Computer Network Question Paper 2021 . We are providing the cs3591 computer networks question papers ( first and exclusively available on our website ) below for. By looking at these previous year question paper of computer network, you will get some basic knowledge that what type of questions are more likely to appear in computer network. We are providing the cs3591 computer networks lecture notes, and hand written notes collections pdf below for your.
from www.scribd.com
By looking at these previous year question paper of computer network, you will get some basic knowledge that what type of questions are more likely to appear in computer network. We are providing the cs3591 computer networks lecture notes, and hand written notes collections pdf below for your. We are providing the cs3591 computer networks question papers ( first and exclusively available on our website ) below for.
Computer Network Question Paper PDF
Computer Network Question Paper 2021 By looking at these previous year question paper of computer network, you will get some basic knowledge that what type of questions are more likely to appear in computer network. We are providing the cs3591 computer networks question papers ( first and exclusively available on our website ) below for. By looking at these previous year question paper of computer network, you will get some basic knowledge that what type of questions are more likely to appear in computer network. We are providing the cs3591 computer networks lecture notes, and hand written notes collections pdf below for your.
From ctevtpaper.blogspot.com
Computer Networks Question Papers CTEVT Computer Network Question Paper 2021 We are providing the cs3591 computer networks question papers ( first and exclusively available on our website ) below for. We are providing the cs3591 computer networks lecture notes, and hand written notes collections pdf below for your. By looking at these previous year question paper of computer network, you will get some basic knowledge that what type of questions. Computer Network Question Paper 2021.
From www.csnitknowledge.com
Computer Network Question Paper 2023 Question Paper Computer Network Computer Network Question Paper 2021 We are providing the cs3591 computer networks lecture notes, and hand written notes collections pdf below for your. By looking at these previous year question paper of computer network, you will get some basic knowledge that what type of questions are more likely to appear in computer network. We are providing the cs3591 computer networks question papers ( first and. Computer Network Question Paper 2021.
From www.studypool.com
SOLUTION Computer Network Question Paper Studypool Computer Network Question Paper 2021 We are providing the cs3591 computer networks lecture notes, and hand written notes collections pdf below for your. By looking at these previous year question paper of computer network, you will get some basic knowledge that what type of questions are more likely to appear in computer network. We are providing the cs3591 computer networks question papers ( first and. Computer Network Question Paper 2021.
From entranceindia.com
Certificate Of Designing And Support Computer Network Question Papers Computer Network Question Paper 2021 We are providing the cs3591 computer networks lecture notes, and hand written notes collections pdf below for your. We are providing the cs3591 computer networks question papers ( first and exclusively available on our website ) below for. By looking at these previous year question paper of computer network, you will get some basic knowledge that what type of questions. Computer Network Question Paper 2021.
From studynotes.in
BCA Computer Networks Previous Question Paper StudyNotes Computer Network Question Paper 2021 By looking at these previous year question paper of computer network, you will get some basic knowledge that what type of questions are more likely to appear in computer network. We are providing the cs3591 computer networks lecture notes, and hand written notes collections pdf below for your. We are providing the cs3591 computer networks question papers ( first and. Computer Network Question Paper 2021.
From ducslectures.blogspot.com
DU CS Lectures Data Communications and Computer Networks Question Paper 3 Computer Network Question Paper 2021 By looking at these previous year question paper of computer network, you will get some basic knowledge that what type of questions are more likely to appear in computer network. We are providing the cs3591 computer networks lecture notes, and hand written notes collections pdf below for your. We are providing the cs3591 computer networks question papers ( first and. Computer Network Question Paper 2021.
From www.scribd.com
Computer Network Question Paper PDF Computer Network Question Paper 2021 We are providing the cs3591 computer networks question papers ( first and exclusively available on our website ) below for. By looking at these previous year question paper of computer network, you will get some basic knowledge that what type of questions are more likely to appear in computer network. We are providing the cs3591 computer networks lecture notes, and. Computer Network Question Paper 2021.
From www.studocu.com
22520 Advanced Computer Networksamplequestionpaper[Msbtestudy Computer Network Question Paper 2021 We are providing the cs3591 computer networks question papers ( first and exclusively available on our website ) below for. We are providing the cs3591 computer networks lecture notes, and hand written notes collections pdf below for your. By looking at these previous year question paper of computer network, you will get some basic knowledge that what type of questions. Computer Network Question Paper 2021.
From www.scribd.com
Computer Network Question Paper Download Free PDF Office Equipment Computer Network Question Paper 2021 We are providing the cs3591 computer networks lecture notes, and hand written notes collections pdf below for your. By looking at these previous year question paper of computer network, you will get some basic knowledge that what type of questions are more likely to appear in computer network. We are providing the cs3591 computer networks question papers ( first and. Computer Network Question Paper 2021.
From www.youtube.com
1 sem fundamental of computer question paper diploma 2021 YouTube Computer Network Question Paper 2021 By looking at these previous year question paper of computer network, you will get some basic knowledge that what type of questions are more likely to appear in computer network. We are providing the cs3591 computer networks lecture notes, and hand written notes collections pdf below for your. We are providing the cs3591 computer networks question papers ( first and. Computer Network Question Paper 2021.
From www.jagranjosh.com
CBSE 12th Computer Science Question Paper 202122 Term 1 (PDF) Out Computer Network Question Paper 2021 By looking at these previous year question paper of computer network, you will get some basic knowledge that what type of questions are more likely to appear in computer network. We are providing the cs3591 computer networks lecture notes, and hand written notes collections pdf below for your. We are providing the cs3591 computer networks question papers ( first and. Computer Network Question Paper 2021.
From www.csnitknowledge.com
Computer Network Question Paper 2023 Question Paper Computer Network Computer Network Question Paper 2021 We are providing the cs3591 computer networks lecture notes, and hand written notes collections pdf below for your. We are providing the cs3591 computer networks question papers ( first and exclusively available on our website ) below for. By looking at these previous year question paper of computer network, you will get some basic knowledge that what type of questions. Computer Network Question Paper 2021.
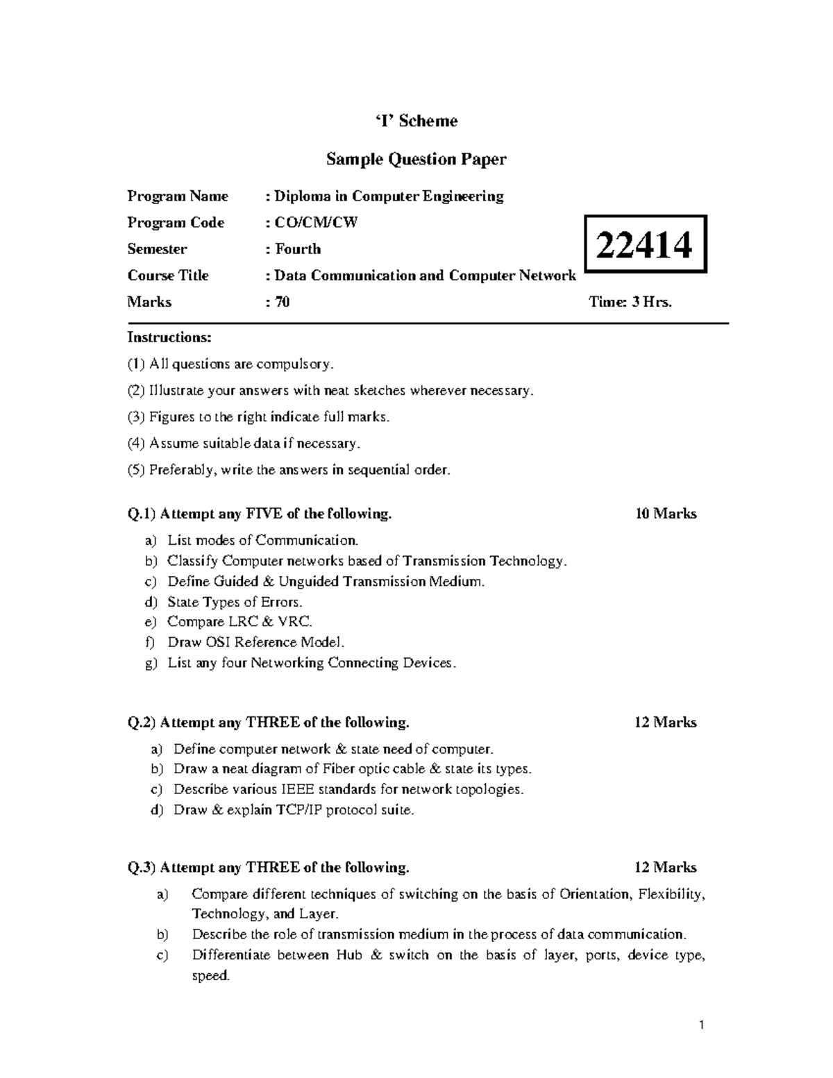
From www.studocu.com
22414 samplequestionpaper Data Communication and Computer Network Computer Network Question Paper 2021 We are providing the cs3591 computer networks question papers ( first and exclusively available on our website ) below for. By looking at these previous year question paper of computer network, you will get some basic knowledge that what type of questions are more likely to appear in computer network. We are providing the cs3591 computer networks lecture notes, and. Computer Network Question Paper 2021.
From www.youtube.com
Class 9th Final exam question paper of 2021 of computer cbse class 9 Computer Network Question Paper 2021 By looking at these previous year question paper of computer network, you will get some basic knowledge that what type of questions are more likely to appear in computer network. We are providing the cs3591 computer networks lecture notes, and hand written notes collections pdf below for your. We are providing the cs3591 computer networks question papers ( first and. Computer Network Question Paper 2021.
From www.csnitknowledge.com
Computer Network Question Paper 2022 Question Paper Computer Network Computer Network Question Paper 2021 We are providing the cs3591 computer networks question papers ( first and exclusively available on our website ) below for. We are providing the cs3591 computer networks lecture notes, and hand written notes collections pdf below for your. By looking at these previous year question paper of computer network, you will get some basic knowledge that what type of questions. Computer Network Question Paper 2021.
From www.youtube.com
Computer network question paper Question paper of computer networks Computer Network Question Paper 2021 We are providing the cs3591 computer networks question papers ( first and exclusively available on our website ) below for. We are providing the cs3591 computer networks lecture notes, and hand written notes collections pdf below for your. By looking at these previous year question paper of computer network, you will get some basic knowledge that what type of questions. Computer Network Question Paper 2021.
From www.studypool.com
SOLUTION Computer Network Question Paper Studypool Computer Network Question Paper 2021 We are providing the cs3591 computer networks question papers ( first and exclusively available on our website ) below for. By looking at these previous year question paper of computer network, you will get some basic knowledge that what type of questions are more likely to appear in computer network. We are providing the cs3591 computer networks lecture notes, and. Computer Network Question Paper 2021.
From www.studocu.com
Computer networking question papers Computer Networks Studocu Computer Network Question Paper 2021 We are providing the cs3591 computer networks question papers ( first and exclusively available on our website ) below for. We are providing the cs3591 computer networks lecture notes, and hand written notes collections pdf below for your. By looking at these previous year question paper of computer network, you will get some basic knowledge that what type of questions. Computer Network Question Paper 2021.
From www.studypool.com
SOLUTION Computer Network Question Paper Studypool Computer Network Question Paper 2021 We are providing the cs3591 computer networks lecture notes, and hand written notes collections pdf below for your. We are providing the cs3591 computer networks question papers ( first and exclusively available on our website ) below for. By looking at these previous year question paper of computer network, you will get some basic knowledge that what type of questions. Computer Network Question Paper 2021.
From www.indianuniversityquestionpapers.com
Visvesvaraya Technological University B.E. COMPUTER SCIENCE (CBCS Computer Network Question Paper 2021 We are providing the cs3591 computer networks question papers ( first and exclusively available on our website ) below for. We are providing the cs3591 computer networks lecture notes, and hand written notes collections pdf below for your. By looking at these previous year question paper of computer network, you will get some basic knowledge that what type of questions. Computer Network Question Paper 2021.
From www.studocu.com
computer network question paper Computer Networks Studocu Computer Network Question Paper 2021 By looking at these previous year question paper of computer network, you will get some basic knowledge that what type of questions are more likely to appear in computer network. We are providing the cs3591 computer networks lecture notes, and hand written notes collections pdf below for your. We are providing the cs3591 computer networks question papers ( first and. Computer Network Question Paper 2021.
From polafansando.blogspot.com
Computer Network And Security Syllabus / Ccna Security 210 260 Syllabus Computer Network Question Paper 2021 We are providing the cs3591 computer networks lecture notes, and hand written notes collections pdf below for your. By looking at these previous year question paper of computer network, you will get some basic knowledge that what type of questions are more likely to appear in computer network. We are providing the cs3591 computer networks question papers ( first and. Computer Network Question Paper 2021.
From www.csnitknowledge.com
Computer Network Question Paper 2023 Question Paper Computer Network Computer Network Question Paper 2021 By looking at these previous year question paper of computer network, you will get some basic knowledge that what type of questions are more likely to appear in computer network. We are providing the cs3591 computer networks lecture notes, and hand written notes collections pdf below for your. We are providing the cs3591 computer networks question papers ( first and. Computer Network Question Paper 2021.
From www.seekhogyan.com
Download aktu computer network question paper 2023 (KCS 603) Computer Network Question Paper 2021 By looking at these previous year question paper of computer network, you will get some basic knowledge that what type of questions are more likely to appear in computer network. We are providing the cs3591 computer networks question papers ( first and exclusively available on our website ) below for. We are providing the cs3591 computer networks lecture notes, and. Computer Network Question Paper 2021.
From ctevtpaper.blogspot.com
Computer Networks Question Papers CTEVT Computer Network Question Paper 2021 We are providing the cs3591 computer networks lecture notes, and hand written notes collections pdf below for your. By looking at these previous year question paper of computer network, you will get some basic knowledge that what type of questions are more likely to appear in computer network. We are providing the cs3591 computer networks question papers ( first and. Computer Network Question Paper 2021.
From www.csnitknowledge.com
Computer Network Question Paper 2022 Question Paper Computer Network Computer Network Question Paper 2021 By looking at these previous year question paper of computer network, you will get some basic knowledge that what type of questions are more likely to appear in computer network. We are providing the cs3591 computer networks question papers ( first and exclusively available on our website ) below for. We are providing the cs3591 computer networks lecture notes, and. Computer Network Question Paper 2021.
From ctevtnepal.blogspot.com
Computer Networks 5th Semester Questions Papers CTEVT Diploma in Computer Network Question Paper 2021 By looking at these previous year question paper of computer network, you will get some basic knowledge that what type of questions are more likely to appear in computer network. We are providing the cs3591 computer networks lecture notes, and hand written notes collections pdf below for your. We are providing the cs3591 computer networks question papers ( first and. Computer Network Question Paper 2021.
From www.studypool.com
SOLUTION Computer network question paper Studypool Computer Network Question Paper 2021 By looking at these previous year question paper of computer network, you will get some basic knowledge that what type of questions are more likely to appear in computer network. We are providing the cs3591 computer networks question papers ( first and exclusively available on our website ) below for. We are providing the cs3591 computer networks lecture notes, and. Computer Network Question Paper 2021.
From www.scribd.com
computer networks question papers Osi Model Computer Network Computer Network Question Paper 2021 We are providing the cs3591 computer networks question papers ( first and exclusively available on our website ) below for. By looking at these previous year question paper of computer network, you will get some basic knowledge that what type of questions are more likely to appear in computer network. We are providing the cs3591 computer networks lecture notes, and. Computer Network Question Paper 2021.
From www.studypool.com
SOLUTION Computer network question paper Studypool Computer Network Question Paper 2021 By looking at these previous year question paper of computer network, you will get some basic knowledge that what type of questions are more likely to appear in computer network. We are providing the cs3591 computer networks question papers ( first and exclusively available on our website ) below for. We are providing the cs3591 computer networks lecture notes, and. Computer Network Question Paper 2021.
From www.csnitknowledge.com
Computer Network Question Paper 2022 Question Paper Computer Network Computer Network Question Paper 2021 We are providing the cs3591 computer networks lecture notes, and hand written notes collections pdf below for your. We are providing the cs3591 computer networks question papers ( first and exclusively available on our website ) below for. By looking at these previous year question paper of computer network, you will get some basic knowledge that what type of questions. Computer Network Question Paper 2021.
From www.indianuniversityquestionpapers.com
Anna University MC NETWORKS NOVEMBER/DECEMBER 2019 Computer Network Question Paper 2021 We are providing the cs3591 computer networks question papers ( first and exclusively available on our website ) below for. We are providing the cs3591 computer networks lecture notes, and hand written notes collections pdf below for your. By looking at these previous year question paper of computer network, you will get some basic knowledge that what type of questions. Computer Network Question Paper 2021.
From www.recentquestionpaper.com
CS6551 Computer Networks Question Paper nov dec 2017_002 Recent Computer Network Question Paper 2021 We are providing the cs3591 computer networks question papers ( first and exclusively available on our website ) below for. By looking at these previous year question paper of computer network, you will get some basic knowledge that what type of questions are more likely to appear in computer network. We are providing the cs3591 computer networks lecture notes, and. Computer Network Question Paper 2021.
From ecolebooks.com
ISC COMPUTER PRACTICAL PAPER 2021 QUESTION 1 SOLVED EcoleBooks V2 Computer Network Question Paper 2021 We are providing the cs3591 computer networks question papers ( first and exclusively available on our website ) below for. We are providing the cs3591 computer networks lecture notes, and hand written notes collections pdf below for your. By looking at these previous year question paper of computer network, you will get some basic knowledge that what type of questions. Computer Network Question Paper 2021.
From www.scribd.com
Question papers of Computer Communication Networks Network Congestion Computer Network Question Paper 2021 By looking at these previous year question paper of computer network, you will get some basic knowledge that what type of questions are more likely to appear in computer network. We are providing the cs3591 computer networks question papers ( first and exclusively available on our website ) below for. We are providing the cs3591 computer networks lecture notes, and. Computer Network Question Paper 2021.