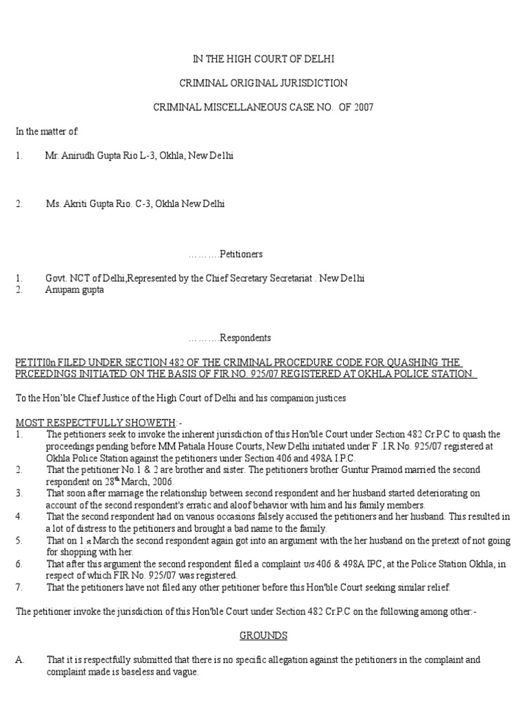
Draft Application Under Section 482 Crpc . It is, therefore, most respectfully prayed that this application may be allowed in the interest of justice and the petitioner may be directed to be. It summarizes the key dates and. Section 482 of the criminal procedure code (crpc) is a provision that vests inherent powers in the high court to make orders necessary to prevent abuse of process and to secure the ends of justice. Learn about the inherent powers of the high court under section 482 of the code of criminal procedure, 1973, and how they are. This document is a draft petition seeking to quash criminal proceedings under section 482 of the crpc. Learn how to quash firs under section 482 of crpc, a legal procedure to seek relief from false charges, especially in section 498a cases. It provides details of the petitioners and respondents. One of the common applications of this section is to quash criminal proceedings. It argues that the phrase or otherwise to secure the ends of justice should be read as a single unit and not as a disjunctive one, based on the punctuation and grammar of the provision. The article examines the legal basis and interpretation of section 482 of the code of criminal procedure, which recognises the inherent powers of high courts to quash firs.
from www.studocu.com
It argues that the phrase or otherwise to secure the ends of justice should be read as a single unit and not as a disjunctive one, based on the punctuation and grammar of the provision. It provides details of the petitioners and respondents. Learn about the inherent powers of the high court under section 482 of the code of criminal procedure, 1973, and how they are. Section 482 of the criminal procedure code (crpc) is a provision that vests inherent powers in the high court to make orders necessary to prevent abuse of process and to secure the ends of justice. Learn how to quash firs under section 482 of crpc, a legal procedure to seek relief from false charges, especially in section 498a cases. It summarizes the key dates and. One of the common applications of this section is to quash criminal proceedings. The article examines the legal basis and interpretation of section 482 of the code of criminal procedure, which recognises the inherent powers of high courts to quash firs. It is, therefore, most respectfully prayed that this application may be allowed in the interest of justice and the petitioner may be directed to be. This document is a draft petition seeking to quash criminal proceedings under section 482 of the crpc.
Application under Section 439 Cr PC for the grant of Bail land law
Draft Application Under Section 482 Crpc It summarizes the key dates and. It is, therefore, most respectfully prayed that this application may be allowed in the interest of justice and the petitioner may be directed to be. It argues that the phrase or otherwise to secure the ends of justice should be read as a single unit and not as a disjunctive one, based on the punctuation and grammar of the provision. One of the common applications of this section is to quash criminal proceedings. Learn how to quash firs under section 482 of crpc, a legal procedure to seek relief from false charges, especially in section 498a cases. It summarizes the key dates and. It provides details of the petitioners and respondents. The article examines the legal basis and interpretation of section 482 of the code of criminal procedure, which recognises the inherent powers of high courts to quash firs. This document is a draft petition seeking to quash criminal proceedings under section 482 of the crpc. Learn about the inherent powers of the high court under section 482 of the code of criminal procedure, 1973, and how they are. Section 482 of the criminal procedure code (crpc) is a provision that vests inherent powers in the high court to make orders necessary to prevent abuse of process and to secure the ends of justice.
From onlinelegalcenter.com
What Is Section 482 CrPC? Online Legal Center Draft Application Under Section 482 Crpc The article examines the legal basis and interpretation of section 482 of the code of criminal procedure, which recognises the inherent powers of high courts to quash firs. It argues that the phrase or otherwise to secure the ends of justice should be read as a single unit and not as a disjunctive one, based on the punctuation and grammar. Draft Application Under Section 482 Crpc.
From lawtimesjournal.in
Section 482 CRPC Saving of Inherent Powers of High Court Law Times Draft Application Under Section 482 Crpc It argues that the phrase or otherwise to secure the ends of justice should be read as a single unit and not as a disjunctive one, based on the punctuation and grammar of the provision. It summarizes the key dates and. Section 482 of the criminal procedure code (crpc) is a provision that vests inherent powers in the high court. Draft Application Under Section 482 Crpc.
From phenixbaylegal.com
Format of 482 Crpc Quashing of FIR Petition Phenix Bay Legal Draft Application Under Section 482 Crpc Section 482 of the criminal procedure code (crpc) is a provision that vests inherent powers in the high court to make orders necessary to prevent abuse of process and to secure the ends of justice. The article examines the legal basis and interpretation of section 482 of the code of criminal procedure, which recognises the inherent powers of high courts. Draft Application Under Section 482 Crpc.
From www.youtube.com
Application under section 482 Crp Part 1c by Mr. Rahul Arora YouTube Draft Application Under Section 482 Crpc One of the common applications of this section is to quash criminal proceedings. It provides details of the petitioners and respondents. Learn about the inherent powers of the high court under section 482 of the code of criminal procedure, 1973, and how they are. Section 482 of the criminal procedure code (crpc) is a provision that vests inherent powers in. Draft Application Under Section 482 Crpc.
From www.barandbench.com
High Court cannot conduct 'mini trial' while deciding Section 482 CrPC Draft Application Under Section 482 Crpc This document is a draft petition seeking to quash criminal proceedings under section 482 of the crpc. Learn about the inherent powers of the high court under section 482 of the code of criminal procedure, 1973, and how they are. It provides details of the petitioners and respondents. Section 482 of the criminal procedure code (crpc) is a provision that. Draft Application Under Section 482 Crpc.
From thedailyguardian.com
Supreme Court Issues Notice Can Sections 482 CrPC petition Be Draft Application Under Section 482 Crpc One of the common applications of this section is to quash criminal proceedings. Learn about the inherent powers of the high court under section 482 of the code of criminal procedure, 1973, and how they are. Section 482 of the criminal procedure code (crpc) is a provision that vests inherent powers in the high court to make orders necessary to. Draft Application Under Section 482 Crpc.
From www.scconline.com
Maintainability of Second Petition under Section 482 CrPC on grounds Draft Application Under Section 482 Crpc It argues that the phrase or otherwise to secure the ends of justice should be read as a single unit and not as a disjunctive one, based on the punctuation and grammar of the provision. It summarizes the key dates and. It is, therefore, most respectfully prayed that this application may be allowed in the interest of justice and the. Draft Application Under Section 482 Crpc.
From sahodar.in
Supreme Court's Decision on Section 482 CrPC Sahodar Draft Application Under Section 482 Crpc One of the common applications of this section is to quash criminal proceedings. This document is a draft petition seeking to quash criminal proceedings under section 482 of the crpc. It argues that the phrase or otherwise to secure the ends of justice should be read as a single unit and not as a disjunctive one, based on the punctuation. Draft Application Under Section 482 Crpc.
From www.studocu.com
Application under Section 439 Cr PC for the grant of Bail land law Draft Application Under Section 482 Crpc This document is a draft petition seeking to quash criminal proceedings under section 482 of the crpc. It argues that the phrase or otherwise to secure the ends of justice should be read as a single unit and not as a disjunctive one, based on the punctuation and grammar of the provision. Learn about the inherent powers of the high. Draft Application Under Section 482 Crpc.
From www.scribd.com
S.482 CrPC.docx Complaint Criminal Justice Free 30day Trial Scribd Draft Application Under Section 482 Crpc It is, therefore, most respectfully prayed that this application may be allowed in the interest of justice and the petitioner may be directed to be. The article examines the legal basis and interpretation of section 482 of the code of criminal procedure, which recognises the inherent powers of high courts to quash firs. It summarizes the key dates and. Section. Draft Application Under Section 482 Crpc.
From www.scribd.com
Original Draft of Quashing Petition Under Section 482 of CRPC PDF Draft Application Under Section 482 Crpc It is, therefore, most respectfully prayed that this application may be allowed in the interest of justice and the petitioner may be directed to be. One of the common applications of this section is to quash criminal proceedings. Learn about the inherent powers of the high court under section 482 of the code of criminal procedure, 1973, and how they. Draft Application Under Section 482 Crpc.
From phenixbaylegal.com
Application under Section 127(1) Crpc Phenix Bay Legal Draft Application Under Section 482 Crpc Learn about the inherent powers of the high court under section 482 of the code of criminal procedure, 1973, and how they are. This document is a draft petition seeking to quash criminal proceedings under section 482 of the crpc. It argues that the phrase or otherwise to secure the ends of justice should be read as a single unit. Draft Application Under Section 482 Crpc.
From www.barelaw.in
APPLICATION UNDER SECTION 482 OF CRIMINAL PROCEDURE CODE FOR SEEKING Draft Application Under Section 482 Crpc It summarizes the key dates and. This document is a draft petition seeking to quash criminal proceedings under section 482 of the crpc. Learn how to quash firs under section 482 of crpc, a legal procedure to seek relief from false charges, especially in section 498a cases. Learn about the inherent powers of the high court under section 482 of. Draft Application Under Section 482 Crpc.
From www.scribd.com
Petition Under Section 482, Cr. P.C.DraftingMiscellaneous Template Draft Application Under Section 482 Crpc Learn how to quash firs under section 482 of crpc, a legal procedure to seek relief from false charges, especially in section 498a cases. This document is a draft petition seeking to quash criminal proceedings under section 482 of the crpc. It provides details of the petitioners and respondents. One of the common applications of this section is to quash. Draft Application Under Section 482 Crpc.
From www.scribd.com
Petition For Quashing of FIR Under Section 482 of Criminal Procedure Draft Application Under Section 482 Crpc It is, therefore, most respectfully prayed that this application may be allowed in the interest of justice and the petitioner may be directed to be. Learn how to quash firs under section 482 of crpc, a legal procedure to seek relief from false charges, especially in section 498a cases. The article examines the legal basis and interpretation of section 482. Draft Application Under Section 482 Crpc.
From lawforall.in
S. 482 Cr PC Understanding the Inherent Powers of High Court to Draft Application Under Section 482 Crpc It is, therefore, most respectfully prayed that this application may be allowed in the interest of justice and the petitioner may be directed to be. The article examines the legal basis and interpretation of section 482 of the code of criminal procedure, which recognises the inherent powers of high courts to quash firs. It argues that the phrase or otherwise. Draft Application Under Section 482 Crpc.
From www.studypool.com
SOLUTION Important sections of crpc Studypool Draft Application Under Section 482 Crpc Learn how to quash firs under section 482 of crpc, a legal procedure to seek relief from false charges, especially in section 498a cases. Section 482 of the criminal procedure code (crpc) is a provision that vests inherent powers in the high court to make orders necessary to prevent abuse of process and to secure the ends of justice. It. Draft Application Under Section 482 Crpc.
From www.youtube.com
Drafting Pleading and Conveyancing Application under section 482 of Draft Application Under Section 482 Crpc Section 482 of the criminal procedure code (crpc) is a provision that vests inherent powers in the high court to make orders necessary to prevent abuse of process and to secure the ends of justice. Learn about the inherent powers of the high court under section 482 of the code of criminal procedure, 1973, and how they are. One of. Draft Application Under Section 482 Crpc.
From www.scribd.com
Petiti0n Filed Under Section 482 of the Criminal Procedure Code Draft Application Under Section 482 Crpc One of the common applications of this section is to quash criminal proceedings. It provides details of the petitioners and respondents. The article examines the legal basis and interpretation of section 482 of the code of criminal procedure, which recognises the inherent powers of high courts to quash firs. It is, therefore, most respectfully prayed that this application may be. Draft Application Under Section 482 Crpc.
From www.studocu.com
Bail application format under Section 437 CRPC download How to Draft Application Under Section 482 Crpc Learn about the inherent powers of the high court under section 482 of the code of criminal procedure, 1973, and how they are. One of the common applications of this section is to quash criminal proceedings. Section 482 of the criminal procedure code (crpc) is a provision that vests inherent powers in the high court to make orders necessary to. Draft Application Under Section 482 Crpc.
From www.scribd.com
Section 482 of CRPC Appeal Supreme Courts Draft Application Under Section 482 Crpc It provides details of the petitioners and respondents. The article examines the legal basis and interpretation of section 482 of the code of criminal procedure, which recognises the inherent powers of high courts to quash firs. Learn about the inherent powers of the high court under section 482 of the code of criminal procedure, 1973, and how they are. One. Draft Application Under Section 482 Crpc.
From www.phenixbaylegal.com
Format for Maintainance Petition under section 125 crpc Phenix Bay Legal Draft Application Under Section 482 Crpc It is, therefore, most respectfully prayed that this application may be allowed in the interest of justice and the petitioner may be directed to be. It provides details of the petitioners and respondents. It summarizes the key dates and. One of the common applications of this section is to quash criminal proceedings. The article examines the legal basis and interpretation. Draft Application Under Section 482 Crpc.
From www.scribd.com
482 crpc part 1 PDF Draft Application Under Section 482 Crpc Learn how to quash firs under section 482 of crpc, a legal procedure to seek relief from false charges, especially in section 498a cases. Section 482 of the criminal procedure code (crpc) is a provision that vests inherent powers in the high court to make orders necessary to prevent abuse of process and to secure the ends of justice. It. Draft Application Under Section 482 Crpc.
From www.drishtijudiciary.com
Application of Section 482 of CrPC on Cheque Dishonor Case Draft Application Under Section 482 Crpc One of the common applications of this section is to quash criminal proceedings. This document is a draft petition seeking to quash criminal proceedings under section 482 of the crpc. It is, therefore, most respectfully prayed that this application may be allowed in the interest of justice and the petitioner may be directed to be. Learn about the inherent powers. Draft Application Under Section 482 Crpc.
From www.scribd.com
Sample Draft S.340 CRPC Application For Perjury Bharat Chugh PDF Draft Application Under Section 482 Crpc It summarizes the key dates and. It is, therefore, most respectfully prayed that this application may be allowed in the interest of justice and the petitioner may be directed to be. One of the common applications of this section is to quash criminal proceedings. It provides details of the petitioners and respondents. This document is a draft petition seeking to. Draft Application Under Section 482 Crpc.
From phdessay.com
Section 482 of Crpc and Powers of Quashing of Fir Draft Application Under Section 482 Crpc It is, therefore, most respectfully prayed that this application may be allowed in the interest of justice and the petitioner may be directed to be. This document is a draft petition seeking to quash criminal proceedings under section 482 of the crpc. Section 482 of the criminal procedure code (crpc) is a provision that vests inherent powers in the high. Draft Application Under Section 482 Crpc.
From www.scribd.com
Application seeking quashing of charge sheet under Section 482 of CrPC Draft Application Under Section 482 Crpc Learn about the inherent powers of the high court under section 482 of the code of criminal procedure, 1973, and how they are. Learn how to quash firs under section 482 of crpc, a legal procedure to seek relief from false charges, especially in section 498a cases. It summarizes the key dates and. It provides details of the petitioners and. Draft Application Under Section 482 Crpc.
From www.scribd.com
SECTION 482 CrPCPROJECT Download Free PDF High Court Of Australia Draft Application Under Section 482 Crpc It provides details of the petitioners and respondents. This document is a draft petition seeking to quash criminal proceedings under section 482 of the crpc. One of the common applications of this section is to quash criminal proceedings. It summarizes the key dates and. It is, therefore, most respectfully prayed that this application may be allowed in the interest of. Draft Application Under Section 482 Crpc.
From www.studocu.com
Drafting APPLICATION UNDER SECTION 482 CR.P. ON BEHALF OF RESPONDENT Draft Application Under Section 482 Crpc It summarizes the key dates and. One of the common applications of this section is to quash criminal proceedings. It argues that the phrase or otherwise to secure the ends of justice should be read as a single unit and not as a disjunctive one, based on the punctuation and grammar of the provision. This document is a draft petition. Draft Application Under Section 482 Crpc.
From kanoonirai.com
Section 482 crpc Inherent powers of the High Court Draft Application Under Section 482 Crpc One of the common applications of this section is to quash criminal proceedings. It provides details of the petitioners and respondents. Learn how to quash firs under section 482 of crpc, a legal procedure to seek relief from false charges, especially in section 498a cases. It is, therefore, most respectfully prayed that this application may be allowed in the interest. Draft Application Under Section 482 Crpc.
From www.scribd.com
SCQuashing FIR Under S. 482 CrPC10.02.2020 PDF Draft Application Under Section 482 Crpc The article examines the legal basis and interpretation of section 482 of the code of criminal procedure, which recognises the inherent powers of high courts to quash firs. It is, therefore, most respectfully prayed that this application may be allowed in the interest of justice and the petitioner may be directed to be. One of the common applications of this. Draft Application Under Section 482 Crpc.
From www.scribd.com
Section 482 Crpc PDF Draft Application Under Section 482 Crpc One of the common applications of this section is to quash criminal proceedings. It argues that the phrase or otherwise to secure the ends of justice should be read as a single unit and not as a disjunctive one, based on the punctuation and grammar of the provision. It provides details of the petitioners and respondents. Learn about the inherent. Draft Application Under Section 482 Crpc.
From www.scribd.com
Application For Converting Petition Under Section 482 Cr.P.C. Into A Draft Application Under Section 482 Crpc Section 482 of the criminal procedure code (crpc) is a provision that vests inherent powers in the high court to make orders necessary to prevent abuse of process and to secure the ends of justice. This document is a draft petition seeking to quash criminal proceedings under section 482 of the crpc. It is, therefore, most respectfully prayed that this. Draft Application Under Section 482 Crpc.
From www.scribd.com
Application For Converting Petition Under Section 482 Cr.P.C. Into A Draft Application Under Section 482 Crpc It argues that the phrase or otherwise to secure the ends of justice should be read as a single unit and not as a disjunctive one, based on the punctuation and grammar of the provision. It provides details of the petitioners and respondents. It summarizes the key dates and. One of the common applications of this section is to quash. Draft Application Under Section 482 Crpc.
From mukeshsuman.com
QUASHING PETITION UNDER SECTION 482 CRPC FORMAT Mukesh Suman Draft Application Under Section 482 Crpc Section 482 of the criminal procedure code (crpc) is a provision that vests inherent powers in the high court to make orders necessary to prevent abuse of process and to secure the ends of justice. This document is a draft petition seeking to quash criminal proceedings under section 482 of the crpc. It is, therefore, most respectfully prayed that this. Draft Application Under Section 482 Crpc.