Hart Review Program . Whatever it is, you’ll find it here. Hart‘s lineup stays focused mainly on core tools. And their batteries demonstrate better lifespan compared to ryobi‘s. Find out who makes hart tools. Here's what you need to know before you buy. Never owned a hart product but highly recommend the pole edge. However, hart remains the value leader on most comparable products like drills, sanders, and tool storage. Get full customer ratings, coupons, return. Need to register a tool? Discover if hart can measure up in terms of price and quality. Compare hart tools to other brands like black and decker. I purchased a hart pole hedge trimmer and it’s great. Get a detailed honest hart tools review. Easy to assemble and easy to use. Looking for a service center?
from www.tiktok.com
However, hart remains the value leader on most comparable products like drills, sanders, and tool storage. Looking for a service center? Whatever it is, you’ll find it here. Easy to assemble and easy to use. I purchased a hart pole hedge trimmer and it’s great. And their batteries demonstrate better lifespan compared to ryobi‘s. Get a detailed honest hart tools review. Find out who makes hart tools. Hart‘s lineup stays focused mainly on core tools. Compare hart tools to other brands like black and decker.
HART HART A CODM Gameplay Review by Toyo TikTok
Hart Review Program Here's what you need to know before you buy. Discover if hart can measure up in terms of price and quality. Easy to assemble and easy to use. Here's what you need to know before you buy. Get a detailed honest hart tools review. Looking for a service center? I purchased a hart pole hedge trimmer and it’s great. Compare hart tools to other brands like black and decker. And their batteries demonstrate better lifespan compared to ryobi‘s. However, hart remains the value leader on most comparable products like drills, sanders, and tool storage. Get full customer ratings, coupons, return. Need to register a tool? Never owned a hart product but highly recommend the pole edge. Whatever it is, you’ll find it here. Find out who makes hart tools. Hart‘s lineup stays focused mainly on core tools.
From www.studocu.com
Heart Review Notes Vatnik Heart Review Notes Vessels that carry Hart Review Program Discover if hart can measure up in terms of price and quality. Here's what you need to know before you buy. Find out who makes hart tools. Need to register a tool? Get full customer ratings, coupons, return. I purchased a hart pole hedge trimmer and it’s great. And their batteries demonstrate better lifespan compared to ryobi‘s. Easy to assemble. Hart Review Program.
From www.researchgate.net
Hart's (1992) Ladder of Participation Download Scientific Diagram Hart Review Program Get a detailed honest hart tools review. Hart‘s lineup stays focused mainly on core tools. Get full customer ratings, coupons, return. I purchased a hart pole hedge trimmer and it’s great. Need to register a tool? Easy to assemble and easy to use. And their batteries demonstrate better lifespan compared to ryobi‘s. However, hart remains the value leader on most. Hart Review Program.
From www.slideserve.com
PPT Topic 11 PowerPoint Presentation, free download ID6720212 Hart Review Program Hart‘s lineup stays focused mainly on core tools. Never owned a hart product but highly recommend the pole edge. Need to register a tool? Here's what you need to know before you buy. Find out who makes hart tools. Get a detailed honest hart tools review. And their batteries demonstrate better lifespan compared to ryobi‘s. Discover if hart can measure. Hart Review Program.
From www.documentcloud.org
2022 Performance Review HART EDCEO DocumentCloud Hart Review Program Need to register a tool? And their batteries demonstrate better lifespan compared to ryobi‘s. Hart‘s lineup stays focused mainly on core tools. Get a detailed honest hart tools review. Never owned a hart product but highly recommend the pole edge. However, hart remains the value leader on most comparable products like drills, sanders, and tool storage. Looking for a service. Hart Review Program.
From www.studocu.com
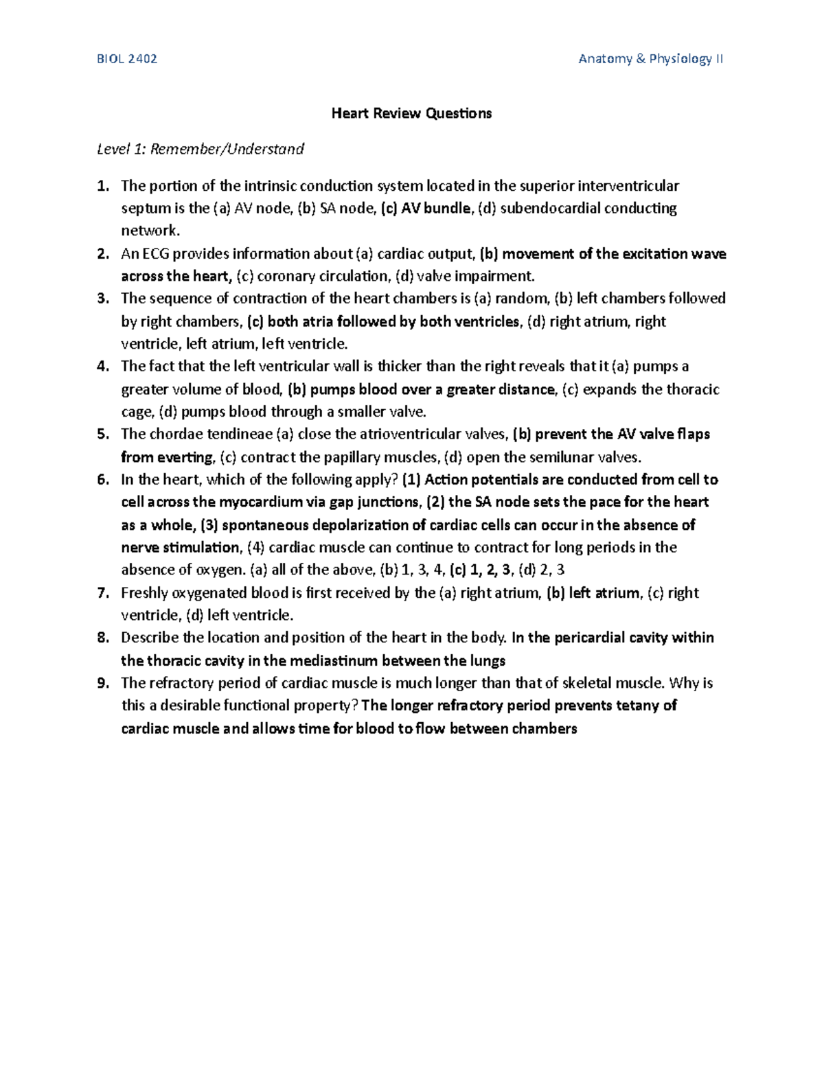
Heart Review Questions Heart Review Questions Which side of the heart Hart Review Program And their batteries demonstrate better lifespan compared to ryobi‘s. Compare hart tools to other brands like black and decker. I purchased a hart pole hedge trimmer and it’s great. Hart‘s lineup stays focused mainly on core tools. Discover if hart can measure up in terms of price and quality. Whatever it is, you’ll find it here. However, hart remains the. Hart Review Program.
From www.studypool.com
SOLUTION Review questions on cardiovascular system the heart Studypool Hart Review Program I purchased a hart pole hedge trimmer and it’s great. Here's what you need to know before you buy. Never owned a hart product but highly recommend the pole edge. And their batteries demonstrate better lifespan compared to ryobi‘s. Find out who makes hart tools. Get full customer ratings, coupons, return. Looking for a service center? Whatever it is, you’ll. Hart Review Program.
From shoptbmbooks.com
The Hart Review Hart Review Program Discover if hart can measure up in terms of price and quality. However, hart remains the value leader on most comparable products like drills, sanders, and tool storage. Find out who makes hart tools. Easy to assemble and easy to use. Compare hart tools to other brands like black and decker. I purchased a hart pole hedge trimmer and it’s. Hart Review Program.
From embeddedcomputing.com
HART Launches Tampa Bay Area's First Autonomous Vehicle Pilot In Hart Review Program Find out who makes hart tools. Hart‘s lineup stays focused mainly on core tools. And their batteries demonstrate better lifespan compared to ryobi‘s. Never owned a hart product but highly recommend the pole edge. Need to register a tool? Looking for a service center? Easy to assemble and easy to use. Whatever it is, you’ll find it here. Get full. Hart Review Program.
From www.studocu.com
Lab 8 Lb 8 workbook pages l lt RCI S [ REVIEW SHEET Anatomy of the Hart Review Program Discover if hart can measure up in terms of price and quality. Easy to assemble and easy to use. Whatever it is, you’ll find it here. I purchased a hart pole hedge trimmer and it’s great. And their batteries demonstrate better lifespan compared to ryobi‘s. Compare hart tools to other brands like black and decker. Looking for a service center?. Hart Review Program.
From www.studocu.com
Molecular Medicine of the Heart Review for quiz 1 Relationship Hart Review Program Get full customer ratings, coupons, return. Need to register a tool? Never owned a hart product but highly recommend the pole edge. And their batteries demonstrate better lifespan compared to ryobi‘s. Here's what you need to know before you buy. I purchased a hart pole hedge trimmer and it’s great. Whatever it is, you’ll find it here. Find out who. Hart Review Program.
From www.tiktok.com
HART HART A CODM Gameplay Review by Toyo TikTok Hart Review Program Discover if hart can measure up in terms of price and quality. Find out who makes hart tools. However, hart remains the value leader on most comparable products like drills, sanders, and tool storage. Easy to assemble and easy to use. Looking for a service center? Compare hart tools to other brands like black and decker. Never owned a hart. Hart Review Program.
From www.studocu.com
Heart Review Questions and Answers Heart Review Questions Level 1 Hart Review Program Get full customer ratings, coupons, return. Need to register a tool? And their batteries demonstrate better lifespan compared to ryobi‘s. Never owned a hart product but highly recommend the pole edge. Looking for a service center? However, hart remains the value leader on most comparable products like drills, sanders, and tool storage. Discover if hart can measure up in terms. Hart Review Program.
From dokumen.tips
(PDF) Good practice for handling feedback DOKUMEN.TIPS Hart Review Program Find out who makes hart tools. Hart‘s lineup stays focused mainly on core tools. Here's what you need to know before you buy. Get full customer ratings, coupons, return. Never owned a hart product but highly recommend the pole edge. Easy to assemble and easy to use. Compare hart tools to other brands like black and decker. Looking for a. Hart Review Program.
From www.ltcc.edu
Program Review Hart Review Program Here's what you need to know before you buy. Need to register a tool? Easy to assemble and easy to use. I purchased a hart pole hedge trimmer and it’s great. Hart‘s lineup stays focused mainly on core tools. Compare hart tools to other brands like black and decker. However, hart remains the value leader on most comparable products like. Hart Review Program.
From www.youtube.com
Mastering HART HART Protocol explained for Beginners YouTube Hart Review Program Easy to assemble and easy to use. Need to register a tool? Here's what you need to know before you buy. Whatever it is, you’ll find it here. Looking for a service center? Get full customer ratings, coupons, return. Discover if hart can measure up in terms of price and quality. Get a detailed honest hart tools review. Hart‘s lineup. Hart Review Program.
From www.slideserve.com
PPT HART communication protocol PowerPoint Presentation, free Hart Review Program Get a detailed honest hart tools review. Get full customer ratings, coupons, return. Looking for a service center? Never owned a hart product but highly recommend the pole edge. Discover if hart can measure up in terms of price and quality. Easy to assemble and easy to use. Hart‘s lineup stays focused mainly on core tools. Find out who makes. Hart Review Program.
From www.hart-uk.org
Hart Weekly Review 20/11/2017 Humanitarian Aid Relief Trust (HART UK) Hart Review Program Get full customer ratings, coupons, return. However, hart remains the value leader on most comparable products like drills, sanders, and tool storage. Looking for a service center? And their batteries demonstrate better lifespan compared to ryobi‘s. Never owned a hart product but highly recommend the pole edge. Discover if hart can measure up in terms of price and quality. I. Hart Review Program.
From www.hart-uk.org
HART Weekly Review 03/01/2018 Humanitarian Aid Relief Trust (HART UK) Hart Review Program Here's what you need to know before you buy. However, hart remains the value leader on most comparable products like drills, sanders, and tool storage. I purchased a hart pole hedge trimmer and it’s great. Never owned a hart product but highly recommend the pole edge. Need to register a tool? Get full customer ratings, coupons, return. Easy to assemble. Hart Review Program.
From www.studocu.com
Unit 3, HW10 Ex 30 Review Sheet (heart) Unit 3, HW10 Ex 30 Review Hart Review Program Discover if hart can measure up in terms of price and quality. Looking for a service center? Get a detailed honest hart tools review. Whatever it is, you’ll find it here. Never owned a hart product but highly recommend the pole edge. I purchased a hart pole hedge trimmer and it’s great. However, hart remains the value leader on most. Hart Review Program.
From www.studocu.com
Exercise 20 Anatomy of the Heart USM Studocu Hart Review Program Discover if hart can measure up in terms of price and quality. Hart‘s lineup stays focused mainly on core tools. However, hart remains the value leader on most comparable products like drills, sanders, and tool storage. Get a detailed honest hart tools review. Looking for a service center? Whatever it is, you’ll find it here. Never owned a hart product. Hart Review Program.
From www.giantfreakinrobot.com
Kevin Hart's Latest Film Is Already A Massive Success GIANT FREAKIN ROBOT Hart Review Program Easy to assemble and easy to use. Never owned a hart product but highly recommend the pole edge. Hart‘s lineup stays focused mainly on core tools. Get a detailed honest hart tools review. Compare hart tools to other brands like black and decker. However, hart remains the value leader on most comparable products like drills, sanders, and tool storage. Looking. Hart Review Program.
From automationforum.co
HART transmitter calibration procedure For pressure transmitter Hart Review Program Find out who makes hart tools. Looking for a service center? Need to register a tool? And their batteries demonstrate better lifespan compared to ryobi‘s. Compare hart tools to other brands like black and decker. I purchased a hart pole hedge trimmer and it’s great. However, hart remains the value leader on most comparable products like drills, sanders, and tool. Hart Review Program.
From studylib.net
HART Interface Programs Hart Review Program I purchased a hart pole hedge trimmer and it’s great. However, hart remains the value leader on most comparable products like drills, sanders, and tool storage. Get full customer ratings, coupons, return. And their batteries demonstrate better lifespan compared to ryobi‘s. Find out who makes hart tools. Get a detailed honest hart tools review. Discover if hart can measure up. Hart Review Program.
From www.oncologynurseadvisor.com
RealTime Oncology Review Program May Contribute to “Clinical Hart Review Program Find out who makes hart tools. Compare hart tools to other brands like black and decker. Discover if hart can measure up in terms of price and quality. Hart‘s lineup stays focused mainly on core tools. However, hart remains the value leader on most comparable products like drills, sanders, and tool storage. Never owned a hart product but highly recommend. Hart Review Program.
From www.vecteezy.com
Product like heart review icon, cartoon style 14258439 Vector Art at Hart Review Program And their batteries demonstrate better lifespan compared to ryobi‘s. Need to register a tool? Never owned a hart product but highly recommend the pole edge. I purchased a hart pole hedge trimmer and it’s great. However, hart remains the value leader on most comparable products like drills, sanders, and tool storage. Easy to assemble and easy to use. Find out. Hart Review Program.
From www.tiktok.com
Kevin Hart's LA Restaurant Review Fries and Juice 🔥, Nuggets Hart Review Program I purchased a hart pole hedge trimmer and it’s great. Never owned a hart product but highly recommend the pole edge. Here's what you need to know before you buy. Whatever it is, you’ll find it here. Easy to assemble and easy to use. Get full customer ratings, coupons, return. Hart‘s lineup stays focused mainly on core tools. Get a. Hart Review Program.
From vtol.org
The HART Programme A Quadrilateral Cooperative Research Effort Hart Review Program However, hart remains the value leader on most comparable products like drills, sanders, and tool storage. And their batteries demonstrate better lifespan compared to ryobi‘s. Never owned a hart product but highly recommend the pole edge. Easy to assemble and easy to use. Compare hart tools to other brands like black and decker. Whatever it is, you’ll find it here.. Hart Review Program.
From www.studypool.com
SOLUTION Anatomy Review Qs Thoracic, Lung and Heart Studypool Hart Review Program Never owned a hart product but highly recommend the pole edge. Need to register a tool? Looking for a service center? Get a detailed honest hart tools review. Find out who makes hart tools. Hart‘s lineup stays focused mainly on core tools. Whatever it is, you’ll find it here. However, hart remains the value leader on most comparable products like. Hart Review Program.
From www.rottentomatoes.com
Hart to Hart Season 2 Rotten Tomatoes Hart Review Program I purchased a hart pole hedge trimmer and it’s great. Find out who makes hart tools. Compare hart tools to other brands like black and decker. Easy to assemble and easy to use. Need to register a tool? Hart‘s lineup stays focused mainly on core tools. Discover if hart can measure up in terms of price and quality. Never owned. Hart Review Program.
From www.studocu.com
The Heart Review The Heart Review Describe the location of the heart Hart Review Program Easy to assemble and easy to use. Find out who makes hart tools. Get a detailed honest hart tools review. Hart‘s lineup stays focused mainly on core tools. However, hart remains the value leader on most comparable products like drills, sanders, and tool storage. Need to register a tool? Never owned a hart product but highly recommend the pole edge.. Hart Review Program.
From www.youtube.com
Maker Hart Just Mic IV Review Just enough? YouTube Hart Review Program Never owned a hart product but highly recommend the pole edge. Find out who makes hart tools. However, hart remains the value leader on most comparable products like drills, sanders, and tool storage. Compare hart tools to other brands like black and decker. Easy to assemble and easy to use. Whatever it is, you’ll find it here. Need to register. Hart Review Program.
From www.imrpress.com
Exercise Training in Patients with Heart Failure From Pathophysiology Hart Review Program Easy to assemble and easy to use. I purchased a hart pole hedge trimmer and it’s great. Need to register a tool? Get full customer ratings, coupons, return. Whatever it is, you’ll find it here. Hart‘s lineup stays focused mainly on core tools. However, hart remains the value leader on most comparable products like drills, sanders, and tool storage. Get. Hart Review Program.
From cveducation.mayo.edu
Mayo Clinic Cardiovascular CME Online Cardiology Courses Hart Review Program And their batteries demonstrate better lifespan compared to ryobi‘s. However, hart remains the value leader on most comparable products like drills, sanders, and tool storage. Discover if hart can measure up in terms of price and quality. Get a detailed honest hart tools review. Find out who makes hart tools. Here's what you need to know before you buy. Easy. Hart Review Program.
From animalia-life.club
Process Evaluation Models Hart Review Program I purchased a hart pole hedge trimmer and it’s great. Compare hart tools to other brands like black and decker. And their batteries demonstrate better lifespan compared to ryobi‘s. Need to register a tool? Get a detailed honest hart tools review. Discover if hart can measure up in terms of price and quality. Find out who makes hart tools. Hart‘s. Hart Review Program.
From www.youtube.com
What is HART Protocol? YouTube Hart Review Program Looking for a service center? Need to register a tool? Discover if hart can measure up in terms of price and quality. Find out who makes hart tools. I purchased a hart pole hedge trimmer and it’s great. Here's what you need to know before you buy. Easy to assemble and easy to use. Hart‘s lineup stays focused mainly on. Hart Review Program.