Lee County Florida Auditor S Office . Find property deeds, owner information, tax history, assessments, home values, sales history, and more for lee county, florida. The lee county property appraiser's office will be closed 12:00pm monday, october 7th through friday, october 11th due to hurricane milton. Looking for fort myers auditor audits, tax records & gis maps? Find land records, property sales information, unrecorded plats and maps, and property fraud alert service in lee county, florida. Find information and services for driver licenses, property taxes, vehicle registrations and more. Find out how to view, print, or download your tax bill, check your account status, and get discounts for early payment. Watch informational videos, enter your. Pay online, schedule appointments, access forms and updates from the tax collector's. Find information about property appraisal, tax exemptions, and online services in lee county, florida. Quickly find auditor phone number, directions & more (fort myers, fl). Learn about the services and functions of the lee county property appraiser's office, led by matt caldwell. Learn how real estate property taxes are calculated and paid in lee county, florida.
from www.redbubble.com
The lee county property appraiser's office will be closed 12:00pm monday, october 7th through friday, october 11th due to hurricane milton. Find out how to view, print, or download your tax bill, check your account status, and get discounts for early payment. Quickly find auditor phone number, directions & more (fort myers, fl). Learn about the services and functions of the lee county property appraiser's office, led by matt caldwell. Watch informational videos, enter your. Learn how real estate property taxes are calculated and paid in lee county, florida. Find information about property appraisal, tax exemptions, and online services in lee county, florida. Find land records, property sales information, unrecorded plats and maps, and property fraud alert service in lee county, florida. Pay online, schedule appointments, access forms and updates from the tax collector's. Looking for fort myers auditor audits, tax records & gis maps?
"Official Logo and Seal of Lee County, Florida" Poster for Sale by
Lee County Florida Auditor S Office Quickly find auditor phone number, directions & more (fort myers, fl). Find information and services for driver licenses, property taxes, vehicle registrations and more. Pay online, schedule appointments, access forms and updates from the tax collector's. Find land records, property sales information, unrecorded plats and maps, and property fraud alert service in lee county, florida. Learn how real estate property taxes are calculated and paid in lee county, florida. Learn about the services and functions of the lee county property appraiser's office, led by matt caldwell. Watch informational videos, enter your. Find property deeds, owner information, tax history, assessments, home values, sales history, and more for lee county, florida. Find information about property appraisal, tax exemptions, and online services in lee county, florida. Looking for fort myers auditor audits, tax records & gis maps? Find out how to view, print, or download your tax bill, check your account status, and get discounts for early payment. Quickly find auditor phone number, directions & more (fort myers, fl). The lee county property appraiser's office will be closed 12:00pm monday, october 7th through friday, october 11th due to hurricane milton.
From www.gulfshorebusiness.com
Spotlight Lee County Clerk of Court Linda Doggett Gulfshore Business Lee County Florida Auditor S Office Find land records, property sales information, unrecorded plats and maps, and property fraud alert service in lee county, florida. Find information and services for driver licenses, property taxes, vehicle registrations and more. The lee county property appraiser's office will be closed 12:00pm monday, october 7th through friday, october 11th due to hurricane milton. Pay online, schedule appointments, access forms and. Lee County Florida Auditor S Office.
From www.templateroller.com
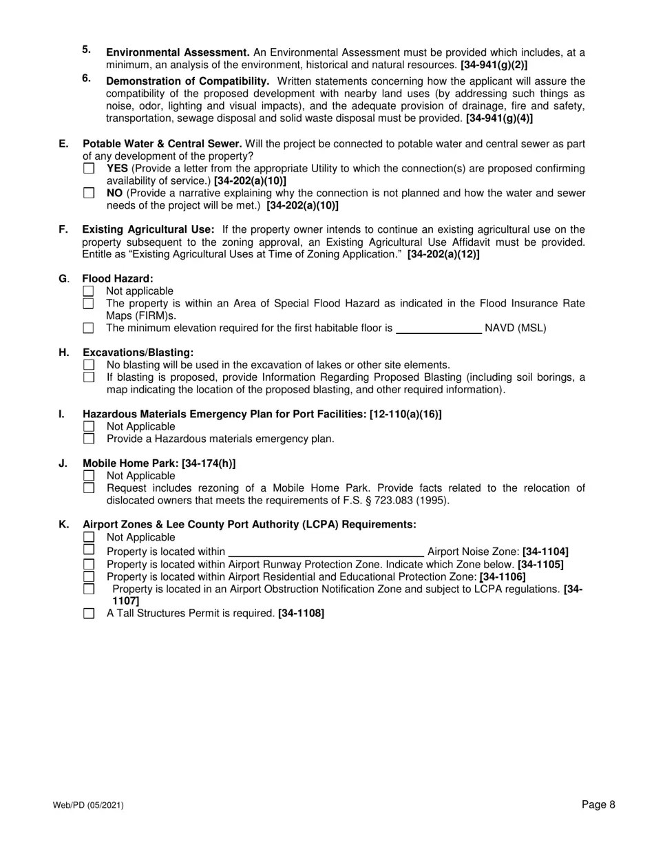
Lee County, Florida Application for Planned Development Public Hearing Lee County Florida Auditor S Office Pay online, schedule appointments, access forms and updates from the tax collector's. Find out how to view, print, or download your tax bill, check your account status, and get discounts for early payment. Find land records, property sales information, unrecorded plats and maps, and property fraud alert service in lee county, florida. Find information and services for driver licenses, property. Lee County Florida Auditor S Office.
From therookiewire.usatoday.com
Florida dog saved from alligator deputized by Lee County Sheriff's Office Lee County Florida Auditor S Office Find information about property appraisal, tax exemptions, and online services in lee county, florida. Find property deeds, owner information, tax history, assessments, home values, sales history, and more for lee county, florida. Learn how real estate property taxes are calculated and paid in lee county, florida. Learn about the services and functions of the lee county property appraiser's office, led. Lee County Florida Auditor S Office.
From www.ca.cjis20.org
Lee County Courthouse Lee County Florida Auditor S Office Quickly find auditor phone number, directions & more (fort myers, fl). Watch informational videos, enter your. Pay online, schedule appointments, access forms and updates from the tax collector's. Find property deeds, owner information, tax history, assessments, home values, sales history, and more for lee county, florida. Learn about the services and functions of the lee county property appraiser's office, led. Lee County Florida Auditor S Office.
From www.templateroller.com
Lee County, Florida Application for Special Exception Public Hearing Lee County Florida Auditor S Office Find out how to view, print, or download your tax bill, check your account status, and get discounts for early payment. Learn how real estate property taxes are calculated and paid in lee county, florida. Learn about the services and functions of the lee county property appraiser's office, led by matt caldwell. Find land records, property sales information, unrecorded plats. Lee County Florida Auditor S Office.
From thptnganamst.edu.vn
Top 64+ imagen lee county florida court records Thptnganamst.edu.vn Lee County Florida Auditor S Office The lee county property appraiser's office will be closed 12:00pm monday, october 7th through friday, october 11th due to hurricane milton. Find information about property appraisal, tax exemptions, and online services in lee county, florida. Quickly find auditor phone number, directions & more (fort myers, fl). Watch informational videos, enter your. Pay online, schedule appointments, access forms and updates from. Lee County Florida Auditor S Office.
From www.linkedin.com
Florida Auditor General on LinkedIn Stop by and meet the team! Lee County Florida Auditor S Office Pay online, schedule appointments, access forms and updates from the tax collector's. Find land records, property sales information, unrecorded plats and maps, and property fraud alert service in lee county, florida. Learn how real estate property taxes are calculated and paid in lee county, florida. Learn about the services and functions of the lee county property appraiser's office, led by. Lee County Florida Auditor S Office.
From courthousesofflorida.com
Lee County Historic Courthouse Courthouses of Florida Lee County Florida Auditor S Office Find out how to view, print, or download your tax bill, check your account status, and get discounts for early payment. Looking for fort myers auditor audits, tax records & gis maps? Find property deeds, owner information, tax history, assessments, home values, sales history, and more for lee county, florida. The lee county property appraiser's office will be closed 12:00pm. Lee County Florida Auditor S Office.
From www.templateroller.com
Lee County, Florida Application for Planned Development Public Hearing Lee County Florida Auditor S Office Learn how real estate property taxes are calculated and paid in lee county, florida. The lee county property appraiser's office will be closed 12:00pm monday, october 7th through friday, october 11th due to hurricane milton. Find out how to view, print, or download your tax bill, check your account status, and get discounts for early payment. Pay online, schedule appointments,. Lee County Florida Auditor S Office.
From www.youtube.com
County Auditor Understanding the Role and Importance CountyOffice Lee County Florida Auditor S Office Find information about property appraisal, tax exemptions, and online services in lee county, florida. Learn about the services and functions of the lee county property appraiser's office, led by matt caldwell. Find out how to view, print, or download your tax bill, check your account status, and get discounts for early payment. Find land records, property sales information, unrecorded plats. Lee County Florida Auditor S Office.
From www.pnj.com
Lee County Clerk of Court reopens Cape Coral office for services by Lee County Florida Auditor S Office Watch informational videos, enter your. Find land records, property sales information, unrecorded plats and maps, and property fraud alert service in lee county, florida. Looking for fort myers auditor audits, tax records & gis maps? Find information and services for driver licenses, property taxes, vehicle registrations and more. Find out how to view, print, or download your tax bill, check. Lee County Florida Auditor S Office.
From www.youtube.com
Boston Auditor Moves to Robert E Lee County Florida YouTube Lee County Florida Auditor S Office Find property deeds, owner information, tax history, assessments, home values, sales history, and more for lee county, florida. The lee county property appraiser's office will be closed 12:00pm monday, october 7th through friday, october 11th due to hurricane milton. Find out how to view, print, or download your tax bill, check your account status, and get discounts for early payment.. Lee County Florida Auditor S Office.
From www.templateroller.com
Lee County, Florida Application for Special Exception Public Hearing Lee County Florida Auditor S Office Find information about property appraisal, tax exemptions, and online services in lee county, florida. Find information and services for driver licenses, property taxes, vehicle registrations and more. Pay online, schedule appointments, access forms and updates from the tax collector's. Find out how to view, print, or download your tax bill, check your account status, and get discounts for early payment.. Lee County Florida Auditor S Office.
From appadvice.com
Lee County FL Sheriff's Office by Lee County Sheriff's Office (FL) Lee County Florida Auditor S Office Find information and services for driver licenses, property taxes, vehicle registrations and more. Looking for fort myers auditor audits, tax records & gis maps? Pay online, schedule appointments, access forms and updates from the tax collector's. Find property deeds, owner information, tax history, assessments, home values, sales history, and more for lee county, florida. Quickly find auditor phone number, directions. Lee County Florida Auditor S Office.
From www.bizjournals.com
Lee County, Florida Open for business and thriving The Business Journals Lee County Florida Auditor S Office Looking for fort myers auditor audits, tax records & gis maps? Pay online, schedule appointments, access forms and updates from the tax collector's. Watch informational videos, enter your. The lee county property appraiser's office will be closed 12:00pm monday, october 7th through friday, october 11th due to hurricane milton. Learn about the services and functions of the lee county property. Lee County Florida Auditor S Office.
From www.sheriffleefl.org
Records Lee County Sheriff's Office Lee County Florida Auditor S Office Find out how to view, print, or download your tax bill, check your account status, and get discounts for early payment. Learn how real estate property taxes are calculated and paid in lee county, florida. Quickly find auditor phone number, directions & more (fort myers, fl). Watch informational videos, enter your. Learn about the services and functions of the lee. Lee County Florida Auditor S Office.
From www.thecountyoffice.com
Housing Authority in Fort Myers, FL The County Office Lee County Florida Auditor S Office Find property deeds, owner information, tax history, assessments, home values, sales history, and more for lee county, florida. Learn how real estate property taxes are calculated and paid in lee county, florida. Find out how to view, print, or download your tax bill, check your account status, and get discounts for early payment. Looking for fort myers auditor audits, tax. Lee County Florida Auditor S Office.
From www.templateroller.com
Lee County, Florida Application for an Essentially BuiltOut Lee County Florida Auditor S Office Learn about the services and functions of the lee county property appraiser's office, led by matt caldwell. Find information and services for driver licenses, property taxes, vehicle registrations and more. Find out how to view, print, or download your tax bill, check your account status, and get discounts for early payment. Looking for fort myers auditor audits, tax records &. Lee County Florida Auditor S Office.
From www.winknews.com
Lee County enacts curfew as Ian passes; 911 system still operational Lee County Florida Auditor S Office Find information and services for driver licenses, property taxes, vehicle registrations and more. The lee county property appraiser's office will be closed 12:00pm monday, october 7th through friday, october 11th due to hurricane milton. Find out how to view, print, or download your tax bill, check your account status, and get discounts for early payment. Learn about the services and. Lee County Florida Auditor S Office.
From www.fox4now.com
Lee County Sheriff's Office begins reaccreditation process Lee County Florida Auditor S Office Find information and services for driver licenses, property taxes, vehicle registrations and more. Looking for fort myers auditor audits, tax records & gis maps? Learn about the services and functions of the lee county property appraiser's office, led by matt caldwell. Find land records, property sales information, unrecorded plats and maps, and property fraud alert service in lee county, florida.. Lee County Florida Auditor S Office.
From gov.pulaskionline.org
Auditor’s Office Government Pulaski Online Lee County Florida Auditor S Office Pay online, schedule appointments, access forms and updates from the tax collector's. Find land records, property sales information, unrecorded plats and maps, and property fraud alert service in lee county, florida. Learn how real estate property taxes are calculated and paid in lee county, florida. Learn about the services and functions of the lee county property appraiser's office, led by. Lee County Florida Auditor S Office.
From www.yumpu.com
Lee County Notice of Hearing Form 20th Judicial Circuit Florida Lee County Florida Auditor S Office Find land records, property sales information, unrecorded plats and maps, and property fraud alert service in lee county, florida. Learn about the services and functions of the lee county property appraiser's office, led by matt caldwell. Learn how real estate property taxes are calculated and paid in lee county, florida. Looking for fort myers auditor audits, tax records & gis. Lee County Florida Auditor S Office.
From www.templateroller.com
Lee County, Florida Application for Planned Development Public Hearing Lee County Florida Auditor S Office Find out how to view, print, or download your tax bill, check your account status, and get discounts for early payment. Find land records, property sales information, unrecorded plats and maps, and property fraud alert service in lee county, florida. The lee county property appraiser's office will be closed 12:00pm monday, october 7th through friday, october 11th due to hurricane. Lee County Florida Auditor S Office.
From www.thecountyoffice.com
Passport Office in Lee County, FL The County Office Lee County Florida Auditor S Office Learn about the services and functions of the lee county property appraiser's office, led by matt caldwell. Find information and services for driver licenses, property taxes, vehicle registrations and more. Find property deeds, owner information, tax history, assessments, home values, sales history, and more for lee county, florida. Learn how real estate property taxes are calculated and paid in lee. Lee County Florida Auditor S Office.
From www.templateroller.com
Lee County, Florida Performance and Payment Bond Fill Out, Sign Lee County Florida Auditor S Office Quickly find auditor phone number, directions & more (fort myers, fl). Find out how to view, print, or download your tax bill, check your account status, and get discounts for early payment. Learn how real estate property taxes are calculated and paid in lee county, florida. Learn about the services and functions of the lee county property appraiser's office, led. Lee County Florida Auditor S Office.
From www.templateroller.com
Lee County, Florida Application for Special Exception Public Hearing Lee County Florida Auditor S Office Find information and services for driver licenses, property taxes, vehicle registrations and more. Find out how to view, print, or download your tax bill, check your account status, and get discounts for early payment. Find property deeds, owner information, tax history, assessments, home values, sales history, and more for lee county, florida. Learn about the services and functions of the. Lee County Florida Auditor S Office.
From www.templateroller.com
Lee County, Florida Application for Planned Development Public Hearing Lee County Florida Auditor S Office Find information and services for driver licenses, property taxes, vehicle registrations and more. Learn about the services and functions of the lee county property appraiser's office, led by matt caldwell. Learn how real estate property taxes are calculated and paid in lee county, florida. Find property deeds, owner information, tax history, assessments, home values, sales history, and more for lee. Lee County Florida Auditor S Office.
From www.templateroller.com
Lee County, Florida Request for Lee County Hearing Examiner Code Lee County Florida Auditor S Office Quickly find auditor phone number, directions & more (fort myers, fl). Find information about property appraisal, tax exemptions, and online services in lee county, florida. Find out how to view, print, or download your tax bill, check your account status, and get discounts for early payment. Find land records, property sales information, unrecorded plats and maps, and property fraud alert. Lee County Florida Auditor S Office.
From www.redbubble.com
"Official Logo and Seal of Lee County, Florida" Poster for Sale by Lee County Florida Auditor S Office Pay online, schedule appointments, access forms and updates from the tax collector's. Find information about property appraisal, tax exemptions, and online services in lee county, florida. Find information and services for driver licenses, property taxes, vehicle registrations and more. Find land records, property sales information, unrecorded plats and maps, and property fraud alert service in lee county, florida. Watch informational. Lee County Florida Auditor S Office.
From www.flickr.com
Lee County, Florida Sheriff’s Department Lee County, Flori… Flickr Lee County Florida Auditor S Office Find information and services for driver licenses, property taxes, vehicle registrations and more. Find out how to view, print, or download your tax bill, check your account status, and get discounts for early payment. Find information about property appraisal, tax exemptions, and online services in lee county, florida. Looking for fort myers auditor audits, tax records & gis maps? The. Lee County Florida Auditor S Office.
From www.templateroller.com
Lee County, Florida professional Services Agreement (Psa) Annual Lee County Florida Auditor S Office Find out how to view, print, or download your tax bill, check your account status, and get discounts for early payment. Find land records, property sales information, unrecorded plats and maps, and property fraud alert service in lee county, florida. Pay online, schedule appointments, access forms and updates from the tax collector's. Watch informational videos, enter your. Looking for fort. Lee County Florida Auditor S Office.
From www.sheriffleefl.org
Facility Directory Lee County Sheriff's Office Lee County Florida Auditor S Office Looking for fort myers auditor audits, tax records & gis maps? Find land records, property sales information, unrecorded plats and maps, and property fraud alert service in lee county, florida. Pay online, schedule appointments, access forms and updates from the tax collector's. Watch informational videos, enter your. Find information about property appraisal, tax exemptions, and online services in lee county,. Lee County Florida Auditor S Office.
From www.templateroller.com
Lee County, Florida Application for Planned Development Public Hearing Lee County Florida Auditor S Office Find information about property appraisal, tax exemptions, and online services in lee county, florida. Learn how real estate property taxes are calculated and paid in lee county, florida. Quickly find auditor phone number, directions & more (fort myers, fl). The lee county property appraiser's office will be closed 12:00pm monday, october 7th through friday, october 11th due to hurricane milton.. Lee County Florida Auditor S Office.
From www.dreamstime.com
County Auditor s Office stock image. Image of country 73157607 Lee County Florida Auditor S Office Find land records, property sales information, unrecorded plats and maps, and property fraud alert service in lee county, florida. Find information about property appraisal, tax exemptions, and online services in lee county, florida. Find property deeds, owner information, tax history, assessments, home values, sales history, and more for lee county, florida. Quickly find auditor phone number, directions & more (fort. Lee County Florida Auditor S Office.
From unitedwaylee.org
Clerk of Court Fundraiser United Way of Lee, Hendry, and Glades Lee County Florida Auditor S Office Watch informational videos, enter your. The lee county property appraiser's office will be closed 12:00pm monday, october 7th through friday, october 11th due to hurricane milton. Find information and services for driver licenses, property taxes, vehicle registrations and more. Find out how to view, print, or download your tax bill, check your account status, and get discounts for early payment.. Lee County Florida Auditor S Office.