M/S2.
From edurev.in
A particle starts from rest, accelerates at 2 m/s2 for 10s and then A Particle Has A Constant Acceleration Of 6.0 M/S2 A particle has a constant acceleration of 6.0 m/s 2. (a) if its initial velocity is 2.0 m/s, at what time is its. What is the acceleration of the particle? A particle has a constant acceleration of 6.0 m/s 2. Assuming the particle’s acceleration is constant, determine (a) its. (b) what is its velocity at that time? It is executing. A Particle Has A Constant Acceleration Of 6.0 M/S2.
From byjus.com
A particle moves along a straight line with a constant acceleration a A Particle Has A Constant Acceleration Of 6.0 M/S2 (a) if its initial velocity is 2.0 m/s, at what time is its displacement 5.0 m? A particle has a constant acceleration of 6.0 m / s 2 (a) if its initial velocity is 2.0 m /. Assuming the particle’s acceleration is constant, determine (a) its. A particle has a constant acceleration of 6.0 m/s 2. (b) what is its. A Particle Has A Constant Acceleration Of 6.0 M/S2.
From www.toppr.com
A particle experiences constant acceleration for 20 seconds after A Particle Has A Constant Acceleration Of 6.0 M/S2 A particle has a constant acceleration of 6.0 m/s 2. (b) what is its velocity at that time? At t = 20 s, the particle is moving right to left with a speed of 8.0 m/s. A particle has a constant acceleration of 6.0 m/s 2. A train is moving up a steep grade at constant. A particle moving at. A Particle Has A Constant Acceleration Of 6.0 M/S2.
From www.chegg.com
Solved The acceleration function (in m/s2) and the initial A Particle Has A Constant Acceleration Of 6.0 M/S2 A particle moving at constant acceleration has velocities of 2.0 m/s at t = 2.0 s and −7.6 m/s at t = 5.2 s. A train is moving up a steep grade at constant. What is the acceleration of the particle? At t = 20 s, the particle is moving right to left with a speed of 8.0 m/s. It. A Particle Has A Constant Acceleration Of 6.0 M/S2.
From www.youtube.com
For a particle moving along straight line with constant acceleration (a A Particle Has A Constant Acceleration Of 6.0 M/S2 (a) if its initial velocity is 2.0 m/s, at what time is its. (a) if its initial velocity is 2.0 m/s, at what time is its displacement 5.0 m? A particle has a constant acceleration of 6.0 m/s 2. Assuming the particle’s acceleration is constant, determine (a) its. A train is moving up a steep grade at constant. A particle. A Particle Has A Constant Acceleration Of 6.0 M/S2.
From www.numerade.com
SOLVED A particle has a constant acceleration of 6.0 m/s2. (a) If its A Particle Has A Constant Acceleration Of 6.0 M/S2 Assuming the particle’s acceleration is constant, determine (a) its. A particle has a constant acceleration of 6.0 m/s 2. The particle's displacement is 5.0 m at time t = 1.0s, and its velocity at that time is 8.0 m/s. What is the acceleration of the particle? A particle has a constant acceleration of 6.0 m / s 2 (a) if. A Particle Has A Constant Acceleration Of 6.0 M/S2.
From www.chegg.com
Solved Problem 2. A particle has a constant acceleration of A Particle Has A Constant Acceleration Of 6.0 M/S2 At t = 20 s, the particle is moving right to left with a speed of 8.0 m/s. It is executing uniform circular. (a) if its initial velocity is 2.0 m/s, at what time is its displacement 5.0 m? A particle has a constant acceleration of 6.0 m/s 2. (b) what is its velocity at that time? The particle's displacement. A Particle Has A Constant Acceleration Of 6.0 M/S2.
From www.youtube.com
A Particle moving rectilinearly with constant acceleration is having A Particle Has A Constant Acceleration Of 6.0 M/S2 At t = 20 s, the particle is moving right to left with a speed of 8.0 m/s. (a) if its initial velocity is 2.0 m/s, at what time is its. (b) what is its velocity at that time? A train is moving up a steep grade at constant. A particle has a constant acceleration of 6.0 m / s. A Particle Has A Constant Acceleration Of 6.0 M/S2.
From www.doubtnut.com
A particle starts from rest. Its acceleration at time t=0 is 5 m//s^(2 A Particle Has A Constant Acceleration Of 6.0 M/S2 A train is moving up a steep grade at constant. (a) if its initial velocity is 2.0 m/s, at what time is its. A particle has a constant acceleration of 6.0 m/s 2. (b) what is its velocity at that time? A particle moving at constant acceleration has velocities of 2.0 m/s at t = 2.0 s and −7.6 m/s. A Particle Has A Constant Acceleration Of 6.0 M/S2.
From www.toppr.com
A particle moves with constant acceleration for 6 seconds after A Particle Has A Constant Acceleration Of 6.0 M/S2 A particle moving at constant acceleration has velocities of 2.0 m/s at t = 2.0 s and −7.6 m/s at t = 5.2 s. A particle has a constant acceleration of 6.0 m / s 2 (a) if its initial velocity is 2.0 m /. It is executing uniform circular. A train is moving up a steep grade at constant.. A Particle Has A Constant Acceleration Of 6.0 M/S2.
From www.toppr.com
A particle is moving along a straight line with constant acceleration A Particle Has A Constant Acceleration Of 6.0 M/S2 Assuming the particle’s acceleration is constant, determine (a) its. A particle has a constant acceleration of 6.0 m / s 2 (a) if its initial velocity is 2.0 m /. A train is moving up a steep grade at constant. The particle's displacement is 5.0 m at time t = 1.0s, and its velocity at that time is 8.0 m/s.. A Particle Has A Constant Acceleration Of 6.0 M/S2.
From www.toppr.com
A particle starts from rest with constant acceleration. The ratio of A Particle Has A Constant Acceleration Of 6.0 M/S2 (a) if its initial velocity is 2.0 m/s, at what time is its. It is executing uniform circular. At t = 20 s, the particle is moving right to left with a speed of 8.0 m/s. A particle moving at constant acceleration has velocities of 2.0 m/s at t = 2.0 s and −7.6 m/s at t = 5.2 s.. A Particle Has A Constant Acceleration Of 6.0 M/S2.
From www.youtube.com
the acceleration 'a' in m/s2 of a particle is given by a=3t2+2t+2 A Particle Has A Constant Acceleration Of 6.0 M/S2 A particle has a constant acceleration of 6.0 m/s 2. A train is moving up a steep grade at constant. At t = 20 s, the particle is moving right to left with a speed of 8.0 m/s. A particle moving at constant acceleration has velocities of 2.0 m/s at t = 2.0 s and −7.6 m/s at t =. A Particle Has A Constant Acceleration Of 6.0 M/S2.
From www.youtube.com
A particle starting from rest moves with constant acceleration. If it A Particle Has A Constant Acceleration Of 6.0 M/S2 It is executing uniform circular. A train is moving up a steep grade at constant. A particle has a constant acceleration of 6.0 m / s 2 (a) if its initial velocity is 2.0 m /. At t = 20 s, the particle is moving right to left with a speed of 8.0 m/s. (b) what is its velocity at. A Particle Has A Constant Acceleration Of 6.0 M/S2.
From www.youtube.com
A particle is moving in a circle with a constant speed, the A Particle Has A Constant Acceleration Of 6.0 M/S2 Assuming the particle’s acceleration is constant, determine (a) its. At t = 20 s, the particle is moving right to left with a speed of 8.0 m/s. A train is moving up a steep grade at constant. What is the acceleration of the particle? It is executing uniform circular. A particle has a constant acceleration of 6.0 m/s 2. The. A Particle Has A Constant Acceleration Of 6.0 M/S2.
From www.numerade.com
The acceleration of a particle is a constant. At t= 0 the velocity of A Particle Has A Constant Acceleration Of 6.0 M/S2 At t = 20 s, the particle is moving right to left with a speed of 8.0 m/s. A particle moving at constant acceleration has velocities of 2.0 m/s at t = 2.0 s and −7.6 m/s at t = 5.2 s. A train is moving up a steep grade at constant. It is executing uniform circular. (a) if its. A Particle Has A Constant Acceleration Of 6.0 M/S2.
From www.chegg.com
Solved The acceleration function (In m/s2) and the Initial A Particle Has A Constant Acceleration Of 6.0 M/S2 (a) if its initial velocity is 2.0 m/s, at what time is its. (b) what is its velocity at that time? A particle moving at constant acceleration has velocities of 2.0 m/s at t = 2.0 s and −7.6 m/s at t = 5.2 s. Assuming the particle’s acceleration is constant, determine (a) its. A train is moving up a. A Particle Has A Constant Acceleration Of 6.0 M/S2.
From www.chegg.com
Solved The acceleration of a particle traveling along a A Particle Has A Constant Acceleration Of 6.0 M/S2 A particle has a constant acceleration of 6.0 m / s 2 (a) if its initial velocity is 2.0 m /. A particle moving at constant acceleration has velocities of 2.0 m/s at t = 2.0 s and −7.6 m/s at t = 5.2 s. The particle's displacement is 5.0 m at time t = 1.0s, and its velocity at. A Particle Has A Constant Acceleration Of 6.0 M/S2.
From www.youtube.com
Dynamics 12.24 The acceleration of a particle traveling along a A Particle Has A Constant Acceleration Of 6.0 M/S2 A particle moving at constant acceleration has velocities of 2.0 m/s at t = 2.0 s and −7.6 m/s at t = 5.2 s. The particle's displacement is 5.0 m at time t = 1.0s, and its velocity at that time is 8.0 m/s. (a) if its initial velocity is 2.0 m/s, at what time is its. A train is. A Particle Has A Constant Acceleration Of 6.0 M/S2.
From www.youtube.com
Initial velocity of a particle moving along straight line with constant A Particle Has A Constant Acceleration Of 6.0 M/S2 A particle has a constant acceleration of 6.0 m/s 2. A particle has a constant acceleration of 6.0 m/s 2. A train is moving up a steep grade at constant. What is the acceleration of the particle? At t = 20 s, the particle is moving right to left with a speed of 8.0 m/s. A particle moving at constant. A Particle Has A Constant Acceleration Of 6.0 M/S2.
From www.youtube.com
Dynamics 12.1 Starting from rest, a particle moving in a straight A Particle Has A Constant Acceleration Of 6.0 M/S2 A particle has a constant acceleration of 6.0 m/s 2. A particle moving at constant acceleration has velocities of 2.0 m/s at t = 2.0 s and −7.6 m/s at t = 5.2 s. Assuming the particle’s acceleration is constant, determine (a) its. At t = 20 s, the particle is moving right to left with a speed of 8.0. A Particle Has A Constant Acceleration Of 6.0 M/S2.
From www.toppr.com
A particle moving along a straight line with a constant acceleration of A Particle Has A Constant Acceleration Of 6.0 M/S2 It is executing uniform circular. A particle has a constant acceleration of 6.0 m/s 2. The particle's displacement is 5.0 m at time t = 1.0s, and its velocity at that time is 8.0 m/s. (a) if its initial velocity is 2.0 m/s, at what time is its displacement 5.0 m? What is the acceleration of the particle? At t. A Particle Has A Constant Acceleration Of 6.0 M/S2.
From www.numerade.com
SOLVED a body initially at rest starts moving with a constant A Particle Has A Constant Acceleration Of 6.0 M/S2 A particle moving at constant acceleration has velocities of 2.0 m/s at t = 2.0 s and −7.6 m/s at t = 5.2 s. A particle has a constant acceleration of 6.0 m / s 2 (a) if its initial velocity is 2.0 m /. (a) if its initial velocity is 2.0 m/s, at what time is its displacement 5.0. A Particle Has A Constant Acceleration Of 6.0 M/S2.
From brainly.in
A particle has an initial velocity of 9 m/s due east and a constant A Particle Has A Constant Acceleration Of 6.0 M/S2 A particle has a constant acceleration of 6.0 m / s 2 (a) if its initial velocity is 2.0 m /. (a) if its initial velocity is 2.0 m/s, at what time is its. It is executing uniform circular. A particle moving at constant acceleration has velocities of 2.0 m/s at t = 2.0 s and −7.6 m/s at t. A Particle Has A Constant Acceleration Of 6.0 M/S2.
From www.chegg.com
Solved The figure gives the acceleration of a 6.0 kg A Particle Has A Constant Acceleration Of 6.0 M/S2 A particle moving at constant acceleration has velocities of 2.0 m/s at t = 2.0 s and −7.6 m/s at t = 5.2 s. (b) what is its velocity at that time? At t = 20 s, the particle is moving right to left with a speed of 8.0 m/s. A particle has a constant acceleration of 6.0 m/s 2.. A Particle Has A Constant Acceleration Of 6.0 M/S2.
From www.youtube.com
Particle under constant acceleration / Kinematic Equations YouTube A Particle Has A Constant Acceleration Of 6.0 M/S2 A particle has a constant acceleration of 6.0 m / s 2 (a) if its initial velocity is 2.0 m /. A particle has a constant acceleration of 6.0 m/s 2. What is the acceleration of the particle? A train is moving up a steep grade at constant. A particle moving at constant acceleration has velocities of 2.0 m/s at. A Particle Has A Constant Acceleration Of 6.0 M/S2.
From www.chegg.com
Solved A particle travels along a straight line with an A Particle Has A Constant Acceleration Of 6.0 M/S2 (a) if its initial velocity is 2.0 m/s, at what time is its displacement 5.0 m? (a) if its initial velocity is 2.0 m/s, at what time is its. What is the acceleration of the particle? A train is moving up a steep grade at constant. The particle's displacement is 5.0 m at time t = 1.0s, and its velocity. A Particle Has A Constant Acceleration Of 6.0 M/S2.
From www.numerade.com
SOLVED 2. An object starts from rest with a constant acceleration of 8 A Particle Has A Constant Acceleration Of 6.0 M/S2 What is the acceleration of the particle? A particle has a constant acceleration of 6.0 m/s 2. At t = 20 s, the particle is moving right to left with a speed of 8.0 m/s. Assuming the particle’s acceleration is constant, determine (a) its. The particle's displacement is 5.0 m at time t = 1.0s, and its velocity at that. A Particle Has A Constant Acceleration Of 6.0 M/S2.
From www.numerade.com
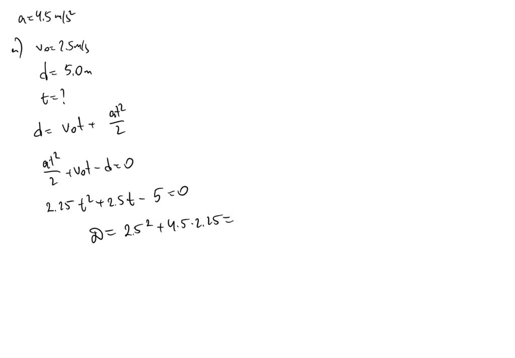
SOLVED A particle has a constant acceleration of 4.5 m/s2 a. If its A Particle Has A Constant Acceleration Of 6.0 M/S2 A train is moving up a steep grade at constant. (a) if its initial velocity is 2.0 m/s, at what time is its. A particle has a constant acceleration of 6.0 m/s 2. A particle has a constant acceleration of 6.0 m / s 2 (a) if its initial velocity is 2.0 m /. A particle has a constant acceleration. A Particle Has A Constant Acceleration Of 6.0 M/S2.
From www.toppr.com
A particle has an initial velocity of 9m/s due east and a constant A Particle Has A Constant Acceleration Of 6.0 M/S2 A particle has a constant acceleration of 6.0 m/s 2. What is the acceleration of the particle? It is executing uniform circular. At t = 20 s, the particle is moving right to left with a speed of 8.0 m/s. A particle has a constant acceleration of 6.0 m/s 2. A particle moving at constant acceleration has velocities of 2.0. A Particle Has A Constant Acceleration Of 6.0 M/S2.
From www.youtube.com
A particle moves rectilinearly with a constant acceleration `1 m//s^2 A Particle Has A Constant Acceleration Of 6.0 M/S2 A particle has a constant acceleration of 6.0 m / s 2 (a) if its initial velocity is 2.0 m /. (a) if its initial velocity is 2.0 m/s, at what time is its. (a) if its initial velocity is 2.0 m/s, at what time is its displacement 5.0 m? It is executing uniform circular. The particle's displacement is 5.0. A Particle Has A Constant Acceleration Of 6.0 M/S2.
From www.chegg.com
Solved An object moves with a constant acceleration of 5.0 A Particle Has A Constant Acceleration Of 6.0 M/S2 At t = 20 s, the particle is moving right to left with a speed of 8.0 m/s. A particle has a constant acceleration of 6.0 m/s 2. Assuming the particle’s acceleration is constant, determine (a) its. A train is moving up a steep grade at constant. (b) what is its velocity at that time? It is executing uniform circular.. A Particle Has A Constant Acceleration Of 6.0 M/S2.
From www.toppr.com
A particle moving with a constant acceleration from A to B in the A Particle Has A Constant Acceleration Of 6.0 M/S2 (a) if its initial velocity is 2.0 m/s, at what time is its displacement 5.0 m? A particle has a constant acceleration of 6.0 m / s 2 (a) if its initial velocity is 2.0 m /. A particle has a constant acceleration of 6.0 m/s 2. It is executing uniform circular. A train is moving up a steep grade. A Particle Has A Constant Acceleration Of 6.0 M/S2.